Влияние соотношения Bi/Y на люминесцентные свойства висмутсодержащих композиционных материалов на основе силикатных пористых стекол
- Авторы: Гирсова М.А.1, Анфимова И.Н.1, Куриленко Л.Н.1, Антропова Т.В.1
-
Учреждения:
- Институт химии силикатов имени И. В. Гребенщикова РАН
- Выпуск: Том 50, № 3 (2024)
- Страницы: 70-87
- Раздел: Статьи
- URL: https://journal-vniispk.ru/0132-6651/article/view/272125
- DOI: https://doi.org/10.31857/S0132665124030075
- EDN: https://elibrary.ru/PMVUDI
- ID: 272125
Цитировать
Полный текст
Аннотация
Синтезированы висмутсодержащие композиционные материалы с переменным содержанием оксида иттрия путем пропитки матриц из силикатных пористых стекол в подкисленных водно-солевых растворах Bi(NO3)3∙5H2O в присутствии Y(NO3)3·6H2O с их последующей тепловой обработкой при 650°C или 870°C и исследованы их люминесцентные свойства. Установлено, что синтезированные материалы обладают фотолюминесценцией в широком спектральном диапазоне (230–900 нм) благодаря присутствию различных активных центров (=Si0, Y3+–O32–, Si-ВАЦ (висмутовые активные центры, ассоциированные с кремнием), радикалы
, Bi3+, Bi2+ ионы, Bi3+ пары, кремнекислородные дефекты), а также благодаря переходу Bi3+ → Y3+ MMCT (metal-to-metal charge transfer), вследствие чего могут рассматриваться в качестве новых перспективных неорганических люминофоров.
Ключевые слова
Полный текст
ВВЕДЕНИЕ
Висмутсодержащие стекла и композиционные стекломатериалы обладают люминесценцией в широком спектральном диапазоне от ближней УФ до ближней ИК области благодаря разным состояниям висмута: ионы, димеры, кластеры и наночастицы висмута [1–6]. Люминесценция ионов Bi3+ связана с электронным переходом 3P1 →1S0 [7], который обусловлен спин-орбитальным взаимодействием, приводящим к смешению уровней синглетного и триплетного состояний (см. обзор в [8]).
Известно, что повышению интенсивности люминесценции способствует солегирование материалов Y2O3 и Bi3+ [9, 10], где оксид иттрия выступает в роли основного оксида, а ионы висмута – в роли солегирующего агента, например, при соотношении Bi/Y0.002-0.02 [10]. Иттрий относится к d-элементам, но в общем случае не рассматривается в качестве светоизлучающего [11]. Исключение составляет собственная эмиссия Y2O3, связанная с триплет-синглетной излучательной релаксацией автолокализованных и свободных экситонов [12]. Однако, оксид иттрия может выступать как основной материал (host material [10]) для редкоземельных либо переходных элементов и полученные таким образом фотолюминофоры интересны для решения практических задач наномедицины (тераностика, биосенсорика), оптики, опто- и микроэлектроники и др. [11, 13–15]. Материалы, активированные ионами висмута и иттрия [1, 2, 3, 4, 15, 16–18], могут быть применены для создания широкополосных волоконных усилителей, для светодиодов (light-emitting diodes, LEDs), для дисплейных приложений (плоскопанельные дисплеи (FPD), светоизлучающие (LED) и полевые эмиссионные дисплеи (FED)), для технологий мультиплексирования с разделением каналов (frequency division multiplexing (FDM), time division multiplexing (TDM), wavelength division multiplexing (WDM)), в элементах солнечных батарей и др. [1, 10, 16, 17, 19, 20].
Люминесцентные свойства такого рода материалов зависят от введенной концентрации висмута и иттрия, от их соотношения в материале (Y2O3: Bi3+ и Bi2O3: Y3+) [2, 3, 7, 10, 20–24], а также от режима тепловой обработки [1, 18, 24].
В последнее время появилось много работ, посвященных исследованию процессов переноса заряда «металл – металл» (MMCT (metal-to-metal charge transfer) transitions) в различных неорганических носителях [25, 26], в том числе, активированных ионами Bi3+ и Y3+, например, в таких соединениях, как Y2O3: Bi, YPO4: Bi, YVO4: Bi, YOF: Bi, Y2SiO5: Bi и др. [1, 7, 14, 19, 21, 22, 27, 28]. При одновременном введении в материалы ионов иттрия и висмута, ионы Bi3+ могут замещать Y3+ в кристаллической решетке Y2O3 благодаря близким ионным радиусам (Bi3+ = 1,170 Å, Y3+ = 1,019 Å [21]. Солегирование висмутом иттрий-содержащих материалов, обладающих менее выраженными люминесцентными свойствами, приводит к усилению этих свойств благодаря появлению висмутовых активных центров.
Известно, что ионы Bi3+ в кубической структуре оксида иттрия могут занимать разные структурные позиции и имеют разную пространственную симметрию: C2 и S6 (далее эти центры будут обозначены как Bi(C2) и Bi(S6) центры) [1, 7, 10, 15, 19].
Для Bi(C2) центров уровень 3P1 расщепляется на три подуровня (3A,3B и 3B), а для Bi(S6) центров – на два подуровня (3Au и 3Eu) [1, 7, 15]. Такое расщепление обусловлено воздействием электростатического кристаллического поля, которое образуется зарядовым распределением вблизи иона, зависящим от зарядового состояния лиганда и кристаллической симметрии [29], например, иона Bi3+ в окружении ионов кислорода [1].
Для Bi(S6) характерна люминесценция при 370 нм (3Au →1Ag) и 409–410 нм (3Eu→1Ag), а для Bi(C2) центров – при 486–500 нм (3B→1A) [1, 7, 15, 19].
Следует отметить, что влияние кристаллического поля на физико-химические свойства материалов характерно и для соединений, содержащих редкоземельные элементы [29, 30].
В развитие проведенного нами ранее исследования спектрально-оптических свойств композиционных стекломатериалов на основе пористых стекол, соактивированных висмутом и иттрием [31–33] в настоящей работе проведены исследования таких материалов методом люминесцентной спектроскопии в зависимости от их состава (концентрация Bi(NO3)3 и Y(NO3)3 в пропитывающем растворе, соотношение Bi/Y в материале) и режима тепловой обработки. Следует отметить, что, в отличие от упомянутых литературных данных, в нашем случае основным допантом пористой силикатной матрицы является висмут (в форме оксидов, что было подтверждено ранее в наших работах [31–33]), а оксид иттрия – солегирующим компонентом. При этом формирование композитной солегированной фазы происходит в условиях ограниченной геометрии (в наноразмерных порах матрицы).
ОБЪЕКТЫ И МЕТОДЫ ИССЛЕДОВАНИЯ
Объектами исследования являются композиционные материалы (КМ) на основе высококремнеземных пористых стекол (ПС-8В-НТ), активированных ионами висмута и иттрия. Использованы образцы ПС-8В-НТ в форме прямоугольных плоскопараллельных пластин (средний диаметр пор в диапазоне 3–5 нм, пористость ~ 30%) состава по анализу, мас. %: 0.30 Na2O, 3.14 B2O3, 0.11 Al2O3, 96.45 SiO2 [32].
Для получения КМ ПС-матрицы были пропитаны в водно-солевых растворах пентагидрата нитрата висмута в присутствии гексагидрата нитрата иттрия с последующей сушкой при 50°C. Массовое соотношение нитратов Bi/Y в пропитывающем растворе составляло 1:1 либо 10:1, в соответствии, с чем принято обозначение синтезированных образцов Bi/Y, либо 10Bi//Y. При приготовлении пропитывающих растворов использовали реактивы: 6-водный нитрат иттрия Y(NO3)3·6H2O («хч», 99.3%), 5-водный нитрат висмута Bi(NO3)3∙5H2O («чда», 99.5%). После сушки образцы КМ были подвергнуты тепловой обработке в воздушной атмосфере при температуре Тт.о. 650 или 870°C в соответствии с процедурой, использованной в [32]. При 870–900°C происходит схлопывание пор в использованных ПС-матрицах и в КМ на их основе в результате вязкого течения в каркасе ПС [34], благодаря чему получаются высокремнеземные (кварцоидные) стекла (КС-8В-НТ) и монолитные КМ.
