Antioxidant Complex of the Black Sea Bivalve Flexopecten glaber ponticus (Bucquoy, Dautzenberg et Dollfus, 1889) in Natural Habitat
- Authors: Gostyukhina O.L.1, Andreenko T.I.1
-
Affiliations:
- Kovalevsky Institute of Biology of the Southern Seas, Russian Academy of Sciences
- Issue: Vol 50, No 3 (2024)
- Pages: 191-202
- Section: ОРИГИНАЛЬНЫЕ СТАТЬИ
- Accepted: 30.10.2024
- Published: 15.06.2024
- URL: https://journal-vniispk.ru/0134-3475/article/view/267952
- DOI: https://doi.org/10.31857/S0134347524030029
- ID: 267952
Cite item
Full Text
Abstract
The antioxidant (AO) defense complex in tissues of the scallop Flexopecten glaber ponticus (Bucquoy, Dautzenberg et Dollfus, 1889) from a natural habitat in the Black Sea was studied for the first time. The results indicated a pronounced tissue specificity of the scallop AO complex along with close levels of TBA-reactive substances in all the studied organs. In the gills of the scallop, the activity of glutathione reductase (GR), superoxide dismutase (SOD), and catalase was higher compared to the hepatopancreas. The activity of glutathione peroxidase (GP), GR, and catalase in the gills was higher than in the muscle. The reduced glutathione (GSH) reserve in the gills was lower than in the hepatopancreas. This indicated that both the glutathione system and the key antioxidant enzymes, SOD and catalase, significantly contributed to the antioxidant defense of the scallop gills. In the hepatopancreas, the level of glutathione was the highest and the activity of GP was high and similar to that in the gills. This reflects their significant role in the AO defense of this organ. However, the activity of GR, SOD, and catalase in the hepatopancreas was significantly lower than in the gills. The scallop muscle was characterized by the lowest GP activity and a low GSH level, close to that in the gills. The SOD activity in the muscle was comparable to its value in the gills, and the activity of catalase and GR was comparable to the values in the scallop hepatopancreas.
Full Text
Двустворчатые моллюски-фильтраторы – неотъемлемый компонент морских экосистем. Эти организмы ведут, как правило, прикрепленный или малоподвижный образ жизни и имеют фильтрационный способ питания, вследствие чего испытывают влияние ряда естественных и антропогенных факторов среды – концентрации кислорода, температуры, солености, рН, обеспеченности пищей, хищничества, а также подвергаются воздействию загрязняющих веществ (Истомина и др., 2021; Manduzio et al., 2005; Stevens, Gobler, 2018). Результатом этого воздействия может быть состояние окислительного стресса (ОС) вследствие образования избыточного количества активных форм кислорода (АФК) и изменения прооксидантно-антиоксидантного равновесия в организме моллюсков (Livingstone, 2001; Manduzio et al., 2005; Lushchak, 2011).
Двустворчатые моллюски имеют ряд адаптаций, обеспечивающих поддержание гомеостаза организма и позволяющих им сохранять полноценный метаболизм в постоянно меняющихся условиях среды. Для них велика защитная роль антиоксидантного (АО) комплекса, обеспечивающего необходимый баланс между про- и антиоксидантными процессами и защиту клеток от окислительного повреждения. Эффективность АО системы (АОС) во многом определяет способность моллюсков к адаптации и их устойчивость к стресс-факторам водной среды (Солдатов и др., 2014; Истомина и др., 2021; Livingstone, 2001; Regoli, Giuliani, 2014).
У разных видов двустворчатых моллюсков устойчивость к ОС может отличаться, так как она связана со специфическими для каждого вида особенностями – физиологическим состоянием, тканевой спецификой, соотношением уровня низкомолекулярного и ферментного звена АОС, систем высокого и низкого сродства к субстрату (Солдатов и др., 2014; Regoli, Giuliani, 2014), экологическими особенностями вида (Климова, Чуйко, 2015; Livingstone, 2001; Lushchak, 2011; Istomina et al., 2021).
Показаны различия в особенностях АО комплекса и уровня перекисного окисления липидов (ПОЛ) у ряда черноморских, дальневосточных, средиземноморских, патагонских моллюсков, включая гребешков, в естественной среде их обитания. Выявлена их взаимосвязь с экофизиологическими особенностями этих видов (Бельчева и др., 2016; Гостюхина, Андреенко, 2020; Gostiukhina, Golovina, 2013; Stevens, Gobler, 2018; Rahman et al., 2019; Lompre et al., 2019; Istomina et al., 2021). Различия в работе АО системы обнаруживают между моллюсками не только разных, но и близких видов, – например, между двумя видами дрейссен Dreissena polymorpha и D. bugensis (Климова, Чуйко, 2015) или у разных цветовых морф одного вида Mytilus galloprovincialis (Александрова и др., 2001). Поэтому изучение различий в функционировании АО комплекса и в его адаптациях у моллюсков, занимающих разные экологические ниши, представляет большой интерес как в нормальных, так и в стрессовых условиях (Stevens, Gobler, 2018). Изучение показателей АО комплекса позволяет более полно подойти к оценке состояния здоровья моллюсков, в том числе гребешков (Lompré et al., 2020).
Черноморский гребешок Flexopecten glaber ponticus - один из важных объектов марикультуры средиземноморского региона благодаря его вкусовым качествам и большому содержанию питательных веществ (Marčeta et al., 2016; Berik et al., 2017; Nardi et al., 2018), а также это возможный объект марикультуры у берегов Крыма (Бондарев, 2019; Revkov et al., 2021). Однако в последние десятилетия численность вида в Черном море резко сократилась (Бондарев, 2019). В настоящее время F. glaber и F. glaber ponticus, как вид и подвид, подвергающиеся сокращению численности, занесены в Красную книгу Крыма и Севастополя (Ревков, 2015). Морские гребешки чувствительны к изменениям окружающей среды – флуктуации pH, температуры или уровня кислорода в воде могут оказывать пагубное воздействие на численность популяции (Christophersen, 2005; Cameron et al., 2019).
