Application of Test Battery for Assessing the Toxicity of Marine Sediments in Vostok Bay (Peter the Great Bay, Sea of Japan)
- Authors: Zhuravel E.V.1, Mazur M.A.2, Abdrakhmanova O.T.1, Tunina M.A.1
-
Affiliations:
- Institute of the World Ocean, Far Eastern Federal University
- Zhirmunsky National Scientific Center of Marine Biology, Far Eastern Branch, Russian Academy of Sciences
- Issue: Vol 50, No 4 (2024)
- Pages: 290-300
- Section: ОРИГИНАЛЬНЫЕ СТАТЬИ
- Accepted: 24.11.2024
- Published: 24.11.2024
- URL: https://journal-vniispk.ru/0134-3475/article/view/271222
- DOI: https://doi.org/10.31857/S0134347524040049
- ID: 271222
Cite item
Full Text
Abstract
This paper presents the results of a toxicity assessment of marine sediments from Vostok Bay based on responses of three testing organisms: the diatom Phaeodactylum tricornutum (Bohlin, 1897), nauplii of the brine shrimp Artemia salina (Linnaeus, 1758), and embryos and larvae of the sand dollar Scaphechinus mirabilis (Agassiz, 1864). The A. salina nauplii survival test has proven to be the least sensitive, showing a weak response in only two samples. The results of the experiments using microalgae cells and sand dollar larvae correlated both with each other and with long-term environmental monitoring data, thus, confirming the high degree of sediment toxicity off the western coast of the bay (Gaydamak and Srednyaya coves).
Full Text
Анализ загрязнения воды и донных осадков является обязательным для оценки экологического состояния морских акваторий. Результаты биотестирования отражают интегральную характеристику загрязнения и позволяют оценить реальную токсичность исследуемых сред, которая проявляется в действии всех накопленных поллютантов и их метаболитов с учетом синергического и антагонистического взаимодействия между ними (Чуйко и др., 2018). Биотестирование в сравнении с физико-химическими методами анализа обладает такими преимуществами как оперативность, простота и доступность производимых манипуляций (Калинкина и др., 2013).
Прибрежные морские зоны испытывают на себе максимальный уровень антропогенного воздействия. Поступающие в акватории токсичные вещества и элементы активно аккумулируются донными отложениями. В результате гидрологических процессов, жизнедеятельности бентосных организмов и антропогенной деятельности загрязненные осадки могут стать источником вторичного загрязнения придонных слоев воды (Prato et al., 2015). Необходимость оценки экологического состояния донных осадков, а также их токсичности, обусловлена длительностью их формирования, низкой скоростью трансформации и устойчивостью к кратковременным колебаниям гидролого-гидрохимических показателей (Журавель и др., 2015; Черкашин и др., 2019; Горбачева, 2020).
Из-за избирательной чувствительности организмов к токсическому воздействию поллютантов ни один из видов не может выступать в качестве универсального тест-объекта (Жмур, 2012). В современных исследованиях зарубежных и отечественных авторов, посвященных анализу токсичности морских донных отложений, основным принципом является использование нескольких тест-объектов (не менее 3-х видов), представленных разными систематическими и трофическими группами (Moreira et al., 2019). Это могут быть различные комбинации бактерий, микроводорослей, ракообразных, личинок двустворчатых моллюсков и морских ежей, икры и мальков рыб (Горбачева, 2020; Davoren et al., 2005; Costa et al., 2016; Picone et al., 2016; Vezzone et al., 2019; Broccoli et al., 2021; Lee et al., 2023). Российское “Руководство по определению методом биотестирования токсичности вод, донных отложений, загрязняющих веществ и буровых растворов” (2002) рекомендует использовать бактерию Photobacterium phosphoreum (Ford, 1927), микроводоросль Phaeodactilum tricornutum (Bohlin, 1897), жаброногого ракообразного Artemia salina (Linnaeus, 1758) и рыбу Poecillia reticulata (Peters, 1859). Видовой и количественный состав тест-организмов в каждом из исследований может различаться, но, чтобы полученные результаты дополняли друг друга, необходимым условием для выбора организмов, помимо разного трофического уровня, является еще и разная чувствительность к токсичным веществам (Manzo et al., 2014).