Содержание висмута в образцах КМ Bi/Y и КМ 10Bi/Y по данным химического анализа составляло ~ 1.4–1.5 мас. % (в пересчете на Bi2O3). Содержание висмута в КМ было определено методом пламенной фотометрии на атомно-абсорбционном спектрометре iCE3000 (Thermo Fisher Scientific). Стандартное квадратичное отклонение составляло 0.2–0.6%.
По данным энергодисперсионной рентгеновской спектроскопии (ЭДС) содержание иттрия в образцах КМ Bi/Y составляло 0.83–2.49 мас. % (среднее значение: 1.73 ± 0.30 мас. %) [32], а содержание иттрия в образцах КМ 10Bi/Y было на уровне чувствительности прибора (<0.1–0.2 мас. %). На спектре ЭДС центральной части образцов КМ 10Bi/Y при 650°C обнаружены пики, соответствующие основным компонентам (сильные пики – Si, O), слабые и сильные пики висмута и иттрия (рис. 1).
Рис. 1. Спектр ЭДС (центральной части) образцов КМ 10Bi/Y при 650°C
Для исследования синтезированных композитов методом люминесцентной спектроскопии был использован спектрофлуориметр RF 6000, SHIMADZU Corp. (источник возбуждения – ксеноновая лампа 150 Вт) на образцах толщиной 1.50 ± 0.15 мм при комнатной температуре.
РЕЗУЛЬТАТЫ ИССЛЕДОВАНИЙ
Ранее было установлено, что у исходных матриц ПС-8В-НТ, а также у КС-8В-НТ наблюдается УФ люминесценция при 320–350 нм (λвозб = 250, 280, 300 нм) и сине-зеленая люминесценция при 400–550 нм (λвозб = 380 нм) [5, 6], (см. обзор в [35]). Наблюдаемая УФ люминесценция может быть связана с центрами (=Si0) (электронный переход), а сине-зеленая люминесценция с нейтральными вакансиями кислорода O3≡Si-Si≡O3 (the neutral oxygen vacancy, NOV) и центрами (=Si0) (электронный переход) (см. обзор в [35]).
Результаты предварительного исследования люминесцентных свойств КМ Bi/Y (Тт.о. = 650°C) [31] показали, что в зависимости от длины волны возбуждения (λвозб = 200, 280, 330 нм) КМ обладают УФ люминесценцией (λлюм = 365 нм при λвозб = 200 нм; λлюм = 321, 360 нм при λвозб = 280 нм; λлюм = 363 нм при λвозб = 330 нм), фиолетово-синей люминесценцией (λлюм = 413, 436 нм при λвозб = 330 нм; λлюм = 445 нм при λвозб = 280 нм); красной и инфракрасной люминесценцией (в области 700–780 нм с основным максимумом при λлюм = 730 нм при λвозб = 200 нм).
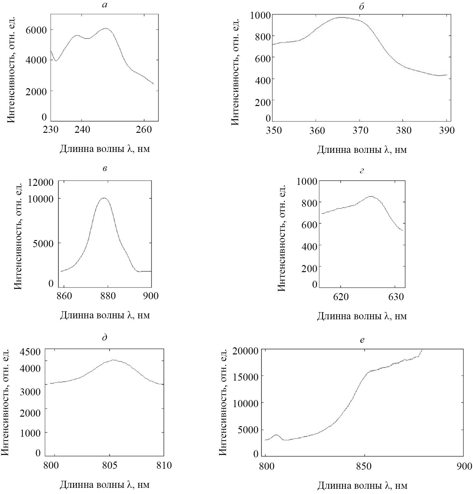
На рис. 2 представлены спектры люминесценции КМ Bi/Y (Тт.о. = 870°C) в зависимости от длины волны возбуждения (λвозб = 200, 280, 330 нм) в спектральном диапазоне 200–900 нм.
Рис. 2. Спектры люминесценции КМ Bi/Y, термобработанного при 870°C, в зависимости от длины волны возбуждения: (а, б) 200, (в) 280, (г–е) 330 нм
При λвозб = 200 нм (рис. 2 а, б) на спектре люминесценции присутствует две УФ полосы с максимумами при λлюм = 250 нм и λлюм = 365 нм, а также серия узких полос красной и инфракрасной люминесценции в области 700–780 нм с основным максимумом при λлюм = 732 нм. При λвозб = 280 нм (рис. 2 в) на спектре обнаружена только одна узкая интенсивная полоса инфракрасной люминесценции (λлюм = 778 нм). При λвозб = 330 нм (рис. 2 г–е) на спектре люминесценции обнаружена УФ люминесценция (λлюм = 378 нм), фиолетово-синяя люминесценция (λлюм = 410 нм) и инфракрасная люминесценция (λлюм = 775 нм, в области 850–900 нм).
Следует отметить, что с повышением температуры тепловой обработки у серии КМ Bi/Y происходит резкое увеличение интенсивности полос люминесценции, смещение полос люминесценции (363→378 нм; 413, 436→410 нм), а также появление дополнительных полос люминесценции при λлюм = 250, 775, 778 нм и в области 850–900 нм. Кроме того, обращаем внимание, что при λвозб = 280 нм у КМ Bi/Y (Тт.о. = 870°C) не проявляется УФ и фиолетово-синяя люминесценция по сравнению с КМ Bi/Y (Тт.о. = 650°C).