Ряд исследований содержит сведения об эмбриональном и личиночном развитии F. glaber ponticus (Pirkova, Ladygina, 2017), структуре популяции моллюска (Todorova et al., 2022), а также о состоянии АО комплекса других гребешков, в том числе из семейства Pectinidae, из разных районов Мирового океана (Бельчева и др., 2016; Viarengo et al., 1995; Qian et al., 2015; Lompré et al., 2020; Tan et al., 2020; Istomina et al., 2021). Однако в целом экология и биология этого вида изучена недостаточно (Бондарев, 2019), а о состоянии АО комплекса F. glaber ponticus из Черного моря информация отсутствует.
Это определило цель настоящего исследования – выявить тканевые особенности АО комплекса у черноморского гребешка Flexopecten glaber ponticus в естественной среде его обитания.
МАТЕРИАЛ И МЕТОДИКА
Половозрелых особей гребешка Flexopecten glaber ponticus собирали в сентябре 2020 г. в районе б. Казачья (Севастополь, Крым) Черного моря на глубине 2.0–2.5 м при температуре воды 18–19°С и солености 16–17‰. Длина раковины моллюсков составляла 26–33 мм. Гребешки в момент сбора находились в посленерестовом состоянии, что важно, так как АО комплекс моллюска весьма чувствителен к изменениям, происходящим в организме во время репродуктивного цикла (Солдатов и др., 2014; Истомина и др., 2021). Внешний вид раковин и мягких тканей моллюсков представлен на рис. 1.
Рис. 1. Внешний вид раковин и мягких тканей гребешка Flexopecten glaber ponticus
После транспортировки моллюсков выдерживали трое сут в проточных аквариумах (150 л) с аэрацией для акклимации. Параметры морской воды в аквариумах были такими же, как и в море (температура воды 18–19°С, соленость 16–17‰, концентрация О2 – 7.4–7.7 мг/л). Ежедневно воду в аквариуме заменяли для удаления продуктов распада. Моллюсков ежедневно кормили микроводорослями (Tetraselmis viridis, штамм IBSS-25, 5–10 мл/50 л морской воды).
У моллюсков извлекали гепатопанкреас, жабры и мускул, органы немедленно замораживали и хранили при -80°С. Замороженные образцы тканей оттаивали на льду и гомогенизировали в 2 мл ледяного 20 мМ Tris/HCl буфера (рН = 7.5), содержащего 0.5 мМ ЭДТА (Cossi et al., 2020) в соотношении ткань : буфер 1 : 10. Гомогенаты центрифугировали (3200g, 15 минут, при 4°C) на центрифуге Centrifuge 5424 R, Eppendorf. Полученные супернатанты сразу использовали для определения активности ферментов.
Активность ГП определяли по накоплению окисленного глутатиона (Paglia, Valentine, 1967), активность ГР – по уменьшению уровня НАДФН (Marques et al., 2016). Активность СОД оценивали по степени ингибирования восстановления нитросинего тетразолия (Nishikimi et al., 1972), а каталазы – по реакции остаточных количеств пероксида водорода с молибдатом аммония (Góth, 1991). Активность ферментов определяли при температуре 25.0 ± 0.5°С. Количество белка в пробах измеряли по методу Лоури при 750 нм (Lowry et al., 1951). Содержание восстановленного глутатиона (GSH) оценивали по реакции с аллоксановым реактивом (Путилина, 1982). Интенсивность ПОЛ измеряли по уровню продуктов, реагирующих с 2-тиобарбитуровой кислотой (ТБК-активных продуктов) (Ohkawa et al., 1979).
Для статистической обработки цифрового материала использовали стандартные программы Past 3, Grapher-7. Было исследовано 22 особи. Рассчитывали среднее арифметическое и ошибку среднего. Для оценки достоверности различий применяли U-критерий Манна-Уитни. Различия считали статистически достоверными при значении р ≤ 0.05. На рисунках результаты представлены как среднее ± ошибка среднего (n = 22).
РЕЗУЛЬТАТЫ
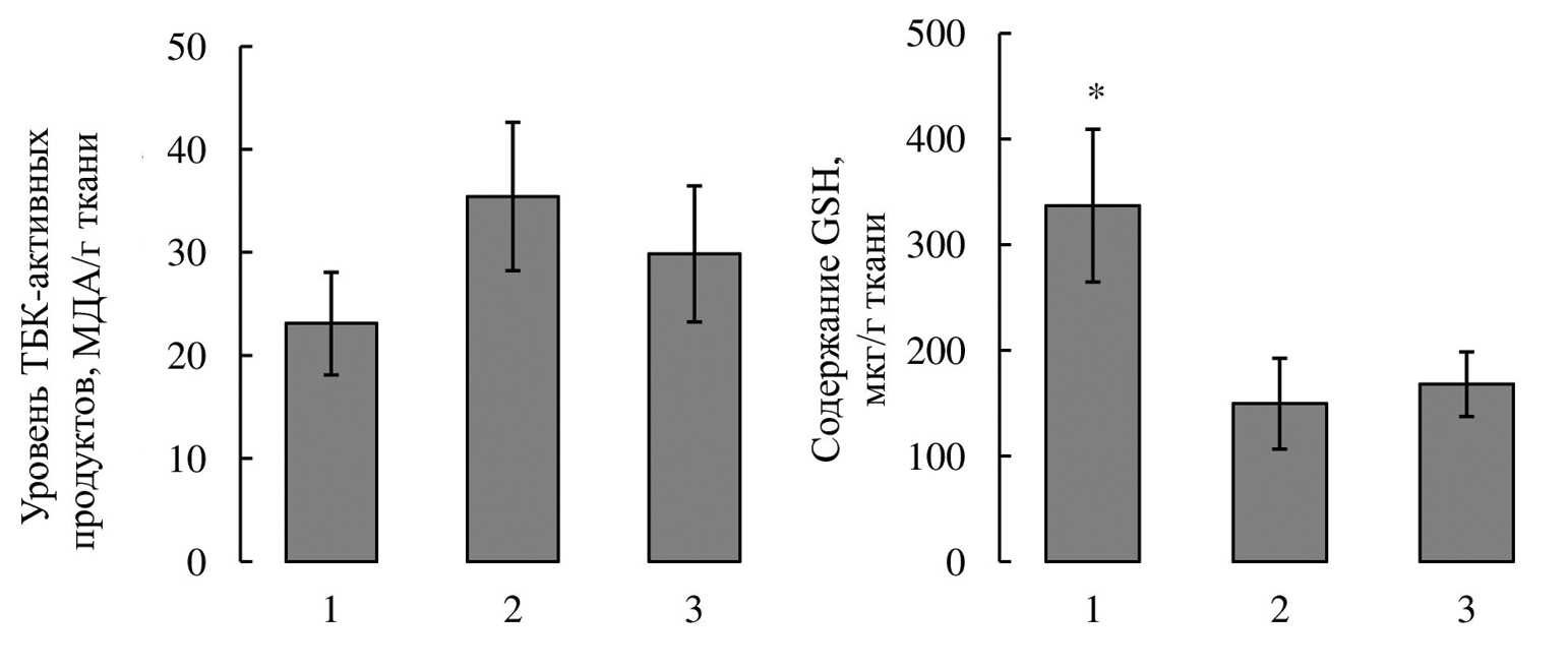