Диатомовая микроводоросль P. tricornutum применяется как в моновидовом биотестировании морской среды, так и в составе батареи биотестов (Горбачева, 2020; Markina, Aizdaicher, 2014; Stelmakh et al., 2021). Использование P. tricornutum регламентировано международными нормативными документами и российским руководством (Руководство …, 2002; ISO 10253:2016 …, 2016). Личинки (науплиусы) жаброногого ракообразного A. salina являются стандартными тест-организмами (ISO 14669:1999…, 1999), рекомендованными для оценки токсичности морских вод и донных отложений (Goncharuk, Kovalenko, 2019; Rabazanov et al., 2019). Преимуществами этого тест-объекта являются его эвригалинность и простота получения науплиусов. Эмбрионы и личинки морских ежей, благодаря их высокой чувствительности к токсическому воздействию различных поллютантов, применяются в качестве тест-объектов при оценке состояния морских прибрежных акваторий (ASTM …, 2012, ABNT-NBR …, 2012). Биотестирование с использованием плоского морского ежа Scaphechinus mirabilis (Agassiz, 1864) неоднократно проводили для оценки токсичности воды и донных отложений дальневосточных морей России (Журавель, Подгурская, 2014; Мазур, Журавель, 2022; Lukyanova et al., 2017).
Залив Восток (зал. Петра Великого, Японское море) в течение долгого времени являлся эталонной акваторией при оценке уровней загрязнения Амурского и Уссурийского заливов, а также зал. Находка. В настоящее время зал. Восток приравнивают к акваториям, испытывающим среднюю антропогенную нагрузку, что связано с развитием сельскохозяйственной и рекреационной деятельности, а также с активным функционированием промышленных предприятий в западной части залива на побережье бухт Гайдамак (в поселках Южно-Морской и Ливадия) и Восток (пос. Волчанец). В зал. Восток на протяжении нескольких десятилетий ведутся мониторинговые исследования (Галышева, Христофорова, 2007; Барышева и др., 2019; Григорьева и др., 2020, Христофорова и др., 2020, 2023), в том числе и работы по биотестированию. Однако ранее основное внимание уделялось анализу качества воды (Маркина, 2008; Маркина, Айздайчер, 2011; Журавель и др., 2012; Журавель, Подгурская, 2014), и результаты оценки основывались на реакции одного тест-организма.
Цель данной работы – провести экотоксикологический анализ донных осадков зал. Восток, используя батарею биотестов, представленную тремя тест-организмами: диатомовой микроводорослью P. tricornutum, науплиусами жаброногого ракообразного A. salina, а также эмбрионами и личинками плоского морского ежа S. mirabilis; сравнить полученные результаты с данными долговременного экологического мониторинга этой акватории.
МАТЕРИАЛ И МЕТОДИКА
Характеристика района исследований
Отбор проб донных осадков проводили в зал. Восток (зал. Петра Великого, Японское море). Места отбора проб (рис. 1) отличались друг от друга степенью антропогенной нагрузки на прибрежные акватории. Западное побережье зал. Восток (ст. 1–5) испытывает на себе большую антропогенную нагрузку. На побережье бухт Гайдамак и Средняя сосредоточено большое количество рекреационных объектов, расположены крупные активно функционирующие заводы (судоремонтный и рыбоперерабатывающий), пирсы, где ведется прием жидкого топлива для котельной, и круглогодичная стоянка рыболовных судов.
Рис. 1. Карта-схема района отбора проб донных осадков для биотестирования: 1 – мыс Пещурова; 2 – мыс Чайковского; 3 – кут б. Гайдамак; 4 – мыс Пущина; 5 – мыс Пашинникова; 6 – устье р. Волчанка; 7 – мыс у Волчанецкой протоки; 8 – устье р. Литовка; 9 – мыс Елизарова; 10 – мыс Подосенова.
Особенностью кутовой части залива (ст. 6–8) является слабый водообмен с открытыми водами зал. Петра Великого. С начала 2000-х годов экологическая ситуация в данной части залива стала стремительно меняться в связи с увеличением антропогенного воздействия, в особенности в рекреационный период (Христофорова и др., 2020). Летом, в период тайфунов, с водами р. Волчанка происходит интенсивный вынос загрязняющих веществ. Кроме того, через Волчанецкую протоку в воды б. Восток поступают стоки пос. Волчанец.