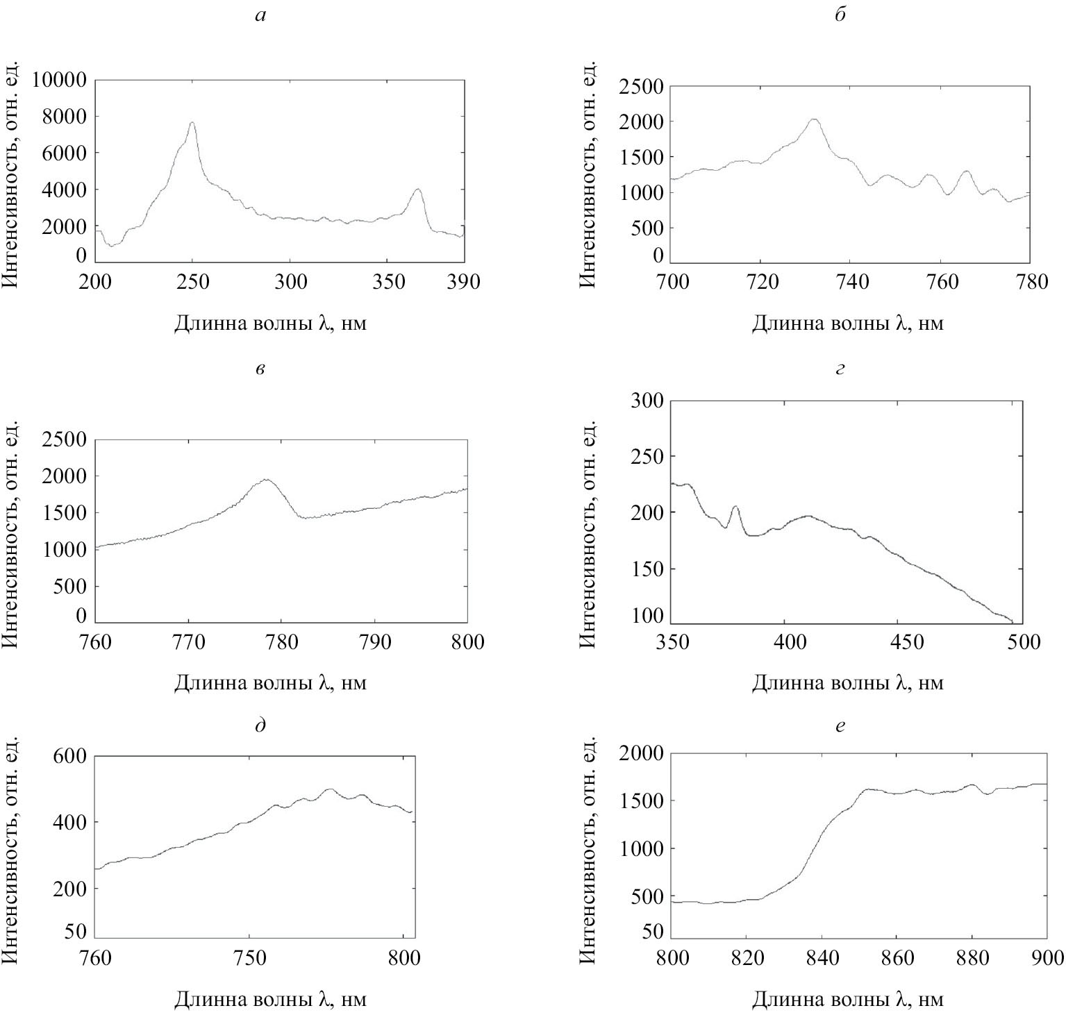
На рисунке 3 представлены спектры люминесценции КМ 10Bi/Y (Тт.о. = 650°C) в зависимости от длины волны возбуждения (λвозб = 200, 280, 330 нм). Сопоставление со спектрами люминесценции КМ Bi/Y (Тт.о. = 650°C) [31] показывает, что при уменьшении концентрации иттрия в образцах КМ (при прочих равных условиях синтеза) наблюдается следующее. При λвозб = 200 нм (рис. 3 а) на спектре люминесценции присутствует одна узкая УФ полоса с частоколом максимумов при λлюм = 363, 365, 367 нм. Интенсивность самой УФ полосы сохраняется по сравнению с КМ Bi/Y. Люминесценция в области 700–780 нм у КМ 10Bi/Y не обнаружена. При λвозб = 280 нм (рис. 3 б) на спектре люминесценции КМ 10Bi/Y видна узкая УФ полоса слабой интенсивности при λлюм = 325 нм. При УФ люминесценция при 360 нм и фиолетово-синяя люминесценция при 445 нм у КМ 10Bi/Y не проявляется по сравнению с КМ Bi/Y. При λвозб = 330 нм (рис. 3 в) на спектре люминесценции КМ 10Bi/Y обнаружена слабая полоса УФ люминесценции при λлюм = 377 нм и полосы фиолетово-синей люминесценции при λлюм = 415, 432 нм. Форма спектра люминесценции у КМ 10Bi/Y схожа с КМ Bi/Y, а полосы люминесценции имеют одинаковую интенсивность.
Рис. 3. Спектры люминесценции КМ 10Bi/Y, термобработанного при 650°C, в зависимости от длины волны возбуждения: (а) 200, (б) 280, (в) 330 нм
Рассмотрим влияние температуры тепловой обработки (650 или 870°C) серии КМ 10Bi/Y на примере длины волны возбуждения при λвозб = 330 нм. На рис. 4 представлены спектры люминесценции КМ 10Bi/Y (Тт.о. = 870°C). На рис. 4 а видна узкая полоса УФ люминесценции при λлюм = 378 нм, а также широкая полоса фиолетово-синей люминесценции при λлюм = 410 нм. Следует отметить, что при сравнении КМ 10Bi/Y при 870°C (рис. 4 а) и 650°C (рис. 3 в) происходит изменение формы спектра (пропадает полоса при λлюм = 432 нм), а интенсивность полос увеличивается ~ в 2 раза. Кроме того, для КМ 10Bi/Y (Тт.о. = 870°C) характерны полосы ИК люминесценции при λлюм = 778, 855, 870 нм (рис. 4 б, в).
Рис. 4. Спектры люминесценции (при λвозб = 330 нм) КМ 10Bi/Y, термобработанного при 870°C, в спектральных диапазонах 350–550 нм (а) и 700–900 (б, в)
Следует отметить, что при Тт.о. = 870°C форма полос ИК люминесценции для КМ Bi/Y (рис. 2 д, е) и КМ 10Bi/Y (рис. 4 б, в) была схожей, но их интенсивность была выше ~ в 1.5 раза у КМ Bi/Y.
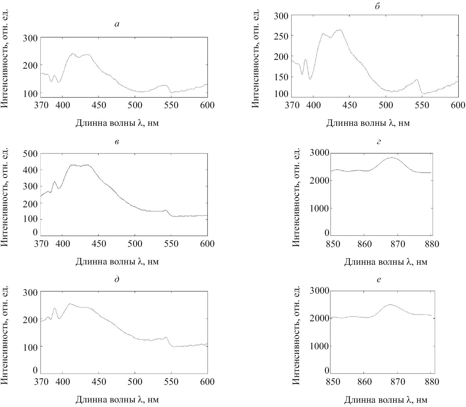
На рисунке 5 представлены спектры люминесценции КМ двух серий (10Bi/Y и Bi/Y) в зависимости от температуры тепловой обработки при λвозб = 350 нм. На рис. 5 а для КМ 10Bi/Y (Тт.о. = 650°C) обнаружены полосы фиолетово-синей люминесценции при λлюм = 390, 414, 434 нм, а также узкая полоса зеленой люминесценции λлюм = 540 нм. Аналогичные полосы фиолетово-синей и зеленой люминесценции характерны для КМ Bi/Y (Тт.о. = 650°C): λлюм = 390, 414, 438, 542 нм (рис. 5 б). Следует отметить, что форма спектров и положение полос люминесценции не меняется, а интенсивность полос люминесценции немного увеличивается с повышением концентрации иттрия в КМ.
Рис. 5. Спектры люминесценции (при λвозб = 350 нм) КМ 10Bi/Y (а, в, г) и КМ Bi/Y (б, д, е) в зависимости от режима тепловой обработки: (а, б) 650°C, (в–е) 870°C
При повышении температуры тепловой обработки КМ на спектрах люминесценции КМ 10Bi/Y (рис. 5 в, г) и КМ Bi/Y (рис. 5 д, е) происходят следующие изменения. При Тт.о. = 870°С на спектрах КМ 10Bi/Y обнаружены полосы фиолетово-синей люминесценции при λлюм = 390, 412, 434 нм, зеленой люминесценции при λлюм = 540 нм и ИК люминесценции при λлюм = 868 нм, а для КМ Bi/Y – при λлюм = 390, 410, 435, 540, 868 нм соответственно. Видно, что положение полос люминесценции сохраняется вне зависимости от концентрации иттрия в КМ. Следует отметить, что интенсивность полос УФ люминесценции повышается в ~ 1.2 раза, а интенсивность фиолетово-синей и зеленой люминесценции повышается в ~ 1.1 раза с увеличением концентрации иттрия в КМ при Тт.о. = 650°С.
Влияние режима тепловой обработки КМ проявляется в появлении дополнительной полосы ИК люминесценции при λлюм = 868 нм, а также в изменении интенсивности полос УФ, фиолетово-синей и зеленой люминесценции. Видно, что с повышением температуры тепловой обработки КМ от 650 до 870°С интенсивность УФ люминесценции увеличивается у КМ 10Bi/Y и у КМ Bi/Y, интенсивность фиолетово-синей и зеленой люминесценции при этом увеличивается только у КМ 10Bi/Y, а у КМ Bi/Y – не претерпевает практически никаких изменений.