Содержание ТБК-активных продуктов во всех исследованных тканях гребешка было близким (рис. 2). Показатели АО комплекса, напротив, проявили выраженную тканевую специфику. Уровень GSH в гепатопанкреасе был больше по сравнению с жабрами и мускулом гребешка в 2.0–2.25 раза (p ≤ 0.01) (рис. 2). Активность ГП, напротив, в жабрах и гепатопанкреасе совпадала, что было выше, чем в мускуле в 3.1–3.5 раза (p ≤ 0.01) (рис. 3). Жабры гребешка отличались и наибольшей активностью ГР, что превосходило активность фермента в гепатопанкреасе в 1.7 раза (p ≤ 0.05), но совпадало со значением в мускуле (рис. 3). Наибольшие величины активности СОД и каталазы также выявлены в жабрах гребешка (рис. 4). СОД в этой ткани была в 1.5 раза активнее, чем в гепатопанкреасе (p ≤ 0.05). Активность каталазы была в 2.0 раза выше, чем в гепатопанкреасе (p ≤ 0.05) и в 1.5 раза больше, чем в мускуле моллюска (p ≤ 0.05). В остальных случаях различия не были достоверными.
Рис. 2. Уровень ТБК-активных продуктов и глутатиона (GSH) в тканях гребешка Flexopecten glaber ponticus (1 – гепатопанкреас, 2 – жабры, 3 – мускул; *достоверные отличия от значений в других тканях (p ≤ 0.05–0.01))
Рис. 3. Активность ГП и ГР в тканях гребешка Flexopecten glaber ponticus (1 – гепатопанкреас, 2 – жабры, 3 – мускул; *достоверные отличия от значений в других тканях (p ≤ 0.05–0.01))
Рис. 4. Активность СОД и каталазы в тканях гребешка Flexopecten glaber ponticus (1 – гепатопанкреас, 2 – жабры, 3 – мускул; *достоверные отличия от значений в других тканях (p ≤ 0.05–0.01))
ОБСУЖДЕНИЕ
Состояние АО комплекса варьировало в зависимости от ткани моллюска. АО статус тканей гребешка Flexopecten glaber ponticus можно оценить по соотношению уровня глутатиона c активностью исследованных ферментов и интенсивностью ПОЛ в тканях.
Жабры
В жабрах гребешка ресурс GSH был низким по сравнению с гепатопанкреасом, что сочеталось с наибольшей активностью ГП и ГР. Высокая активность обоих ферментов свидетельствовала об активном обезвреживании Н2О2 и гидроперекисей с помощью ГП и одновременном наращивании резерва GSH с участием ГР. Считают, что достаточный ресурс GSH в тканях обеспечивает функционирование ГП по инактивации Н2О2 и гидропероксидов (Ng et al., 2007; Qiu et al., 2013).
Показано, что поддержание активности ГР, и, как следствие, ресурса GSH, имеет важнейшее значение для детоксикации АФК у животных (Halliwell, 1999), и в том числе у ряда видов гребешков (Бельчева и др., 2016; Istomina et al., 2021), мидий, анадары (Гостюхина, Андреенко, 2018; Гостюхина, Солдатов, 2023; Regoli, Principato, 1995), устриц (Trevisan et al., 2016; Elia et al., 2020), а антиоксидантная глутатионовая система (АГС) в целом играет роль важного защитного барьера в жабрах двустворчатых моллюсков (Trevisan et al., 2016). Однако в нашем исследовании, несмотря на сравнительно высокую активность ГП и ГР, уровень GSH в жабрах гребешка был меньше, чем в гепатопанкреасе. Это указывает на более напряженное состояние АО комплекса жабр F. glaber ponticus по сравнению с гепатопанкреасом и мускулом, а также на его наиболее высокую чувствительность к потенциальному окислительному стрессу. Это связано с рядом причин.
В естественных условиях жабры моллюсков испытывают повышенную окислительную нагрузку в связи с их структурно-функциональными особенностями. Жабры гребешков – крупные листовидные органы, имеют большую площадь поверхности и постоянно контактируют с водной средой в процессе газообмена и фильтрационного питания (Marsden, Cranford, 2016). Это способствует поступлению в жабры растворенного в воде кислорода и различных токсических веществ, стимулирующих дополнительное образование АФК и усиление ПОЛ. В свою очередь это может приводить к частичной потере GSH при его активном участии в АО процессах в случае недостатка активности ферментов его биосинтеза и/или энергии АТФ (Борисенок и др., 2019). В исследованиях АО реакций в тканях мидий и гребешков показано, что скорость реакции, катализируемой ГП, ограничена концентрацией GSH в клетке, а между активностью ГП и ГР существует баланс для модуляции реакций с участием H2O2 и GSH в качестве субстратов (Qiu et al., 2013).