Хозяйственная деятельность на восточном побережье зал. Восток не столь интенсивна. В районе мысов Елизарова (ст. 9) и Подосенова (ст. 10) организованы стоянки маломерных судов, здесь же расположены крупные рекреационные зоны и законсервированные объекты строительства Восточного нефтехимического комплекса (ВНХК) “Роснефть”. Несмотря на то что строительство ВНХК в настоящий момент приостановлено, периодически проводится активное обсуждение реализации данного проекта на правительственном уровне (О подготовке документации…, 2020). Станции 5–9 расположены на территории Морского заказника краевого значения “Залив Восток”.
Отбор проб и проведение экспериментов
Для проведения биотестирования пробы донных осадков отбирали с глубины 3–5 м легководолазным методом в июле 2020 г. на 10 станциях (рис. 1). Пробы брали с помощью полиэтиленового стакана с крышкой, собирая верхний 5-сантиметровый слой осадков. С каждой станции отбирали по 3 пробы, которые в дальнейшем объединяли. Биотестирование проводили из смешанной пробы. Пробы замораживали и хранили при температуре −28°С. Биотесты с морским ежом Scaphechinus mirabilis проводили на Морской биологической станции “Восток” Национального научного центра морской биологии им. А.В. Жирмунского ДВО РАН через 3 сут после отбора проб, эксперименты с Phaeodactilum tricornutum и Artemia salina – в лабораториях Международной кафедры ЮНЕСКО Института Мирового океана ДВФУ через 14 сут после взятия материала.
Для определения физико-химических показателей пробы донных отложений высушивали до воздушно-сухого состояния, далее растирали в фарфоровой ступке. С помощью ситового метода определяли гранулометрический состав проб (Петелин, 1967). Во фракции осадков с размером частиц менее 0.5 мм методом мокрого сжигания по Тюрину (Потапова и др., 1980) определяли концентрацию органического углерода (Сорг).
Для биотестирования готовили водные экстракты: заливали пробы донных осадков фильтрованной и стерилизованной ультрафиолетом морской водой в соотношении 1: 4 (Руководство …, 2002) и интенсивно перемешивали с помощью мультишейкера Biosan PSU-20i (Латвия) в течение 2 ч. Получившуюся суспензию отстаивали, а затем фильтровали. В качестве контроля использовали профильтрованную через трехфракционный гравийный фильтр и обработанную ультрафиолетом морскую воду из системы аквариальной МБС “Восток”.
Биотестирование вытяжек проводили с использованием лабораторной культуры микроводоросли P. tricornutum, науплиусов жаброногого ракообразного A. salina и личинок плоского морского ежа S. mirabilis. Для биотестирования использовали культуру P. tricornutum, находящуюся в фазе экспоненциального роста. Культивирование осуществляли на питательной среде f в климатостате КС-200 при температуре 20±2°С, освещенности 6000 люкс со сменой дня и ночи 16:8 ч в течение 7 сут. Подсчет клеток микроводоросли проводили через 48, 72, 96 ч (острый опыт) и 7 сут (кратковременный хронический опыт) после начала эксперимента. Численность клеток в каждой пробе выражали в процентах к численности контроля, принимая ее за 100% (Руководство …, 2002). Вытяжку считали нетоксичной, если численность клеток водоросли по отношению к контролю составляла ≥ 90%, слаботоксичной – 65–89%, среднетоксичной – 50–64% и высокотоксичной – 0–49% (Горбачева, 2020).
Для биотеста с A. salina использовали науплиусов в возрасте до 24 ч, полученных из цист. Тестируемые вытяжки с науплиусами содержали в климатостате В4 при температуре 20±2°С. Подсчет выживших личинок проводили через 48 и 72 ч после начала опыта (Руководство …, 2002). Для оценки острой токсичности пробы рассчитывали процент погибших личинок (А, %) по формуле:
где Xt – количество погибших особей в тестируемой воде; Xi – количество исходных особей.
Пробу считали нетоксичной, если к окончанию эксперимента выживаемость личинок A. salina составляла 90–100%, слаботоксичной – 65–89%, среднетоксичной – 64–50% и высокотоксичной – менее 49% (Горбачева, 2020).
