Luminescent Properties of Composite Materials Based on Porous Glasses Activated by Silver and Lanthanum
- Autores: Girsova M.A.1, Kurilenko L.N.1, Anfimova I.N.1, Antropova T.V.1
-
Afiliações:
- Grebenshchikov Institute of Silicate Chemistry, Russian Academy of Sciences, 199034, St. Petersburg, Russia
- Edição: Volume 49, Nº 6 (2023)
- Páginas: 597-605
- Seção: Articles
- URL: https://journal-vniispk.ru/0132-6651/article/view/231981
- DOI: https://doi.org/10.31857/S0132665123600425
- EDN: https://elibrary.ru/ERCREP
- ID: 231981
Citar
Texto integral
Resumo
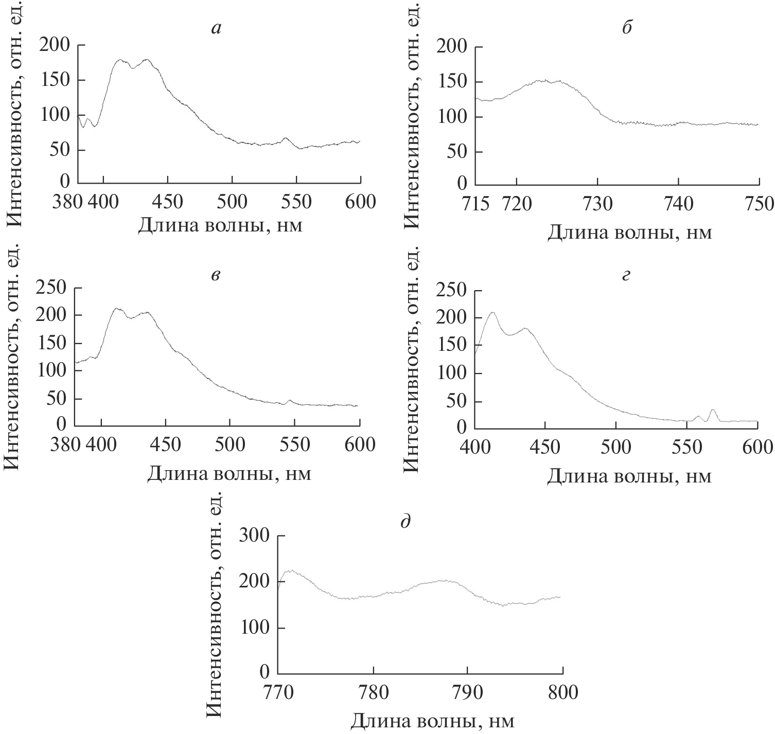
Composite materials (CMs) based on matrices of high-silica nanoporous glasses activated by silver and lanthanum are synthesized. It is established that, depending on the composition, the CM samples exhibit luminescence in the UV, violet-blue, green, red, and infrared spectral ranges due to the presence of isolated Ag+-ions, Ag+–Ag+ paired centers, molecular clusters (MCs) and nanoparticles (NPs) of silver, and oxygen vacancies in La2O3, together with various silicon defect centers.