При этом активность ключевых АО ферментов, СОД и каталазы, в жабрах гребешка наибольшая, что, очевидно, связано с существенным вкладом ферментов этой группы в АО защиту жабр F. glaber ponticus. Вероятно, высокая активность каталазы в этом органе обусловлена повышенной концентрацией Н2О2, которая образуется не только при дисмутации супероксидного радикала. Источником пероксида водорода могут быть пероксисомы и другие компартменты клетки. Это соединение легко диффундирует через биологические мембраны и может вступать во множество других свободно-радикальных реакций (Lesser, 2006). Это ведет к риску развития ОС у моллюсков, особенно у чувствительных к уровню кислорода гребешков (Viarengo et al., 1995). Это также свидетельствует о более интенсивной АО защите жабр, чем гепатопанкреаса и мускула, и подтверждается близким уровнем ТБК-активных продуктов во всех исследованных тканях.
Соотношение величин АО комплекса в жабрах, подобное выявленному нами, находим и в ряде других исследований. У гребешка F. glaber (контрольная группа) активность ГП в гепатопанкреасе и жабрах близкая, а активность каталазы существенно выше в жабрах (Nardi et al., 2018). Активность каталазы и ГР – наибольшие в жабрах по сравнению с мускулом и гепатопанкреасом у гребешка Mizuhopecten yessoensis (Бельчева и др., 2016). Активность СОД в жабрах превышала таковую в гепатопанкреасе гребешка Aequipecten tehuelchus (Аргентина) (Lompré et al., 2020). Как и в нашем исследовании в жабрах ряда видов гребешков активность АО ферментов была выше, чем в гепатопанкреасе. В жабрах Chlamys farreri, Swiftopecten swiftii и M. yessoensis выше активность ГР, у M. yessoensis – активность каталазы, а у C. farreri и S. swiftii – активность СОД (Istomina et al., 2021).
Более высокую чувствительность жабр гребешков, чем гепатопанкреаса, к ОС разной природы отмечают и при изучении реакций АО комплекса на различные стресс-факторы. Так, сделан вывод о большей уязвимости АО системы жабр гребешка F. flexuosus, чем его гепатопанкреаса, при действии кадмия и закисления, так как в жабрах отмечали снижение активности ГП, глутатионтрансферазы (ГТ) и других ферментов, а в гепатопанкреасе – напротив, их повышение (Allodi, 2013). Отмечают, что в естественных условиях обитания гребешки способны к высокому накоплению в тканях тяжелых металлов – кадмия, мышьяка, при этом предполагают адсорбцию этих металлов слизистой оболочкой жабр. Жабры являются одним из основных путей, по которому ионы металлов попадают в организм моллюсков, и служат первыми органами-мишенями при их действии (Lompré et al., 2020). Вероятно, это может оказывать прямое повреждающее действие на жаберные клетки и вызывать в них развитие ОС. В частности, среди негативных эффектов кадмия на АО комплекс гребешка A. tehuelchus отмечают стимуляцию выработки АФК в клетках и истощение ресурса GSH (Lompré et al., 2020), необходимого при функционировании ГП, ГТ и имеющего важную самостоятельную АО роль.
Вероятно, соотношение компонентов АО защиты между собой и с уровнем ТБК-активных продуктов отражает специфику защиты жабр гребешка как органа, наиболее подверженного окислительной нагрузке и несущего в связи с этим высокие риски развития ОС. Полученные нами результаты показывают, что в АО защите жабр велика роль всех изученных АО компонентов, что, вероятно, позволяет поддерживать уровень ТБК-активных продуктов в этом органе гребешка на одном уровне с остальными. Это особенно важно для F. glaber как стенобионтного вида, чувствительного к действию многих факторов водной среды (Telahigue et al., 2022).
Гепатопанкреас
Высокая активность ГП в пищеварительной железе, как и в жабрах гребешка, указывает на интенсивное вовлечение GSH в работу фермента. При этом на фоне более низкой активности ГР, чем в жабрах, ресурс GSH в гепатопанкреасе – наибольший среди исследованных тканей. Поддержание ресурса GSH в пищеварительной железе моллюсков, возможно, связано не только с работой ГР, но и с его синтезом de novo за счет наличия большого количества пластических ресурсов в этом органе, в том числе аминокислот (Nguyen et al., 2019).
Эти особенности свидетельствуют об активной работе АГС в гепатопанкреасе F. glaber ponticus и поддержании резерва GSH на высоком уровне. Подобный АО профиль отмечают и в гепатопанкреасе ряда видов гребешков – высокую активность ГП у S. swiftii, M. yessoensis и C. farreri по сравнению с жабрами (Istomina et al., 2021), у Pecten maximus – по сравнению с жабрами и мускулом (Gamble et al., 1995), у M. yessoensis активность ГП выше, чем в мускуле (Qui et al., 2013), а у S. swiftii, как и в нашей работе, отмечен наибольший уровень GSH (Istomina et al., 2021).
Вероятно, такое состояние АГС типично для гепатопанкреаса, где в целом высок уровень обмена веществ и интенсивность генерации АФК как в норме, так и при действии ОС. Ткань пищеварительной железы, как известно, является основным местом накопления различных ксенобиотиков, способствующих генерации АФК (Livingstone, 1991). Это обусловливает повышенный базальный уровень АФК и ПОЛ в этом органе моллюсков (Regoli, Principato, 1995; Livingstone, 2001), что, вероятно, способствует активной работе АГС в гепатопанкреасе исследованного нами гребешка.
Активность СОД и каталазы в гепатопанкреасе гребешка была наименьшей по сравнению с жабрами и мускулом моллюска. Возможно, эти особенности связаны со следующими причинами.
Показано, что пищеварительная железа гребешков наряду с жабрами способна накапливать тяжелые металлы, особенно кадмий и мышьяк (Marsden, Cranford, 2016; Lompré et al., 2020). У двустворчатых моллюсков перенос ионов металлов в органы пищеварения происходит из жабр, а содержание тяжелых металлов в гепатопанкреасе значительно выше, чем в других тканях (Lompré et al., 2020; Telahigue et al., 2022). В пищеварительной железе морского гребешка A. tehuelchus выявлены наибольшие повреждения клеток в естественных условиях вследствие накопления тяжелых металлов, а также сделан вывод о низкой или недостаточной способности этого органа реагировать на повреждение на фоне роста уровня АФК и липидных радикалов (Lompré et al., 2020). Учитывая способность гребешков к высокому накоплению тяжелых металлов, возможно, в гепатопанкреасе исследованного нами вида активность СОД и каталазы недостаточна для купирования потенциального окислительного стресса, а основной вклад в АО защиту пищеварительной железы F. glaber ponticus вносит АГС.