Взрослых особей S. mirabilis для эксперимента собирали в б. Средняя, зал. Восток (зал. Петра Великого, Японское море) с глубины 4–4.5 м. Нерест стимулировали введением в перивисцеральную полость 0.2 мл 0.5М раствора KCl. Яйцеклетки получали и подготавливали для эксперимента по стандартной методике (Бузников, Подмарев, 1975). Оплодотворение проводили в чистой морской воде, затем зиготы помещали в тестируемые вытяжки из донных отложений, в них же проходило дальнейшее развитие эмбрионов и личинок (Мазур, Журавель, 2022; Beiras et al., 2003). При подсчете личинок на стадии гаструлы и среднего плутеуса 1 использовали следующие категории: N (normal) – нормально развивающиеся личинки; A – аномально развивающиеся гаструлы; R (retarded) – отстающие в развитии личинки; P1 – уродливые личинки с нарушениями формирования и дифференциации пищеварительной системы или личиночного скелета; P2 – личинки, развитие которых остановилось на ранних стадиях (бластулы, гаструлы). Вытяжки считали нетоксичными при доле нормально развитых личинок 96–100%, слаботоксичными – 71–95%, среднетоксичными – 51–70% и высокотоксичными – менее 50% (Кобаяси и др., 1994).
Каждый из биотестов проводили в трех повторностях. С помощью пакетов программ Microsoft Excel и Statistica Advanced 10 вычисляли среднее арифметическое и стандартное отклонение, достоверность различий между выборками оценивали с помощью однофакторного дисперсионного анализа по критерию Даннетта.
РЕЗУЛЬТАТЫ
При биотестировании с микроводорослью Phaeodactylum tricornutum (рис. 2) спустя 72 ч после начала эксперимента численность клеток во всех образцах осадков, за исключением ст. 3, 7 и 8, была достоверно ниже контрольных значений. В вытяжках из донных осадков из района мыса Пущина (ст. 4) численность клеток составляла 12% от контроля, а вблизи мыса Пашинникова – 37%. Стимулирующее воздействие на рост культуры (107 и 115% от контроля) отмечено в пробах, взятых в районе кута б. Гайдамак (ст. 3) и мыса у Волчанецкой протоки (ст. 7).
Рис. 2. Рост численности культуры Phaeodactylum tricornutum в водных вытяжках из донных осадков зал. Восток (среднее ± стандартное отклонение, n = 3). * Отличие от контроля достоверно при р ≤ 0.05.
Через 96 ч в большей части тестируемых образцов наблюдался заметный прирост численности микроводорослей, до 122–126% от контроля в пробах со ст. 3 и 6. К 7 сут численность клеток в большинстве проб приблизилась к контрольному уровню, а на ст. 2, 3 и 6 превысила его более чем на 20%. Исключением из общей тенденции к росту численности клеток стали пробы со ст. 3 и 4, вытяжки из которых по-прежнему вызывали ярко выраженное ингибирование культуры микроводорослей.
Достоверное снижение выживаемости науплиусов Artemia salina после 72 ч от начала эксперимента (рис. 3) отмечено в вытяжках из донных отложений, взятых у входных мысов (ст. 1, 10), а также из устья р. Волчанка (ст. 6). Пробы с большинства станций для артемий оказались нетоксичными. Меньшее количество выживших личинок, выявленное в образцах со ст. 1 (67%) и ст. 10 (69%) при 100%-й выживаемости в контроле, свидетельствует о слабой токсичности осадков.
Рис. 3. Выживаемость науплиусов Artemia salina в водных вытяжках из донных осадков зал. Восток (среднее ± стандартное отклонение, n = 3). * Отличие от контроля достоверно при р ≤ 0.05.