Следует отметить, что с повышением концентрации иттрия в КМ при Тт.о. = 870°С наблюдается снижение интенсивности УФ, фиолетово-синей, зеленой и БИК люминесценции в ~ 1.3, ~ 1.6–1.7, ~ 1.1 и ~ 1.1 раза соответственно.
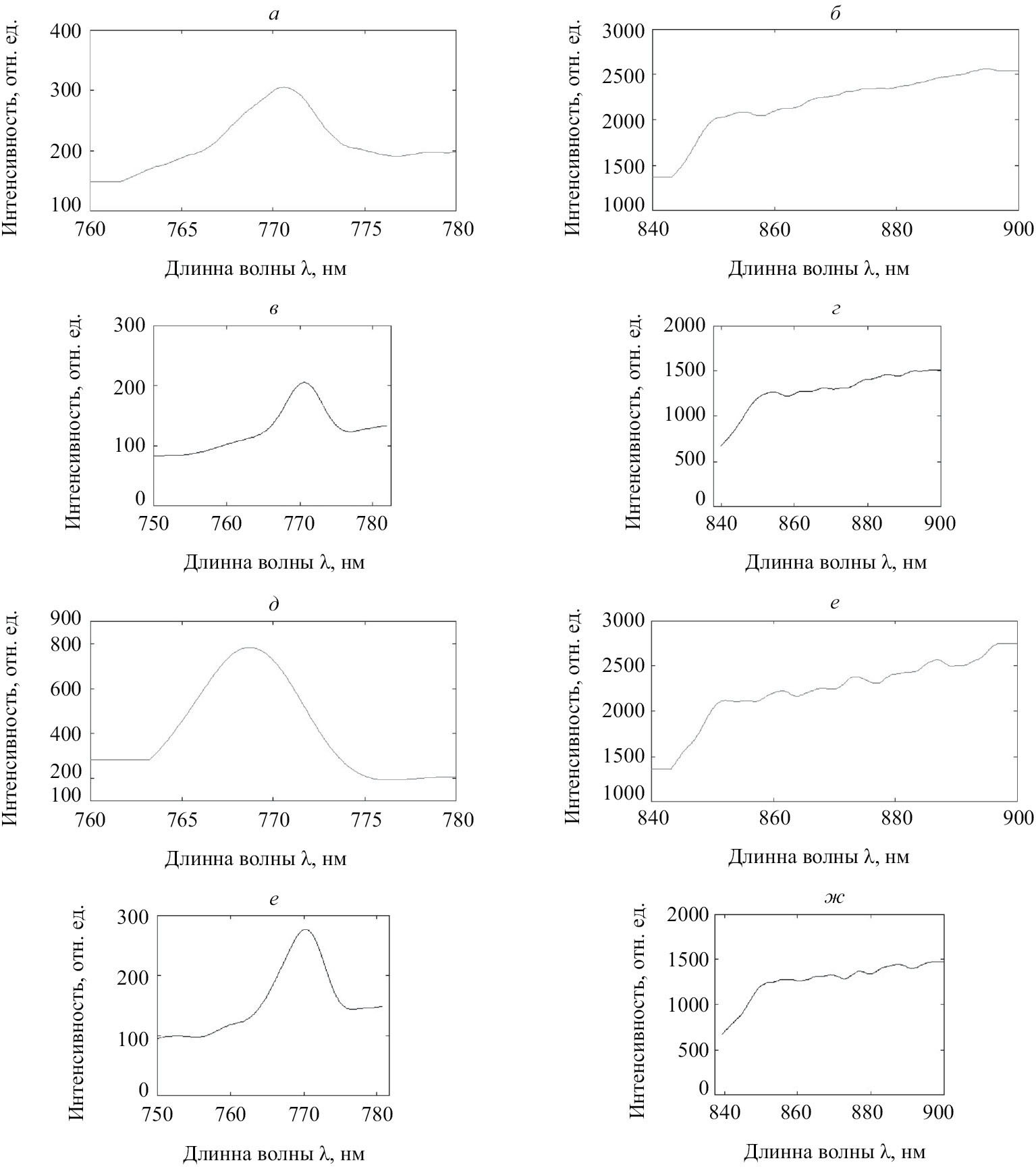
На рисунке 6 представлены спектры люминесценции КМ двух серий (10Bi/Y и Bi/Y) в зависимости от температуры тепловой обработки (650, 870°C) при λвозб = 514 нм. Для КМ 10Bi/Y (650°C) характерны полосы ИК люминесценции при λлюм = 771 нм и в области 850–900 нм, а для КМ Bi/Y (650°C) – при λлюм = 768 нм и широкая полоса в области 850–900 нм. С повышением температуры тепловой обработки КМ положение полос ИК люминесценции не изменяется. Для КМ 10Bi/Y (870°C) видны полосы при λлюм = 770 нм и широкая полоса в области 850–900 нм, а для КМ Bi/Y (870°C) – при λлюм = 770 нм и широкая полоса в области 850–900 нм. Следует отметить, что меняется интенсивность полос люминесценции в зависимости от состава КМ и режима тепловой обработки. С повышением температуры тепловой обработки КМ происходит снижение интенсивности полос люминесценции. Следует отметить, что интенсивность полосы люминесценции при ~ 770 нм снижается более существенно у КМ Bi/Y по сравнению с КМ 10Bi/Y, а в области 850–900 нм – наблюдаем одинаковое снижение (вне зависимости от состава КМ). С увеличением концентрации иттрия в образцах КМ при Тт.о. = 650°C интенсивность полосы люминесценции при ~ 770 нм увеличивается в ~2.7 раза, а при 870°C – в ~ 1.4 раза. Интенсивность широкой полосы люминесценции в области 850–900 нм с ростом концентрации иттрия в образцах КМ при Тт.о. = 650°C увеличивается незначительно в ~ 1.1 раза, а с повышением температуры – влияние концентрации иттрия не проявляется.
Рис. 6. Спектры люминесценции (при λвозб = 514 нм) КМ 10Bi/Y (а–г) и КМ Bi/Y (д–з) в зависимости от режима тепловой обработки: (а, б, д, е) 650°C, (в, г, ж, з) 870°C
Таким образом, наблюдаемое снижение или сохранение интенсивности люминесценции в образцах КМ (при Тт.о. = 870°C) с увеличением концентрации иттрия в них (рис. 5 и 6) может быть обусловлено с происходящими изменениями в структуре матрицы КМ (схлопывание пор), с влиянием кремне-кислородных дефектов в кремнеземной матрице на люминесцентные свойства (см. обзор в [35]), а также тем, что более высокая концентрация иттрия в КМ препятствует образованию ионов висмута более низкой валентности [3].
В связи с этим рассмотрим подробнее серию КМ Bi/Y. На рисунке 7 представлены спектры люминесценции КМ Bi/Y в зависимости от температуры тепловой обработки (650, 870°C) при λвозб = 370 нм. На рис. 7 а для КМ Bi/Y (650°C) обнаружены полосы фиолетово-синей люминесценции при λлюм = 414, 434 нм. С повышением температуры тепловой обработки у КМ Bi/Y при 870°C происходят существенные изменения в спектрах люминесценции (рис. 7 б–г). Обнаружены полосы фиолетово-синей люминесценции при λлюм = 405, 458 нм, а также видна узкая полоса зеленой люминесценции λлюм = 555 нм и полосы ИК люминесценции при λлюм = 770, 852 нм. Следует отметить, что с повышением температуры тепловой обработки интенсивность полос фиолетово-синей люминесценции у КМ Bi/Y существенно возрастает, а также появляются дополнительные полосы зеленой и ИК люминесценции.