С другой стороны, нельзя исключить, что более низкая активность СОД и каталазы в гепатопанкреасе, чем в жабрах F. glaber, может быть связана с дополнительной защитой от окислительного стресса за счет действия металлотионеинов, активно обезвреживающих опасные гидроксильные радикалы (Telahigue et al., 2022). В частности, эти соединения обнаружены в гепатопанкреасе ряда видов гребешков – F. glaber (Nardi et al., 2018), Argopecten irradians (Yang et al., 2013), Adamussium colbecki (Viarengo et al., 1993), A. tehuelchus (Giarratano et al., 2023), M. yessoensis (Zhukovskaya et al., 2020).
В нашем исследовании это может косвенно подтверждаться близким уровнем ТБК-активных продуктов во всех исследованных тканях F. glaber ponticus. В сравнительных исследованиях показано, что активность СОД существенно ниже в гепатопанкреасе ряда видов гребешков, чем в этом же органе митилид (Бельчева и др., 2016; Gamble et al., 1995; Regoli et al., 1997). Это дает основание предположить, что более низкий в целом базовый уровень АФК в тканях гребешков, и в том числе у исследованного нами F. glaber ponticus, может способствовать другому распределению величин активности АО ферментов по тканям, чем у моллюсков с более высоким уровнем АФК. Это могло способствовать и более низкой активности СОД в гепатопанкреасе по сравнению с жабрами гребешка в нашем исследовании. Более низкая, чем в жабрах, активность СОД в гепатопанкреасе, могла оказать влияние и на каталазу – активность этого фермента в гепатопанкреасе моллюска также существенно ниже, чем в жабрах. Это подчеркивает согласованное функционирование СОД и каталазы, последовательно инактивирующих супероксидный радикал и Н2О2 в тканях гребешка. Кроме того, эта особенность дополнительно подтверждает вывод о ведущей роли АГС в АО защите гепатопанкреаса исследованного нами гребешка.
Мускул
Активность ГП в мускуле существенно более низкая, чем в гепатопанкреасе и жабрах гребешка, и активность ГР, близкая к значениям в остальных тканях, вероятно, обусловливают меньшую степень инактивации Н2О2 и гидроперекисей в этом органе. При этом содержание GSH в мускуле такое же, как и в жабрах. В отличие от мускула, в жабрах и гепатопанкреасе гребешка оборот GSH, очевидно, происходит интенсивнее, что, возможно, и способствует поддержанию количества ТБК-активных продуктов в этих двух органах на таком же уровне, как и в мускульной ткани F. glaber ponticus.
Сравнительно невысокая активность ГП и АГС в целом в мускуле гребешка связана, вероятно, с более низкой интенсивностью обмена веществ в этом органе моллюска, чем в гепатопанкреасе и жабрах. Как известно, скорость метаболизма может влиять на скорость образования АФК и, как следствие, на АО активность (Buttemer et al., 2010). Более низкую активность глутатионзависимых ферментов и низкий уровень GSH в мускульной ткани по сравнению с другими органами отмечают и у ряда других видов гребешков – Pecten maximus, M. yessoensis (Бельчева и др., 2016; Gamble et al., 1995; Qiu et al., 2013).
Кроме того, более низкую активность АО ферментов связывают с меньшим содержанием железа в мускульной ткани по сравнению с гепатопанкреасом и жабрами гребешка. Так, в мускуле M. yessoensis установлено наименьшее содержание этого микроэлемента (Бельчева и др., 2016). Известно, что металлы с переменной валентностью, а именно ионы Fe2+/Fe3+, способны инициировать реакцию Габера-Вейса с образованием высокоактивного гидроксильного радикала (Halliwell, Gutteridge, 1984). Образование этих радикалов с участием ионов железа показано в субклеточных фракциях пищеварительной железы и жабр гребешка A. colbecki (Regoli et al., 1998). Это может существенно стимулировать развитие ПОЛ и окислительное повреждение этих тканей. Кроме того, способность к накоплению тяжелых металлов в мускуле существенно ниже, чем в других тканях этого моллюска (Marsden, Cranford, 2016). Возможно, низкое содержание ионов железа и тяжелых металлов в мускуле исследованного нами F. glaber ponticus, как и у других видов гребешков, могло определить пониженный уровень процессов свободно-радикального окисления и, как следствие, активности ГП и АГС в целом.
Одной из возможных причин более низкой активности АГС в мускуле может служить и особый состав жирных кислот биомембран этой ткани. Предполагают, что в мускульной ткани гребешка M. yessoensis более низкая активность ряда АО ферментов, в том числе ГП и ГР, связана с более низкой чувствительностью липидов мембран в этой ткани к действию ПОЛ (Бельчева и др., 2016).
Активность СОД в мускуле исследованного нами гребешка была близкой к значению в жабрах и выше, чем в гепатопанкреасе, а активность каталазы – близка к активности фермента в гепатопанкреасе, и уступала только жабрам. Вероятно, этим ферментам принадлежит ведущая роль в АО защите мускульной ткани на фоне сравнительно низкой активности АГС моллюска.
Относительно высокая активность каталазы и СОД в мускуле гребешка F. glaber ponticus может быть связана также с подвижностью и содержанием макроэргов у моллюска. Для высокоподвижных моллюсков, к числу которых относят гребешков, показано быстрое снижение уровня АТФ и энергетического заряда в мускульной ткани, например, при дефиците кислорода (Livingstone, 1991). Как известно, для поддержания уровня АТФ важен достаточный уровень GSH в тканях моллюсков (Martinez et al., 1995). Так как ресурс GSH и активность ГП в мускульной ткани подвижного гребешка существенно ниже, чем в гепатопанкреасе и/или в жабрах, то возможно, сравнительно высокая активность СОД и каталазы, выявленная нами, позволяет поддерживать необходимую АО защиту мускула в условиях недостатка других антиоксидантов.