Palavras-chave
Sobre autores
M. Girsova
Grebenshchikov Institute of Silicate Chemistry, Russian Academy of Sciences, 199034, St. Petersburg, Russia
Email: girsovama@yandex.ru
Россия, 199034, Санкт-Петербург, наб. Макарова, 2,
L. Kurilenko
Grebenshchikov Institute of Silicate Chemistry, Russian Academy of Sciences, 199034, St. Petersburg, Russia
Email: girsovama@yandex.ru
Россия, 199034, Санкт-Петербург, наб. Макарова, 2,
I. Anfimova
Grebenshchikov Institute of Silicate Chemistry, Russian Academy of Sciences, 199034, St. Petersburg, Russia
Email: girsovama@yandex.ru
Россия, 199034, Санкт-Петербург, наб. Макарова, 2,
T. Antropova
Grebenshchikov Institute of Silicate Chemistry, Russian Academy of Sciences, 199034, St. Petersburg, Russia
Autor responsável pela correspondência
Email: girsovama@yandex.ru
Россия, 199034, Санкт-Петербург, наб. Макарова, 2,
Bibliografia
- Jbeli R., Boukhachem A., Jemaa I.B., Mahdhi N., Saadallah F., Elhouichet H., Alleg S., Amlouk M., Ezzaouïa H. An enhancement of photoluminescence property of Ag doped La2O3 thin films at room temperature // Spectrochimica Acta Part A: Molecular and Biomolecular Spectroscopy. 2017. V. 184. № 5. P. 71–81. https://doi.org/10.1016/j.saa.2017.04.072
- Venkataswamy P., Sudheera M., Vaishnavi K., Ramaswamy K., Ravi G., Vithal M. A New Ag/AgBr/LaAlO3 Plasmonic Composite: Synthesis, Characterization, and Visible-Light Driven Photocatalytic Activity // Journal of Electronic Materials. 2020. V. 49. № 4. P. 2358–2370. https://doi.org/10.1007/s11664-019-07938-5
- Kumar P., Mathpal M.C., Tripathi A.K., Prakash J., Agarwal A., Ahmad M.M., Swart H.C. Plasmonic resonance of Ag nanoclusters diffused in soda-lime glasses // Physical Chemistry Chemical Physics. 2015. V. 17. № 14. P. 8596–8603. https://doi.org/10.1039/c4cp05679e
- Lin H., Imakita K., Gui S.C.R., Fujii M. Near infrared emission from molecule-like silver clusters confined in zeolite A assisted by thermal activation // Journal of Applied Physics. 2014. V. 116. P. 013509/1–013509/5. https://doi.org/10.1063/1.4886697
- Véron O., Blondeau J.P., Abdelkrim N., Ntsoenzok E. Luminescence Study of Silver Nanoparticles Obtained by Annealed Ionic Exchange Silicate Glasses // Plasmonics. 2010. V. 5. P. 213–219. https://doi.org/10.1007/s11468-010-9136-9
- Sgibnev Y.M., Nikonorov N.V., Ignatiev A.I. High efficient luminescence of silver clusters in ion-exchanged antimony-doped photo-thermo-refractive glasses: Influence of antimony content and heat treatment parameters // Journal of Luminescence. 2017. V. 188. P. 172–179. https://doi.org/10.1016/j.jlumin.2017.04.028
- Dubrovin V.D., Ignatiev A.I., Nikonorov N.V., Sidorov A.I., Shakhverdov T.A., Agafonova D.S. Luminescence of silver molecular clusters in photo-thermo-refractive glasses // Optical Materials. 2014. V. 36. № 4. P. 753–759. https://doi.org/10.1016/j.optmat.2013.11.018
- Hu C., Liu H., Dong W., Zhang Y., Bao G., Lao C., Wang Z.L. La(OH)3 and La2O3 Nanobelts-Synthesis and Physical Properties // Advanced Materials. 2007. V. 19. P. 470–474. https://doi.org/10.1002/adma.200601300
- Mu Q., Wang Y. Synthesis, characterization, shape-preserved transformation, and optical properties of La(OH)3, La2O2CO3, and La2O3 nanorods // Journal of Alloys and Compounds. 2011. V. 509. № 2. P. 396–401. https://doi.org/10.1016/j.jallcom.2010.09.041
- Anastasiadou T., Loukatzikou L.A., Costa C.N., Efstathiou A.M. Understanding the Synergistic Catalytic Effect between La2O3 and CaO for the CH4 Lean De-NOx Reaction: Kinetic and Mechanistic Studies // The Journal of Physical Chemistry B. 2005. V. 109. P. 13693–13703. https://doi.org/10.1021/jp0515582
- Bilel C., Jbeli R., Jemaa I.B., Dabaki Y., Alzaid M., Saadallah F., Bouaicha M., Amlouk M. Synthesis and physical characterization of Ni-doped La2O3 for photocatytic application under sunlight // Journal of Materials Science: Materials in Electronics. 2021. V. 32. P. 5415–5426. https://doi.org/10.1007/s10854-021-05264-3
- Kabir H., Nandyala S.H., Rahman M.M., Kabir M.A., Pikramenou Z., Laver M., Stamboulis A. Polyethylene glycol assisted facile sol-gel synthesis of lanthanum oxide nanoparticles: Structural characterizations and photoluminescence studies // Ceramics International. 2019. V. 45. № 1. P. 424–431. https://doi.org/10.1016/j.ceramint.2018.09.18
- Dal’Toé A.T.O., Colpani G.L., Padoin N., Fiori M.A., Soares C. Lanthanum doped titania decorated with silver plasmonic nanoparticles with enhanced photocatalytic activity under UV-visible light // Applied Surface Science. 2018. V. 441. P. 1057–1071. https://doi.org/10.1016/j.apsusc.2018.01.291
- Kuzman S., Periša J., Đorđević V., Zeković I., Vukoje I., Antić Ž., Dramićanin M.D. Surface Plasmon Enhancement of Eu3+ Emission Intensity in LaPO4/Ag Nanoparticles // Materials. 2020. V. 13. P. 3071/1–3071/10. https://doi.org/10.3390/ma13143071
- Antropova T., Girsova M., Anfimova I., Drozdova I., Polyakova I., Vedishcheva N. Structure and spectral properties of the photochromic quartz-like glasses activated by silver halides // J. Non-Cryst. Solids. 2014. V. 401. P. 139–141.