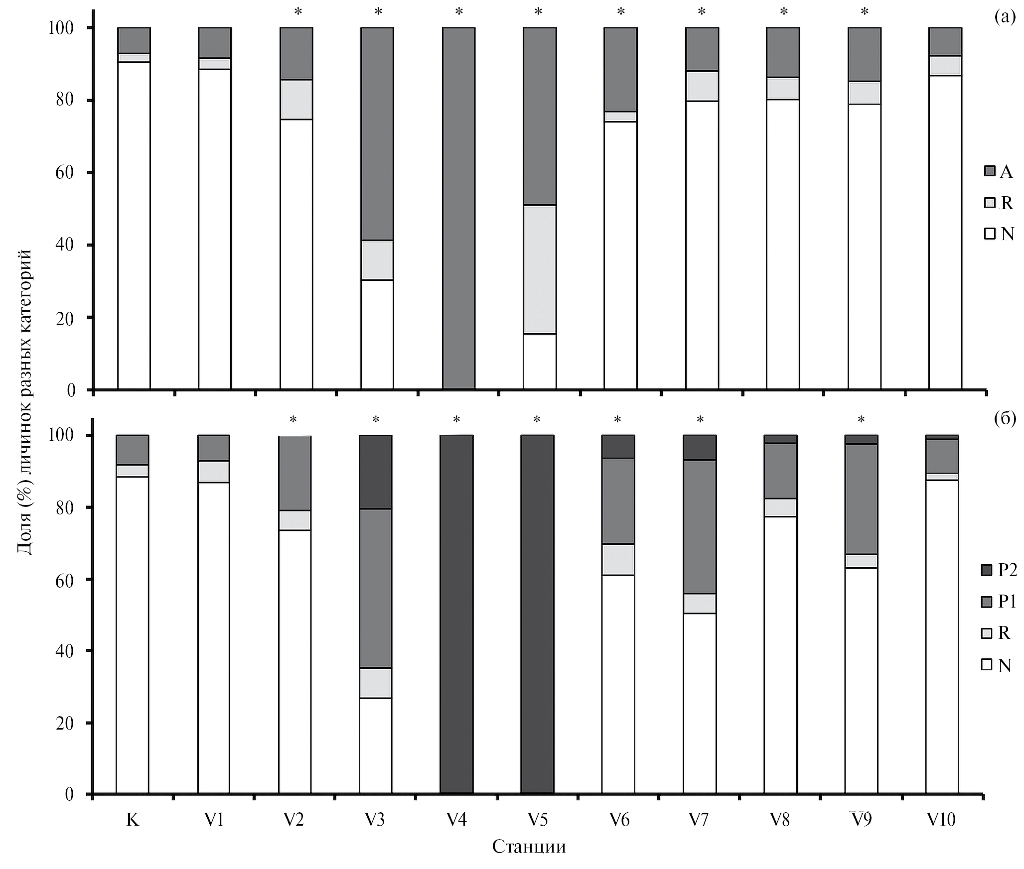
Результаты оценки эмбриотоксического воздействия вытяжек из донных отложений на личинок Scaphechinus mirabilis после 18 ч от начала эксперимента показали достоверные отличия от контрольных значений для всех станций, за исключением расположенных у мысов Пещурова (ст. 1) и Подосенова (ст. 10) (рис. 4). В вытяжках из донных осадков ст. 4 отмечена 100%-я гибель личинок на стадии бластулы. После 48 ч экспозиции процент нормально развитых личинок отличался от контроля на ст. 2–7 и 9. Немаловажным является тот факт, что в вытяжке со ст. 5 ни одна личинка не достигла стадии среднего плутеуса. Высокая доля (65%) личинок с аномалиями развития отмечена в вытяжках донных осадков со ст. 3. На основе классификации степени ингибирования развития эмбрионов и личинок морских ежей донные отложения бухт Гайдамак (ст. 3) и Средняя (ст. 4 и 5) относятся к высокотоксичным, а со станций 6, 7 и 9 – к среднетоксичным.
Рис. 4. Эмбриотоксическое воздействие вытяжек донных осадков на личинок плоского морского ежа Scaphechinus mirabilis: а – через 18 ч экспозиции; б – через 48 ч экспозиции. Условные обозначения: N – нормально развивающиеся личинки; A – гаструлы с аномалиями развития; R – личинки, отстающие в развитии; P1 – уродливые личинки с нарушениями формирования и дифференциации пищеварительной системы или личиночного скелета; P2 – личинки, развитие которых остановилось на стадиях бластулы или гаструлы. * Отличие от контроля достоверно при р ≤ 0.05.
Донные осадки отличаются друг от друга аккумулирующей способностью, которая напрямую зависит от фракционного состава и содержания органического углерода. Высокое содержание Сорг отмечено на ст. 3–6 (табл. 1), расположенных на западном побережье залива. Минимальное содержание органического углерода выявлено на ст. 8 (0.13%), максимальное – на ст. 6 (2.23%).