Таким образом, состояние АО комплекса гребешка F. glaber ponticus из естественной среды обитания отличается выраженной тканевой спецификой на фоне близкого уровня ТБК-активных продуктов во всех исследованных тканях моллюска. Для жабр гребешка была характерна более высокая активность ГР, СОД и каталазы по сравнению с гепатопанкреасом и более высокая активность ГП, ГР и каталазы по сравнению с мускулом, а ресурс глутатиона в жабрах был ниже, чем в гепатопанкреасе. Это отражает существенный вклад в антиоксидантную защиту жабр гребешка как глутатионовой системы, так и ключевых АО ферментов – СОД и каталазы. В гепатопанкреасе моллюска выявлен наибольший среди его тканей уровень глутатиона и высокая активность ГП, сходная с жабрами, что отражает их весомую роль в АО защите этого органа. На этом фоне активность ГР, СОД и каталазы в гепатопанкреасе была существенно ниже, чем в жабрах. Мускул гребешка отличался наименьшей активностью ГП и низким уровнем GSH, близким к жабрам. Активность СОД в мускуле была сопоставима со значением в жабрах, а активность каталазы и ГР – со значениями в гепатопанкреасе моллюска.
ФИНАНСИРОВАНИЕ РАБОТЫ
Работа выполнена в рамках государственного задания ФИЦ ИнБЮМ по темам “Механизмы функционирования иммунной системы двустворчатых моллюсков и физиологические основы ее адаптации к абиотическим, биотическим и антропогенным факторам окружающей среды” (№ гос. регистрации 124030100090-4) и “Функциональные, метаболические и молекулярно-генетические механизмы адаптации морских организмов к условиям экстремальных экотопов Черного и Азовского морей и других акваторий Мирового океана” (124030100137-6).
СОБЛЮДЕНИЕ ЭТИЧЕСКИХ СТАНДАРТОВ
Эксперименты с животными проводились в соответствии с Руководством Национального института здравоохранения по уходу и использованию лабораторных животных (http://oacu.od.nih.gov/regs/index.htm). Проведение экспериментов одобрено Комиссией по биоэтике Института биологии южных морей им. А.О. Ковалевского РАН (Протокол 2/23 от 24 августа 2023 года).
КОНФЛИКТ ИНТЕРЕСОВ
Авторы данной работы заявляют, что у них нет конфликта интересов.
About the authors
O. L. Gostyukhina
Kovalevsky Institute of Biology of the Southern Seas, Russian Academy of Sciences
Author for correspondence.
Email: gostolga@yandex.ru
ORCID iD: 0000-0002-0069-7990
Russian Federation, Sevastopol
T. I. Andreenko
Kovalevsky Institute of Biology of the Southern Seas, Russian Academy of Sciences
Email: gostolga@yandex.ru
ORCID iD: 0000-0002-1165-5358
Russian Federation, Sevastopol
References
- Александрова О.Л., Солдатов А.А., Головина И.В. Особенности глутатионпероксидной системы в тканях двух цветовых морф черноморской мидии Mytilus galloprovincialis Lam. // Экол. моря. 2001. T. 58. C. 22–26.
- Бельчева Н.Н., Довженко Н.В., Истомина А.А. и др. Антиоксидантная система мидии Грея Crenomytilus grayanus (Dunker, 1853) и приморского гребешка Mizuhopecten yessoensis (Jay, 1857) (Mollusca: Bivalvia) // Биол. моря. 2016. Т. 42. № 5. С. 375–380.
- Бондарев И.П. Новые данные о биологии и экологии Flexopecten glaber (Linnaeus, 1758) (Bivalvia, Pectinidae) в Черном море // Вод. биоресурсы и среда обитания. 2019. T. 2. № 2. C. 36–44.
- Борисенок О.А., Бушма М.И., Басалай О.Н., Радковец А.Ю. Биологическая роль глутатиона // Мед. новости. 2019. Т. 7. № 298. С. 3–8.
- Гостюхина О.Л., Андреенко Т.И. Ферментное и низкомолекулярное звенья антиоксидантного комплекса двух видов черноморских моллюсков с разной устойчивостью к окислительному стрессу: Mytilus galloprovincialis Lam. и Anadara kagoshimensis (Tokunaga, 1906) // Журн. общ. биол. 2018. Т. 79. № 6. С. 482–492.
- Гостюхина О.Л., Андреенко Т.И. Активность супероксиддисмутазы и каталазы в тканях трех видов черноморских двустворчатых моллюсков: Cerastoderma glaucum (Bruguiere, 1789), Anadara kagoshimensis (Tokunaga, 1906) и Mytilus galloprovincialis Lam. в связи с адаптацией к условиям их обитания //Журн. эвол. биохим. и физиол. 2020. Т. 56. № 2. С. 24–34.
- Гостюхина О.Л., Солдатов А.А. Влияние голодания на антиоксидантный комплекс двустворчатого моллюска Anadara kagoshimensis (Tokunaga, 1906) из Черного моря // Биол. моря. 2023. Т. 49. № 1. С. 17–26.
- Истомина А.А., Мазур А.А., Челомин В.П. и др. Интегрированный ответ биомаркëров при оценке качества морской среды на примере двустворчатого моллюска Mytilus trossulus (Gould, 1850) // Биол. моря. 2021. Т. 47. С. 176–183.
- Климова Я.С., Чуйко Г.М. Антиоксидантный статус пресноводных двустворчатых моллюсков Dreissena polymorpha и D. bugensis (Dreissenidae, Bivalvia) из Волжского плёса Рыбинского водохранилища // Поволжский экол. журн. 2015. № 1. С. 33–41.
- Путилина Ф.Е. Определение содержания восстановленного глутатиона в тканях // Методы биохим. исследований. Л.: Изд-во ЛГУ. 1982. С. 183–187.
- Ревков Н.К. Гребешок черноморский Flexopecten glaber ponticus Bucquoy, Dautzenberg et Dollfus, 1889 // Красная книга Республики Крым. Животные. Симферополь: АРИАЛ. 2015. С. 39.