- Girsova M.A., Golovina G.F., Kurilenko L.N., Anfimova I.N. Infrared Spectroscopy Study of Composite Materials Based on Nanoporous High-Silica Glasses Activated with Silver and Lanthanum Ions // Glass Physics and Chemistry. 2021. V. 47. Suppl. 1. P. S36–S40. https://doi.org/10.1134/S1087659621070051
- Гирсова М.А., Фирстов С.В., Анфимова И.Н., Головина Г.Ф., Куриленко Л.Н., Костырева Т.Г., Полякова И.Г., Антропова Т.В. Высококремнеземные стекла, легированные висмутом // Физика и химия стекла. Письма в журнал. 2012. Т. 38. № 6. С. 861–863.
- Sokolov V.O., Sulimov V.B. Theory of Twofold Coordinated Silicon and Germanium Atoms in Solid Silicon Dioxide // Phys. Stat. Sol. B. 1994. V. 186. № 3. P. 185–198.
- Antropova T.V., Girsova M.A., Anfimova I.N., Drozdova I.A. Spectral properties of the high-silica porous glasses doped by silver halides // Journal of Luminescence. 2018. V. 193. P. 29–33. https://doi.org/10.1016/j.jlumin.2017.09.005
- Gong-Ru L., Chung-Jung L., Chi-Kuan L., Li-Jen C., Yu-Lun C. Oxygen defect and Si nanocrystal dependent white-light and near-infrared electroluminescence of Si-implanted and plasma-enhanced chemical-vapor deposition-grown Si-rich SiO2 // Journal of Applied Physics. 2005. V. 97. P. 094306/1-094306/8. https://doi.org/10.1063/1.1886274
- López J.A., López J.C., Valerdi D.E.V., Salgado G.G., Díaz-Becerril T., Pedraza A.P., Gracia F.J.F. Morphological, compositional, structural, and optical properties of Si-nc embedded in SiOx films // Nanoscale Research Letters. 2012. V. 7. N 1. P. 604/1–604/10. https://doi.org/10.1186/1556-276x-7-604
- Andolina C.M., Crawford S.E., Smith A.M., Johnston K.A., Straney P.J., Marbella L.E., Tolman N.L., Hochuli T.J., Millstone J.E. Near-Infrared Photoluminescence from Small Copper, Silver, and Gold Nanoparticles // ChemNanoMat. 2018. V. 4. № 3. P. 265–268. https://doi.org/10.1002/cnma.201700382
- Zyubin A.S., Glinka Y.D., Mebel A.M., Lin S.H., Hwang L.P., Chen Y.T. Red and near-infrared photoluminescence from silica-based nanoscale materials: Experimental investigation and quantum-chemical modeling // The Journal of Chemical Physics. 2002. V. 116. № 1. P. 281–294. https://doi.org/10.1063/1.1425382
- Gaft M., Reisfeld R., Panczer G., Boulon G., Saraidarov T., Erlish S. The luminescence of Bi, Ag and Cu in natural and synthetic barite BaSO4 // Optical Materials. 2001. V. 16. № 1–2. P. 279–290. https://doi.org/10.1016/S0925-3467(00)00088-4
- Belharouak I., Weill F., Parent C., Flem G.L., Moine B. Silver particles in glasses of the “Ag2O–ZnO–P2O5” system // Journal of Non-Crystalline Solids. 2001. V. 293–295. P. 649–656. https://doi.org/10.1016/S0022-3093(01)00843-2
- González B.S., Blanco M.C., López-Quintela M.A. Single step electrochemical synthesis of hydrophilic/hydrophobic Ag5 and Ag6 blue luminescent clusters // Nanoscale. 2012. V. 4. P. 7632–7635. https://doi.org/10.1039/c2nr31994b