Таблица 1. Гранулометрический состав и содержание Сорг в донных осадках залива Восток
Станция | Тип грунта | Сорг, % | Доля фракции, ٪ | ||
гравий (> 2 мм) | песок (0.1–2 мм) | ил и глина (< 0.1 мм) | |||
1 | Гравий | 0.45 | 68.60 | 31.28 | 0.13 |
2 | Средний песок | 0.47 | 14.72 | 84.45 | 0.83 |
3 | Мелкий песок | 1.00 | 9.58 | 78.72 | 11.71 |
4 | Средний и мелкий песок | 1.72 | 13.33 | 82.27 | 4.39 |
5 | Гравий | 2.16 | 82.21 | 16.94 | 0.85 |
6 | Ил | 2.23 | 0.00 | 36.82 | 63.18 |
7 | Мелкий песок | 0.19 | 1.48 | 69.18 | 29.34 |
8 | Мелкий и средний песок | 0.13 | 0.17 | 98.55 | 1.28 |
9 | Мелкий и средний песок | 0.18 | 0.00 | 98.88 | 1.12 |
10 | Средний песок и гравий | 0.26 | 44.04 | 54.59 | 1.37 |
Результаты комплексной оценки показали, что наиболее токсичными оказались донные отложения со ст. 4 и 5. При проведении экспериментов с образцами донных осадков с этих участков у двух объектов из батареи биотестов (P. tricornutum и S. mirabilis) выявлены сильная или средняя степени ингибирования роста и развития. Вытяжки из донных отложений остальных станций оказывали среднее или низкое токсическое воздействие на тест-организмы.
ОБСУЖДЕНИЕ
Известно, что использованные в нашем исследовании тест-организмы проявляют разную чувствительность как к стандартным токсикантам (солям меди и цинка), так и к тестируемым пробам донных осадков. Например, летальная концентрация ЛК50(24) ионов цинка для Artemia salina при разной солености составляла 134–209 мг/л (Damasceno et al., 2017), а средняя эффективная концентрация ЭК50(48) Zn2+ для личинок Scaphechinus mirabilis – 67 мкг/л (Мазур и др., 2020). В исследовании донных осадков у побережья Ирландии чувствительность микроводоросли Skeletonema costatum (Cleve, 1873) была выше, чем у A. salina (Davoren et al., 2005; Manzo et al., 2014; Prato et al., 2015).
В нашем исследовании тест на выживание науплиусов A. salina также оказался наименее чувствительным. Лишь в двух пробах личинки артемии проявили слабую реакцию на водные вытяжки осадка. Иные результаты получены в экспериментах с Phaeodactylum tricornutum и S. mirabilis. При наблюдении за ростом численности культуры микроводоросли в течение 72 ч в части проб (ст. 1, 2, 9 и 10) выявлено значительное ингибирование по сравнению с контролем, но к 96 ч эксперимента численность микроводорослей приблизилась к контрольным значениям, и биотесты с микроводорослью и личинками морского ежа продемонстрировали сходные результаты.
Западное побережье зал. Восток подвержено наибольшему антропогенному воздействию, связанному с деятельностью крупных промышленных предприятий и портов. Анализ содержания токсичных веществ и соединений в донных отложениях б. Гайдамак в 2015 г. показал превышение допустимых уровней содержания цинка, свинца, меди и нефтяных углеводородов (НУ). В осадках из б. Средняя также отмечено повышенное содержание НУ (Мазур и др., 2017). Наличие органического загрязнения в данном районе подтверждается высоким содержанием Cорг в донных осадках (табл. 1). Содержание органического углерода в донных отложениях положительно коррелирует с концентрациями нефтяных и полиароматических углеводородов, а также полихлорированных бифенилов (Baran et al., 2021). Кроме того, пробы из бухт Гайдамак и Средняя представляли собой грубодисперсные осадки (табл. 1). Известно, что при экстрагировании углеводороды переходят в водные вытяжки из песчаных или илисто-песчаных грунтов лучше, чем из илистых осадков (Горбачева, 2020).
Высокие уровни загрязняющих веществ – одна из возможных причин, по которой численность культуры микроводоросли не достигла высоких значений в остром эксперименте в водных вытяжках со ст. 1-5. Вероятно, по этой же причине в экстрактах с этих станций отмечено большое количество личинок морских ежей с аномалиями развития.