- Солдатов А.А., Гостюхина О.Л., Головина И.В. Функциональные состояния антиоксидантного ферментного комплекса тканей Mytilus galloprovincialis Lam. в условиях окислительного стресса //Журн. эвол. биохим. и физиол. 2014. № 3. С. 183–189.
- Berik N., Çankiriligil C., Gül G. Mineral content of smooth scallop (Flexopecten glaber) caught Canakkale, Turkey and evaluation in terms of food safety // J. Trace Elem. Med. Biol. 2017. V. 42. P. 97–102.
- Buttemer W.A., Abele D., Costantini D. From bivalves to birds: oxidative stress and longevity // Funct. Ecol. 2010. V. 24. № 5. P. 971–983.
- Cameron L.P., Reymond C.E., Müller-Lundin F. et al. Effects of temperature and ocean acidification on the extrapallial fluid pH, calcification rate, and condition factor of the king scallop Pecten maximus // J. Shellfish Res. 2019. V. 38. № 3. P. 763–777.
- Christophersen G. Effects of environmental conditions on culturing scallop spat (Pecten maximus). Bergen, Norway: Univ. of Bergen. 2005.
- Cossi P.F., Herbert L.T., Yusseppone M.S. et al. Toxicity evaluation of the active ingredient acetamiprid and a commercial formulation (Assail® 70) on the non-target gastropod Biomphalaria straminea (Mollusca: Planorbidae) // Ecotoxicol. Environ. Saf. 2020. V. 192. Art. 110248. 10.1016/j.ecoenv.2020.110248
- Elia A.C., Burioli E., Magara G. et al. Oxidative stress ecology on Pacific oyster Crassostrea gigas from lagoon and offshore Italian sites // Sci. Total Environ. 2020. V. 739. Art. ID 139886.
- Exploring Themes on Aquatic Toxicology / Ed. S. Allodi. Kerala, India: Research Signpost. 2013.
- Gamble S.C., Goldfarb P.S., Porte C., Livingstone D.R. Glutathione peroxidase and other antioxidant enzyme function in marine invertebrates (Mytilus edulis, Pecten maximus, Carcinus maenas and Asterias rubens) // Mar. Environ. Res. 1995. V. 39. № 1-4. P. 191–195.
- Giarratano E., Lompré J.S., Malanga G. Evidences of metabolic alterations and cellular damage in different tissues of scallops Aequipecten tehuelchus exposed to cadmium // Mar. Environ. Res. 2023. V. 188. Art. ID 106011.
- Gostiukhina O.L., Golovina I.V. Сomparative analysis of antioxidant complex of the Black sea mollusks Mytilus galloprovincialis, Anadara inaequivalvis and Crassostrea gigas // Hydrobiol. J. 2013. V. 49. № 3. P. 77–84.
- Góth L.A. A simple method for determination of serum catalase activity and revision of reference range // Clin. Chim. Acta. 1991. V. 196. № 2–3. P. 143–151.
- Halliwell B. Antioxidant defence mechanisms: from the beginning to the end (of the beginning) // Free Radical Res. 1999. V. 31. № 4. P. 261–272.
- Halliwell B., Gutteridge J. Oxygen toxicity, oxygen radicals, transition metals and disease // Biochem. J. 1984. V. 219. № 1. P. 1–14.
- Istomina A., Yelovskaya O., Chelomin V. Antioxidant activity of Far Eastern bivalves in their natural habitat // Mar. Environ. Research. 2021. V. 169. P. 105383.
- Lesser M. Oxidative stress in the marine environment: biochemistry and physiological ecology // Annu. Rev. 2006. V. 68. P. 253–278.
- Livingstone D.R. Origins and evolution of pathways of anaerobic metabolism in the animal kingdom // Am. Zool. 1991. V. 31. P. 522–534.
- Livingstone D.R. Contaminant-stimulated reactive oxygen species production and oxidative damage in aquatic organisms // Mar. Pollut. Bull. 2001. V. 42. № 8. P. 656–666.
- Lompré J., Malanga G., Gil M.N. Multiple-biomarker approach in a commercial marine scallop from San Jose gulf (Patagonia, Argentina) for health status assessment // Arch. Environ. Contam. Toxicol. 2020. V. 78. P. 451–462.
- Lowry O., Rosebrough N., Farr A.L., Randall R. Protein measurement with the Folin phenol reagent // J. Biol. Chem. 1951. V. 193. № 1. P. 265–275.
- Lushchak V.I. Environmentally induced oxidative stress in aquatic animals // Aquat. Toxicol. 2011. V. 101. № 1. P. 13–30.
- Manduzio H., Rocher B., Durand F. et al. The point about oxidative stress in mollusks // Invertebr. Surviv. J. 2005. V. 91. № 2. P. 91–104.
- Marčeta T., Da Ros L., Marin M.G. et al. Overview of the biology of Flexopecten glaber in the North Western Adriatic Sea (Italy): a good candidate for future shellfish farming aims? // Aquaculture. 2016. V. 462. P. 80–91.
- Marques A., Piló D., Araújo O. Propensity to metal accumulation and oxidative stress responses of two benthic species (Cerastoderma edule and Nephtys hombergii): are tolerance processes limiting their responsiveness? // Ecotoxicology. 2016. V. 25. № 4. P. 664–676.
- Marsden I.D., Cranford P.J. Scallops and marine contaminants // Dev. Aquacult. Fish. Sci. 2016. V. 40. P. 567–584.
- Martínez M., Ferrándiz M.L., Díez A., Miquel H. Depletion of cytosolic GSH decreases the ATP levels and viability of synaptosomes from aged but not from young mice // Mech. Aging Dev. 1995. V. 84. № 1. P. 77–81.
- Nardi A., Benedetti M., Fattorini D., Regoli F. Oxidative and interactive challenge of cadmium and ocean acidification on the smooth scallop Flexopecten glaber // Aquat. Toxicol. 2018. V. 196. P. 53–60.
- Ng C.F., Schafer F.Q., Buettner G.R., Rodgers V.G.J. The rate of cellular hydrogen peroxide removal shows dependency on GSH: mathematical insight into in vivo H2O2 and GPx concentrations // Free Radical Res. 2007. V. 41. № 11. P. 1201–1211.