- Yang J.-S., Zhang M.-M., Han Z., Li H.-Y., Li L.-K., Dong X.-Y., Zang S.-Q., Mak T.C.W. A new silver cluster emitting brightly blue phosphorescence // Chemical Communications. 2020. V. 56. P. 2451–2454. https://doi.org/10.1039/c9cc09439c
- Fares H., Castro T., Orives J.R., Franco D.F., Nalin M. White light and multicolor emission tuning in Ag nanocluster doped fluorophosphate glasses // RSC Advances. 2017. V. 7. P. 44356–44365. https://doi.org/10.1039/c7ra08778k
- Rao T.U.B., Pradeep T. Luminescent Ag7 and Ag8 Clusters by Interfacial Synthesis // Angewandte Chemie International Edition. 2010. V. 49. № 23. P. 3925–3929. https://doi.org/10.1002/anie.200907120
- Cai Z.-F., Deng C.-H., Wang J., Zuo Y., Wu J.-I., Wang X.-P., Lv T.-Z., Wang Y.-Y., Feng D.-Y., Zhao J., Zhang C.-F., Zhang J.-M. Sensitive and selective determination of aloin with highly stable histidine-capped silver nanoclusters based on the inner filter effect // Colloids and Surfaces A: Physicochemical and Engineering Aspects. 2021. V. 627. P. 127224. https://doi.org/10.1016/j.colsurfa.2021.127224
- Klyukin D.A., Dubrovin V.D., Pshenova A.S., Putilin S.E., Shakhverdov T.A., Tsypkin A.N., Nikonorov N.V., Sidorov A.I. Formation of luminescent and nonluminescent silver nanoparticles in silicate glasses by near-infrared femtosecond laser pulses and subsequent thermal treatment: the role of halogenides // Optical Engineering. 2016. V. 55. № 6. P. 067101/1–067101/7. https://doi.org/10.1117/1.OE.55.6.067101
- Trukhin A.N., Smits K., Jansons J., Berzins D., Chikvaidze G., Griscom D.L. UV and yellow luminescence in phosphorus doped crystalline and glassy silicon dioxide // Journal of Luminescence. 2015. V. 166. P. 346–355. https://doi.org/10.1016/j.jlumin.2015.05.045
- Trukhin A.N., Fitting H.-J. Investigation of optical and radiation properties of oxygen deficient silica glasses // Journal of Non-Crystalline Solids. 1999. V. 248. № 1. P. 49–64. https://doi.org/10.1016/s0022-3093(99)00089-7
- Trukhin A., Liblik P., Lushchik C., Jansons J. UV cathodoluminescence of crystalline α-quartz at low temperatures // Journal of Luminescence. 2004. V. 109. № 2. P. 103–109. https://doi.org/10.1016/j.jlumin.2004.01.087
- Зацепин А.Ф. Статика и динамика возбужденных состояний кислородно-дефицитных центров в SiO2 // Физика твердого тела. 2010. Т. 52. Вып. 6. С. 1104–1114. [Zatsepin A.F. Statics and dynamics of excited states of oxygen-deficient centers in SiO2 // Physics of the Solid State. 2010. V. 52. № 6. P. 1176–1187. doi: 10.1134/s1063783410060107.]
- Skuja L. Optically active oxygen-deficiency-related centers in amorphous silicon dioxide // Journal of Non-Crystalline Solids. 1998. V. 239. № 1–3. P. 16–48. https://doi.org/10.1016/s0022-3093(98)00720-0
Arquivos suplementares