Рис. 7. Спектры люминесценции (при λвозб = 370 нм) КМ Bi/Y в зависимости от режима тепловой обработки: (а) 650°C, (б–г) 870°C
На рисунке 8 представлены спектры люминесценции КМ Bi/Y (870°C) в зависимости от длины волны возбуждения (λвозб = 220, 300 нм). При λвозб = 220 нм (рис. 8 а–в) на спектре люминесценции обнаружены две узкие интенсивные полосы УФ люминесценции при λлюм = 238 нм и λлюм = 248 нм, а также УФ полосу более низкой интенсивности при λлюм = 365 нм и узкую интенсивную полосу ИК люминесценции при λлюм = 878 нм. При λвозб = 300 нм (рис. 8 г–е) на спектре люминесценции видна полоса красной люминесценции при λлюм = 625 нм, а также две интенсивные полосы ИК люминесценции при λлюм = 805 и в области 850–900 нм.
Рис. 8. Спектры люминесценции КМ Bi/Y, термобработанного при 870°C, в зависимости от длины волны возбуждения: (а–в) 220, (г–е) 300 нм
На рисунке 9 представлен в качестве типичного спектр возбуждения люминесценции КМ Bi/Y (Тт.о. = 870°C) при λлюм = 770 нм. Видны две узкие полосы при λвозб = 330 нм, λвозб = 514 нм., что подтверждается согласуется со спектрами люминесценции КМ Bi/Y (Тт.о. = 870°C) (рис. 2 д, рис. 6 ж).
Перейдем к анализу спектров люминесценции.
Рис. 9. Спектр возбуждения люминесценции КМ Bi/Y, термобработанного при 870°C, при λлюм = 770 нм
Видно, что только для КМ Bi/Y (Тт.о. = 870°C) характерна УФ люминесценция при lлюм = 250 нм (при λвозб = 200 нм) и при lлюм = 238, 248 нм (при λвозб = 220 нм), которая, возможно, связана с изолированными Bi3+ ионами (A band, электронный переход 3P0,1 →1S0) [27, 28, 36].
При λвозб = 200 нм у КМ Bi/Y (Тт.о. = 650 либо 870°C) и КМ 10Bi/Y (Тт.о. = 650°C) обнаружена УФ люминесценция с максимумами при λлюм = 363–367 нм. Помимо этого, УФ люминесценция при λлюм = 360–365 нм характерна для КМ Bi/Y (Тт.о. = 870°C) при λвозб = 220 нм и для КМ Bi/Y (Тт.о. = 650°C) при λвозб = 280 и λвозб = 330 нм. Узкие полосы УФ люминесценции при λлюм = 360–367 нм, скорее всего, могут возникать вследствие излучения дырочным центром O32–, ассоциированным с катионными вакансиями Y3+ (Y3+–O32–) в оксиде иттрия, а также Bi3+ ионами с пространственной симметрией S6 (электронный переход 3P1 →1S0) и характерны для солегированного оксида иттрия (кубическая модификация) [10, 37–39].
Дополнительные УФ полосы люминесценции с максимумами при λлюм = 321, 325 нм (при λвозб = 280 нм) у КМ Bi/Y и КМ 10Bi/Y (Тт.о. = 650°C), возможно, относятся к Bi3+ парам ([Bi3+]P pairs), к =Si0 центрам (электронный переход), к переходу Bi3+ → Y3+ MMCT, к Bi3+ ионам (A band, электронный переход 3P0,1 → 1S0) [21, 27, 31, 40]. Узкие УФ полосы люминесценции слабой интенсивности при λлюм =377–378 нм (при λвозб = 330 нм) у КМ Bi/Y (870°C) и КМ 10Bi/Y (650, 870°C), следует приписывать к Bi3+ ионам с пространственной симметрией S6 (электронный переход 3Au →1S0 (1Ag)) [7].
При λвозб = 330 нм у КМ наблюдаются полосы фиолетово-синей люминесценции с максимумами при λлюм = 410–415, 432–436 нм. При λвозб = 350 нм у КМ сохраняется положение полос люминесценции с максимумами при λлюм = 410–414, 434–438 нм, а также появляется дополнительная полоса при λлюм = 390 нм. Фиолетово-синяя люминесценция с максимумами при λлюм = 390, 410–415, 432–438 нм может быть связана с Bi3+ ионами с пространственной ромбоэдрической симметрией S6 (электронный переход 3P1 →1S0) [15, 17, 39]. Ранее было показано [31], что при λвозб = 280 нм для КМ Bi/Y (Тт.о. = 650°C) характерна широкая полоса синей люминесценции при λлюм = 445 нм из-за ионов Bi3+ (электронный переход 3P0,1→1S0) [5, 41]. Следует отметить, что для КМ 10Bi/Y (650, 870°C) и КМ Bi/Y (870°C) при λвозб = 280 нм фиолетово-синяя люминесценция не наблюдалась.
При λвозб = 370 нм у КМ Bi/Y (Тт.о. = 650 либо 870°C) обнаружены с полосы фиолетово-синей люминесценции с максимумами в диапазоне lлюм = 405, 414, 434, 458 нм. Полосы при 405, 414 нм следует связать с присутствием Bi3+ ионов с пространственной симметрией S6 (центросимметричная, ромбоэдрическая симметрия) (электронный переход 3P1 (3Eu) →1S0) [7, 17, 19], с внутренним дефектом в SiO2 (в кремнеземной матице) [42]. Полосы при 434, 458 нм могут относиться к SiODC центрам (электронный переход T1 → S0) и к дефектам O3≡Si-Si≡O3 (нейтрально заряженные кислородные вакансии, neutral charged oxygen vacancies (NOV)), а также приписываются ионам Bi3+ (электронный переход 3P0,1 →1S0) [40, 41, 43, 44].
У всех КМ видны слабые полосы зеленой люминесценции с максимумами при lлюм = 540–542 нм (при λвозб = 350 нм), а также для КМ Bi/Y (870°C) при lлюм = 555 нм (при λвозб = 370 нм), которые, возможно, связаны с кремниевыми дефектными центрами (=Si0) (электронный переход T1 → S0), с недостатком кислорода, с E’δ центрами (положительно заряженные кислородные вакансии), с ионами Bi3+ с пространственной моноклинной симметрией С2 (электронный переход 3P1 (3B) →1S0), с междоузельным кислородом в кремнеземной матрице стекла, с радикалами
в оксиде иттрия, с рекомбинационным излучением донорно-акцепторных пар Y3+–O32– [6, 17, 37, 39, 40, 43–47].
Оранжевая люминесценция при λлюм = 625 нм (при λвозб = 300 нм) у КМ Bi/Y (870°C), может быть приписана к Bi2+ ионам (электронный переход 2P3/2(1) →2P1/2), к радикалам
в оксиде иттрия, к дефектам, ассоциированным с кислородом, в оксиде иттрия, к немостиковым кислородным дырочным центрам (NBOHCs, nonbridging oxygen hole center, ≡Si–O•) [3, 41, 37, 47, 48–51].
Серия узких полос красной и ближней инфракрасной (БИК) люминесценции в области 700–780 нм с максимумом при λлюм = 730 нм (при λвозб = 200 нм) у КМ Bi/Y (Тт.о. = 650, либо 870°C), возможно, связана с Bi2+ ионами (электронный переход 2P3/2(1) →2P1/2), с радикалами
в оксиде иттрия, с излучательной рекомбинацией в донорно-акцепторных парах Y3+–O2–, c различными кремниевыми кислородно-дефицитными центрами (silicon oxygen-deficient centers) [6, 31, 37, 43, 52–55].
У всех КМ видны полосы слабой интенсивности БИК люминесценции с максимумами при λлюм = 768–771 нм (при λвозб = 514 нм). При Тт.о. = 870°C обнаружены полосы при λлюм = 770–778 нм у КМ Bi/Y (при λвозб = 280, 330, 370 нм) и у КМ 10Bi/Y при λлюм = 778 нм (при λвозб = 330 нм). Узкие полосы БИК люминесценции при λлюм = 768–778 нм, скорее всего, относятся к радикалам
в оксиде иттрия, к Bi2+ ионам [47, 56].