- Nguyen T.V., Alfaro A.C., Young T., Merien F. Tissue-specific immune responses to Vibrio sp. infection in mussels (Perna canaliculus): a metabolomics approach // Aquaculture. 2019. V. 500. P. 118-125.
- Nishikimi M., Rao N.A., Yagi K. The occurrence of superoxide anion in the reaction of reduced phenazine methosulfate and molecular oxygen // Biochem. Biophys. Res. Commun. 1972. V. 46. № 2. P. 849–854.
- Ohkawa H., Ohishi N., Yagi K. Assay for lipid peroxides in animal tissues by thiobarbituric acid reaction // Anal. Biochem. 1979. V. 95. № 2. P. 351–358.
- Paglia D., Valentine W. Studies on the quantitative and qualitative characterization of erythrocyte glutathione peroxidase // J. Lab. Clin. Med. 1967. V. 70. № 1. P. 158–169.
- Pirkova A.V., Ladygina L.V. Meiosis, embryonic, and larval development of the Black Sea scallop Flexopecten glaber ponticus (Bucquoy, Dautzenberg & Dollfus, 1889) (Bivalvia, Pectinidae) // Mar. Biol. J. 2017. V. 2. № 4. P. 50–57.
- Qian J., Li Z., Shen Y. et al. Synergistic effect of temperature and salinity on antioxidant enzymes activities of Chlamys nobilis // S. China Fish. Sci. 2015. V. 11. № 6. P. 49–57.
- Qiu J., Ma F., Fan H., Li A. Effects of feeding Alexandrium tamarense, a paralytic shellfish toxin producer, on antioxidant enzymes in scallops (Patinopecten yessoensis) and mussels (Mytilus galloprovincialis) // Aquaculture. 2013. V. 396-399. P. 76–81.
- Rahman M.A., Henderson S., Miller-Ezzy P. et al. Immune response to temperature stress in three bivalve species: Pacific oyster Crassostrea gigas, Mediterranean mussel Mytilus galloprovincialis and mud cockle Katelysia rhytiphora // Fish Shellfish Immunol. 2019. V. 86. P. 868–874.
- Regoli F., Giuliani M.E. Oxidative pathways of chemical toxicity and oxidative stress biomarkers in marine organisms // Mar. Environ. Res. 2014. V. 93. P. 106–117.
- Regoli F., Nigro M., Orlando E. Lysosomal and antioxidant responses to metals in the Antarctic scallop Adamussium colbecki // Aquat. Toxicol. 1998. V. 40. № 4. P. 375–392.
- Regoli F., Principato G. Glutathione, glutathione-dependent and antioxidant enzymes in mussels, Mytilus galloprovincialis, exposed to metals under field and laboratory conditions: implications for the use of biochemical biomarkers // Aquat. Toxicol. 1995. V. 31. № 2. P. 143–164.
- Regoli F., Principato G., Bertoli E. Biochemical characterization of the antioxidant system in the scallop Adamussium colbecki, a sentinel organism for monitoring the Antarctic environment // Polar. Biol. 1997. V. 17. P. 251–258.
- Revkov N.K., Pirkova A.V., Timofeev V.A. et al. Growth and morphometric characteristics of the scallop Flexopecten glaber (Bivalvia: Pectinidae) rared in cage off the coast of Crimea (Black Sea) // Ruthenica. 2021. V. 31. № 3. P. 127–138.
- Stevens A.M., Gobler C.J. Interactive effects of acidification, hypoxia, and thermal stress on growth, respiration, and survival of four North Atlantic bivalves // Mar. Ecol. Prog. Ser. 2018. V. 604. P. 143–161.
- Tan K., Zhang B., Zhang H. et al. Enzymes and non-enzymatic antioxidants responses to sequential cold stress in polymorphic noble scallop Chlamys nobilis with different total carotenoids content // Fish Shellfish Immunol. 2020. V. 97. P. 617–623.
- Telahigue K., Rabeh I., Chouba L. et al. Assessment of the heavy metal levels and biomarker responses in the smooth scallop Flexopecten glaber from a heavily urbanized Mediterranean lagoon (Bizerte lagoon) // Environ. Monit. Assess. 2022. V. 194. № 6. Art. no. 397.
- Todorova V.R., Panayotova M.D., Bekov R.I., Prodanov B.K. Recovery of Flexopecten glaber (Linnaeus, 1758) (Bivalvia: Pectinidae) in the Bulgarian Black Sea waters: recent distribution, population characteristics and future perspectives for protection and commercial utilisation // Acta Zool. Bulg. 2022. V. 74. № 3. P. 437–444.
- Trevisan R., Mello D.F., Delapedra G. et al. Gills as a glutathione-dependent metabolic barrier in Pacific oysters Crassostrea gigas: absorption, metabolism and excretion of a model electrophile // Aquat. Toxicol. 2016. V. 173. P. 105–119.
- Viarengo A., Canesi L., Mazzucotelli A., Ponzano E. Cu, Zn and Cd content in different tissues of the Antarctic scallop Adamussium colbecki: role of metallothionein in heavy metal homeostasis and detoxication // Mar. Ecol.: Prog. Ser. 1993. V. 95. P. 163–168.
- Viarengo A., Canesi L., Martinez P.G. et al. Pro-oxidant processes and antioxidant defence systems in the tissues of the Antarctic scallop (Adamussium colbecki) compared with the Mediterranean scallop (Pecten jacobaeus) // Comp. Biochem. Physiol. Part B: Biochem. Mol. Biol. 1995. V. 111. № 1. P. 119–126.
- Yang C., Wang L., Jiang Q. et al. The polymorphism in the promoter region of metallothionein 1 is associated with heat tolerance of scallop Argopecten irradians // Gene. 2013. V. 526. № 2. P. 429–436.
- Zhukovskaya A.F., Dovzhenko N.V., Slobodskova V.V., Chelomin V.P. Age-related changes in the anti-radical defense system in the tissues of Yesso scallop Mizuhopecten yessoensis (JAY1857) // IOP Conf. Ser.: Earth Environ. Sci. IOP Publ. 2020. V. 548. № 4. Art. ID 042058.
Supplementary files