Широкая полоса БИК люминесценции с максимумом при λлюм = 805 нм у КМ Bi/Y (Тт.о. = 870°C) при λвозб = 300 нм, скорее всего, вызвана радикалами
в оксиде иттрия, висмутовыми активными центрами, ассоциированными с кремнием (Si-ВАЦ), с Bi2+ ионами; [47, 53, 56].
При λвозб = 514 нм у всех КМ были обнаружены широкие полосы БИК люминесценции в области λлюм = 850–900 нм. Кроме того, полосы в указанном диапазоне с максимумами при ~ 850 и ~ 870 нм выявлены у КМ Bi/Y (870°C) и КМ 10Bi/Y (870°C) при других длинах волн возбуждения (λвозб = 220, 300, 330, 350, 370 нм). Полосы БИК люминесценции в области 850–900 нм могут быть приписаны к излучательной рекомбинации электронно-дырочных пар, связанных в экситоны, которые возбуждаются на отдельных нанокристаллах кремния; к радикалам
в оксиде иттрия, к Si-ВАЦ, к ионам висмута [47, 48, 56–58].
На спектре возбуждения БИК люминесценции при λлюм = 770 нм (рисунок 9) отчетливо видны две полосы с максимумами при 330 и 514 нм, которые соответствуют электронным переходам: 2P1/2 →2P3/2(2) и 2P1/2 →2P3/2(1), характерным для Bi2+ ионов [54, 56].
Согласно [56] обнаружение полос ИК люминесценции при λлюм = 770–778 нм при других длинах волн возбуждения (при λвозб = 280 нм и λвозб = 370 нм) (рис. 2 в, рис. 7 в) также связано с Bi2+ ионами (электронные переходы (2P1/2 →2S1/2) и (2P1/2 →2P3/2(2) соответственно).
Таким образом, установлено, что у КМ Bi/Y и КМ 10Bi/Y, содержащих ~ 1.4–1.5 мас. % Bi2O3, наблюдается УФ, фиолетово-синяя, зеленая, оранжевая, красная и инфракрасная люминесценция в зависимости от их состава и режима тепловой обработки.
Показано, что с повышением концентрации иттрия в КМ при Тт.о. = 650°C было обнаружено только увеличение интенсивности люминесценции, а при Тт.о. = 870°C – интенсивность люминесценции КМ снижалась либо увеличивалась, а также не изменялась. С чем связан такой характер изменения интенсивности люминесценции КМ при Тт.о. = 870°C, когда происходят существенные изменения в структуре материала (схлопывание пор, материал становится монолитным) в данной работе не установлен, что требует дальнейшего изучения.
ЗАКЛЮЧЕНИЕ
Синтезированы образцы композиционных материалов на основе матриц из высококремнеземных пористых стекол, активированных ионами висмута и иттрия, которые были подвергнуты тепловой обработке в воздушной атмосфере при 650 или 870°C.
Результаты исследования синтезированных композиционных материалов методом люминесцентной спектроскопии показали, что для них характерна люминесценция в широком спектральном диапазоне от 230 до 900 нм, благодаря чему они являются новыми перспективными твердотельными люминофорами.
Обнаружено, что повышение температуры тепловой обработки синтезированных композитов приводит к появлению дополнительных полос УФ и ИК люминесценции, а также приводит к изменению интенсивности полос УФ, фиолетово-синей, зеленой, ИК люминесценции.
Установлено, что с увеличением концентрации иттрия в синтезированных композитах при 650°C интенсивность полос УФ, фиолетово-синей, зеленой и ИК люминесценции увеличивается (при λвозб = 280, 330, 350, 514 нм).
БЛАГОДАРНОСТЬ
Авторы признательны А. В. Антонову (Всероссийский научно-исследовательский геологический институт им. А. П. Карпинского, Санкт-Петербург) за исследования композиционных материалов методом энергодисперсионной рентгеновской спектроскопии.
ФИНАНСИРОВАНИЕ РАБОТЫ
Работа выполнена в рамках государственного задания ИХС РАН (Государственная регистрация № 1021050501068–5–1.4.3 (проект FFEM-2022-0004) и № 1023032900385-8-1.4.3 (Тематика 3: «Физико-химия и технология ликвирующих щелочноборосиликатных стекол, легированных переходными металлами, и новых полифункциональнальных пористых и нанокомпозитных стекломатериалов на их основе»)).
КОНФЛИКТ ИНТЕРЕСОВ
Авторы заявляют, что у них нет конфликта интересов.
Об авторах
М. А. Гирсова
Институт химии силикатов имени И. В. Гребенщикова РАН
Автор, ответственный за переписку.
Email: girsovama@yandex.ru
Россия, Санкт-Петербург
И. Н. Анфимова
Институт химии силикатов имени И. В. Гребенщикова РАН
Email: girsovama@yandex.ru
Россия, Санкт-Петербург
Л. Н. Куриленко
Институт химии силикатов имени И. В. Гребенщикова РАН
Email: girsovama@yandex.ru
Россия, Санкт-Петербург
Т. В. Антропова
Институт химии силикатов имени И. В. Гребенщикова РАН
Email: girsovama@yandex.ru
Россия, Санкт-Петербург
Список литературы
- Swart H. C., Kroon R. E. Ultraviolet and visible luminescence from bismuth doped materials // Optical Materials: X. 2019. V. 2, article 100025, pp. 1–22.
- Hughes M. A., Suzuki T., Ohishi Y. Spectroscopy of bismuth-doped lead–aluminum–germanate glass and yttrium–aluminum–silicate glass // Journal of Non-Crystalline Solids. 2010. V. 356. N44–49. P. 2302–2309.
- Dai N., Wang Y., Xu B., Yang L., Luan H., Li J. Effect of yttrium oxide addition on absorption and emission properties of bismuth-doped silicate glasses // Journal of Rare Earths. 2012. V. 30. N5. P. 418–421.
- Hughes M. A., McMaster R., Proctor J. E., Hewak D. W., Suzuki T., Ohishi Y. High pressure photoluminescence of bismuth-doped yttria-alumina-silica glass // High Pressure Research. 2022. V. 42. N1. P. 94–104.
- Фирстов С. В., Гирсова М. А., Дианов Е. М., Антропова Т. В. Люминесцентные свойства термоиндуцированных активных центров в кварцоидных стеклах, активированных висмутом // Физ. и хим. стекла. 2014. Т. 40. № 5. С. 689–695. [Firstov S. V., Girsova M. A., Dianov E. M., Antropova T. V. Luminescent properties of thermoinduced active centers in quarts-like glass activated by bismuth // Glass Physics and Chemistry. 2014. V. 40. N5. P. 521–525].
- Гирсова М. А., Фирстов С. В., Антропова Т. В. Влияние концентрации висмута и тепловой обработки на свойства висмут-содержащих высококремнеземных стекол. II. Люминесцентные свойства // Физика и химия стекла. 2019. Т. 45. № 2. С. 111–119.
- [Girsova M. A., Firstov S. V., Antropova T. V. The influence of the bismuth concentration and heat treatment on the properties of bismuth-containing high-silica glass: II. Luminescence properties // Glass Physics and Chemistry. 2019. V. 45. N2. P. 98–103].
- Li Q., Zhang B., Wei Z., He M., Wang H., Wei Z., Shi Z. Effect of Bi3+ ion concentration on crystal structure and luminescent properties of blue–green-emitting Y2O3: Bi3+ phosphors // Functional Materials Letters. 2020. V. 13. N7, article 2050036, pp. 1–7.
- Черненко К. А. Люминесцентные и сцинтилляционные процессы в оксидных матрицах / Дисс. канд. физ.-мат. наук. Санкт-Петербург, 2016. 150 с. С. 35–37, 97–130.
- Choi H., Cho S. H., Khan S., Lee K.-R., Kim S. Roles of an oxygen Frenkel pair in the photoluminescence of Bi3+-doped Y2O3: computational predictions and experimental verifications // J. Mater. Chem. C. 2014. V. 2. P. 6017–6024.
- Meng L., Xu W., Zhang Q. Optical and structural properties of down-conversion Bi doped Y2O3 films for potential application in solar cell // Applied Surface Science. 2017. V. 409. P. 187–193.
- Nambu K., Hayasaka H., Yamamoto T., Yoshida H. Photoluminescence properties of undoped and Si4+-doped polycrystalline Y2O3 phosphors prepared by flash-sintering // Applied Physics Express. 2019. V. 12. N7, article 075504, pp. 1–4.
- Zatsepin A., Kuznetsova Y., Zatsepin D., Wong C.-H., Law W.-C., Tang C.-Y., Gavrilov N. Exciton Luminescence and Optical Properties of Nanocrystalline Cubic Y2O3 Films Prepared by Reactive Magnetron Sputtering // Nanomaterials. 2022. V. 12, article 2726, pp. 1–14.
- Chiechio R. M., Battaglia R., Caponnetto A., Butera E., Franzò G., Reitano R., Purrello M., Ragusa M., Barbagallo D., Barbagallo C., Pietro C. D., Marchi V., Faro M. J.L., Contino A., Maccarrone G., Musumeci P. Er: Y2O3 and Nd: Y2O3 Nanoparticles: Synthesis, Pegylation, Characterization and Study of Their Luminescence Properties // Chemosensors. 2023. V. 11, article 20, pp. 1–14.
- Hyun J.-Y., Kim K.-H., Kim J.-P., Im W.-B., Linganna K., Choi J.-H. Enhancement of Luminescence Efficiency of Y2O3 Nanophosphor via Core/Shell Structure // Nanomaterials. 2021. V. 11, article 1563, pp. 1–11.
- Lee E., Terblans J. J., Swart H. C. The effect of pH on the luminescence properties of Y2O3: Bi phosphor powders synthesised using co-precipitation // Vacuum. 2018. V. 157. P. 237–242.
- Dan H. K., Le D.-N., Nguyen-Truong H.T., Tap T. D., Vinh H. X., Ty N. M., Wang R., Zhou D., Qiu J. Effects of Y3+ on the enhancement NIR emission of Bi+-Er3+ co-doped in transparent silicate glass-ceramics for Erbium-doped fiber amplifier (EDFA) // Journal of Luminescence. 2020. V. 219, article 116942.
- Scarangella A., Reitano R., Priolo F., Miritello M. Bismuth doping of silicon compatible thin films for telecommunications and visible light emitting devices // Materials Science in Semiconductor Processing. 2019. V. 92. P. 47–57.
- Yousif A., Jafer R. M., Som S., Duvenhage M. M., Coetsee E., Swart H. C. The effect of different annealing temperatures on the structure and luminescence properties of Y2O3: Bi3+ thin films fabricated by spin coating // Applied Surface Science. 2016. V. 365. P. 93–98.
- Scarangella A., Fabbri F., Reitano R., Rossi F., Priolo F., Miritello M. Visible emission from bismuth-doped yttrium oxide thin films for lighting and display applications // Scientific Reports. 2017. V. 7, article 17325, pp. 1–9.
- Kang F., Zhang Y., Peng M. Controlling the energy transfer via multi luminescent centers to achieve white light/tunable emissions in a single-phased X2-Type Y2SiO5: Eu3+, Bi3+ phosphor for ultraviolet converted LEDs // Inorganic Chemistry. 2015. V. 54. P. 1462–1473.
- Saeed N. A.M., Coetsee E., Kroon R. E., Bettinelli M., Swart H. C. Photoluminescence of Bi3+ doped in YOF phosphor as an activator // Optical Materials. 2021. V. 119, article 111291, pp. 1–11.
- Krasnikov A., Mihokova E., Nikl M., Zazubovich S., Zhydachevskyy Y. Luminescence Spectroscopy and Origin of Luminescence Centers in Bi-Doped Materials // Crystals. 2020. V. 10, article 208, pp. 1–53.
- Liu X., Deng H., Yao W., Jiang Q., Shen J. Preparation and photocatalytic activity of Y-doped Bi2O3 // Journal of Alloys and Compounds. 2015. V. 651. P. 135–142.
- Jafer R. M., Swart H. C., Yousif A., Kumar V., Coetsee E. The effect of annealing temperature on the luminescence properties of Y2O3 phosphor powders doped with a high concentration of Bi3+ // Journal of Luminescence. 2016. V. 180. P. 198–203.
- Shanmugapriya I. G., Mukherjee S., Muñoz A., Vaitheeswaran G., Natarajan S. Exploration of Metal-Metal Charge Transfer (MMCT) and its Effect in Generating New Colored Compounds in Mixed Metal Oxides // European J. of Inorganic Chemistry. 2023. V. 26. N34, article e202300468.
- Dey S., Ricciardo R. A., Cuthbert H. L., Woodward P. M. Metal-to-Metal Charge Transfer in AWO4 (A = Mg, Mn, Co, Ni, Cu, or Zn) Compounds with the Wolframite Structure // Inorg. Chem. 2014. V. 53. P. 4394–4399.
- Boutinaud P. On the luminescence of Bi3+ pairs in oxidic compounds // Journal of Luminescence. 2018. V. 197. P. 228–232.
- Srivastava A. M., Camardello S. J. Concentration dependence of the Bi3+ luminescence in LnPO4 (Ln=Y3+, Lu3+) // Optical Materials. 2015. V. 39. P. 130–133.
- Андреефф А., Каун Л. П., Фрауенхейм Т., Липпольд Б., Матц В. Изучение эффектов кристаллического поля в интерметаллических редкоземельных соединениях методом неупругого рассеяния нейтронов // Физика элементарных частиц и атомного ядра. 1981. Т. 12. Вып. 2. С. 277–323. [Andreeff A., Kaun L. P., Frauenheim T., Lippold B., Matz W. Study of effects of the crystal field in intermetallic rare-earth compounds by inelastic neutron scattering // Soviet Journal of Particles and Nuclei. 1981. V. 12. N2. P. 277–323].
- Волков Д. В., Демидов А. А., Колмакова Н. П., Такунов Л. В. Эффекты кристаллического поля в редкоземельных ферроборатах R Fe3(BO3)4, где R = Nd, Tb, Dy, Er // Физика твердого тела. 2008. Т. 50. Вып. 9. С. 1613–1616. [Volkov D. V., Demidov A. A., Kolmakova N. P., Takunov L. V. Crystal field effects in rare-earth ferroborates R Fe3(BO3)4 with R = Nd, Tb, Dy, or Er // Physics of the Solid State. 2008. V. 50. N9. P. 1677–1680].
- Гирсова М. А., Головина Г. Ф., Куриленко Л. Н., Анфимова И. Н. Спектральные свойства наноструктурированных композиционных стекломатериалов, активированных иттрием в присутствии меди либо висмута // Физика и химия стекла. 2023. Т. 49. № 6. С. 619–631. [Girsova M. A., Golovina G. F., Kurilenko L. N., Anfimova I. N. Spectral properties of nanostructured composite glass materials activated by yttrium in the presence of copper or bismuth // Glass Physics and Chemistry. 2023. V. 49. N6. P. 625–634].
- Гирсова М. А., Головина Г. Ф., Анфимова И. Н., Куриленко Л. Н., Антропова Т. В. Влияние соотношения Bi/Y на спектральные свойства висмутсодержащих композиционных материалов на основе силикатных пористых стекол // Физика и химия стекла. 2022. Т. 48. № 5. С. 555–567. [Girsova M. A., Golovina G. F., Anfimova I. N., Kurilenko L. N., Antropova T. V. Effect of the Bi/Y Ratio on the Spectral Properties of Bismuth-Containing Composite Materials Based on Silicate Porous Glasses // Glass Physics and Chemistry. 2022. V. 48. N5. P. 384–393].
- Гирсова М. А., Головина Г. Ф., Куриленко Л. Н. Инфракрасная спектроскопия композиционных материалов на основе высококремнеземных пористых стекол, активированных ионами висмута и иттрия // Физика и химия стекла. 2022. Т. 48. № 6. С. 746–752. [Girsova M. A., Golovina G. F., Kurilenko L. N. Infrared spectroscopy of composite materials based on high-silica porous glasses activated by bismuth and yttrium ions // Glass Physics and Chemistry. 2022. V. 48. N6. P. 588–593].
- Antropova T. V., Drozdova I. A. Sintering of the optical porous glasses // Optica Applicata. 2003. V. 33. N1. P. 13–22.
- Гирсова М. А., Куриленко Л. Н., Анфимова И. Н., Антропова Т. В. Люминесцентные свойства композиционных материалов на основе пористых стекол, активированных серебром и лантаном // Физика и химия стекла. 2023. Т. 49. № 6. С. 597–605. [Girsova M. A., Kurilenko L. N., Anfimova I. N., Antropova T. V. Luminescent properties of composite materials based on porous glasses activated by silver and lanthanum // Glass Physics and Chemistry. 2023. V. 49. N6. P. 557–563].
- Awater R. H.P., Niemeijer-Berghuijs LC., Dorenbos P. Luminescence and charge carrier trapping in YPO4: Bi // Optical Materials. 2017. V. 66. P. 351–355.
- Соломонов В. И., Осипов В. В., Шитов В. А., Лукьяшин К. Е., Бубнова А. С. Собственные центры люминесценции керамических иттрий-алюминиевого граната и оксида иттрия // Оптика и спектроскопия. 2020. Т. 128. Вып. 1. С. 5–9. [Solomonov V. I., Osipov V. V., Shitov V. A., Luk’yashin K.E., Bubnova A. S. Intrinsic Luminescence Centers in Yttrium–Aluminum Garnet and Yttrium Oxide Ceramics // Optics and Spectroscopy. 2020. V. 128. N1. P. 1–5.].
- Konrad A., Herr U., Tidecks R., Kummer F., Samwer K. Luminescence of bulk and nanocrystalline cubic yttria // Journal of Applied Physics. 2001. V. 90. N7. P. 3516–3523.
- Jafer R. M., Coetsee E., Yousif A., Kroon R. E., Ntwaeaborwa O. M., Swart H. C. X-ray photoelectron spectroscopy and luminescent properties of Y2O3: Bi3+ phosphor // Applied Surface Science. 2015. V. 332. P. 198–204.
- Sokolov V. O., Sulimov V. B. Theory of Twofold Coordinated Silicon and Germanium Atoms in Solid Silicon Dioxide // Phys. Stat. Sol. B. 1994. Vol. 186. N3. P. 185–198.
- Krishnan M. L., Neethish M. M., Kumar V. V. R. K. Structural and optical studies of rare earth-free bismuth silicate glasses for white light generation // Journal of Luminescence. 2018. V. 201. P. 442–450.
- Garcı́a M., Paje S., Villegas M., Llopis J. Characteristic UV luminescence from sol–gel silica coatings // Materials Letters. 2000. V. 43. P. 23–26.
- López J. A.L., López J. C., Valerdi D. E.V., Salgado G. G., Díaz-Becerril T., Pedraza A. P., Gracia F. J.F. Morphological, compositional, structural, and optical properties of Si-nc embedded in SiOx films // Nanoscale Research Letters. 2012. V. 7. N1, article 604, pp. 1–10.
- Gong-Ru L., Chung-Jung L., Chi-Kuan L., Li-Jen C., Yu-Lun C. Oxygen defect and Si nanocrystal dependent white-light and near-infrared electroluminescence of Si-implanted and plasma-enhanced chemical-vapor deposition-grown Si-rich SiO2 // Journal of Applied Physics. 2005. V. 97, article 094306, pp. 1–8.
- Singh O. S., Wangkhem R., Singh N. S. Excitation and activator concentration induced color tuning and white light generation from Bi3+ sensitized Y2O3: Eu3+: Energy transfer studies // Journal of Alloys and Compounds. 2021. V. 875. P. 160059/1–160059/12.
- Miller A. J., Leisure R. G., Mashkov V. A., Galeener F. L. Dominant role of E’ centers in x-ray-induced, visible luminescence in high-purity amorphous silicas // Physical Review B. 1996. V. 53. N14. P. R8818– R8820.
- Осипов В. В., Расулева А. В., Соломонов В. И. Люминесценция оксида иттрия // Оптика и спектроскопия. 2008. Т. 105. № 4. С. 578–584. [Osipov V. V., Rasuleva A. V., Solomonov V. I. Luminescence of Pure Yttria // Optics and Spectroscopy. 2008. V. 105. N4. P. 524–530].
- Gui S. C.R., Imakita K., Fujii M., Bai Z., Hayashi S. Near infrared photoluminescence from bismuth-doped nanoporous silica thin films // Journal of Applied Physics. 2013. V. 114. N3. P. 033524/1–033524/5.
- Kenyon A. J., Trwoga P. F., Pitt C. W. The origin of photoluminescence from thin films of silicon-rich silica // Journal of Applied Physics. 1996. V. 79. N12. P. 9291–9300.
- Skuja L. Optically active oxygen-deficiency-related centers in amorphous silicon dioxide. // Journal of Non-Crystalline Solids. 1998. Vol. 239. N1–3. P. 16–48.
- Huang H., Sun X., Wang S., Liu Y., Li X., Liu J., Lee S.-T. Strong red emission of pure Y2O3 nanoparticles from oxygen related defects // Dalton Transactions. 2011. V. 40. N43. P. 11362–11366.
- Бордун О. М. Влияние кислородных вакансий на спектры люминесценции тонких пленок Y2O3 // Журнал прикладной спектроскопии. 2002. Т. 69. № 3. С. 371–374. [Bordun O. M. Influence of oxygen vacancies on the luminescence spectra of Y2O3 thin films // Journal of Applied Spectroscopy. 2002. V. 69. N3. P. 430–433].
- Veber A., Cicconi M. R., Puri A., de Ligny D. Optical Properties and Bismuth Redox in Bi-Doped High-Silica Al–Si Glasses // The Journal of Physical Chemistry C. 2018. V. 122. P. 19777–19792.
- Ren J., Dong G., Xu S., Bao R., Qiu J. Inhomogeneous Broadening, Luminescence Origin and Optical Amplification in Bismuth-Doped Glass // The Journal of Physical Chemistry A. 2008. V. 112. N14. P. 3036–3039.
- Fujimoto Y., Nakatsuka M. Infrared Luminescence from Bismuth-Doped Silica Glass // Japanese Journal of Applied Physics. 2001. V. 40. Part 2. N3B. P. L279–L281.
- Firstov S. V., Khopin V. F., Bufetov I. A., Firstova E. G., Guryanov A. N., Dianov E. M. Combined excitation-emission spectroscopy of bismuth active centers in optical fibers // Optics Express. 2011. V. 19. N20. P. 19551–19561.
- Индутный И. З., Михайловская Е. В., Шепелявый П. Е., Данько В. А. Видимая фотолюминесценция селективно травленных пористых nc-Si-SiOx-структур // Физика и техника полупроводников. 2010. Т. 44. Вып. 2. С. 218–222. [Indutnyi I. Z., Michailovska E. V., Shepeliavyi P. E., Dan’ko V. A. Visible photoluminescence of selectively etched porous nc-Si-SiOx structures // Semiconductors. 2010. V. 44. N2. P. 206–210].
- Rong Gui S. C., Imakita K., Fujii M., Bai Z., Hayashi S. Luminescence properties of Bi-doped oxidized porous silicon thin films // Optical Materials. 2012. V. 34. N7. P. 1161–1164.
Дополнительные файлы