Известно, что недостатком в определении токсичности сред с помощью микроводорослей является их высокая чувствительность к биогенным элементам, приводящая к стимуляции роста культуры по сравнению с контролем, несмотря на присутствие токсичного вещества (Олькова, 2014). Стимулирование роста культуры P. tricornutum (более 100% от контроля) в вытяжках из донных отложений ст. 3 и ст. 7 может быть связано с активным поступлением биогенных веществ (азота и фосфора) (Христофорова и др., 2023) со стоками поселков Южно-Морской и Волчанец. Стоки р. Волчанка, рыбокомбинат пос. Южно-Морской, а также промзона между мысами Подосенова и Елизарова служат источниками поступления фосфатов (Григорьева и др., 2020). При этом биотестирование с личинками плоского морского ежа показало высокую и среднюю токсичность проб со ст. 3 и 7 соответственно, что свидетельствует о наличии поллютантов в донных осадках.
При проведении биотестирования с личинками A. salina выраженный токсический эффект не отмечен. В большинстве случаев гибель науплиусов не превышала 10%, что соответствует естественной убыли для природной популяции. Вероятнее всего, это связано с более высокой токсикорезистентностью личинок артемии по сравнению с микроводорослями и плутеусами морского ежа (Costa et al., 2016). Вытяжки из донных отложений содержат большое количество биогенных и легкоокисляемых органических веществ, способствующих росту биомассы бактерий, простейших и микроводорослей, которые науплиусы A. salina могут использовать в качестве корма. Полученная в ходе питания энергия может быть потрачена ими на процессы детоксикации поллютантов (Горбачева, Лаптева, 2022).
Таким образом, результаты биотестирования донных отложений зал. Восток с использованием батареи биотестов подтверждают результаты долговременного экологического мониторинга в зал. Восток и свидетельствуют о высоком уровне загрязнения и токсичности осадков у западного побережья, в районе бухт Гайдамак и Средняя. По сравнению с тестированием с помощью одного тест-объекта использование батареи биотестов с целью оценки токсичности морских донных отложений является более предпочтительным методом, так как позволяет предположить реакцию разных компонентов естественных биоценозов на воздействие среды.
ФИНАНСИРОВАНИЕ
Исследование было выполнено при финансовой поддержке ФНТП в области экологического развития Российской Федерации и климатических изменений на 2021–2030 гг. (проект № 123080800009-5).
СОБЛЮДЕНИЕ ЭТИЧЕСКИХ СТАНДАРТОВ
Для выполнения задач данного исследования с участием личинок морского ежа разрешения Комитета по этике Национального научного центра морской биологии им. А.В. Жирмунского (ННЦМБ) ДВО РАН не требовалось.
КОНФЛИКТ ИНТЕРЕСОВ
Авторы заявляют, что у них нет конфликта интересов.
About the authors
E. V. Zhuravel
Institute of the World Ocean, Far Eastern Federal University
Email: proshinamarina94@gmail.com
ORCID iD: 0009-0000-9395-330X
Russian Federation, Vladivostok, 690922
M. A. Mazur
Zhirmunsky National Scientific Center of Marine Biology, Far Eastern Branch, Russian Academy of Sciences
Author for correspondence.
Email: proshinamarina94@gmail.com
ORCID iD: 0000-0003-1959-8500
Russian Federation, Vladivostok, 690041
O. T. Abdrakhmanova
Institute of the World Ocean, Far Eastern Federal University
Email: proshinamarina94@gmail.com
ORCID iD: 0009-0001-7490-5844
Russian Federation, Vladivostok, 690922
M. A. Tunina
Institute of the World Ocean, Far Eastern Federal University
Email: proshinamarina94@gmail.com
Russian Federation, Vladivostok, 690922
References
- Барышева В.С., Чернова Е.Н., Патрушева О.В. Загрязнение морской среды залива Восток Японского моря органическими веществами (2016–2018 гг.) // Вестн. ДВО РАН. 2019. № 2. С. 87–94.
- https://doi.org/10.25808/08697698.2019.204.2.010
- Бузников Г.А., Подмарев В.К. Морские ежи Strongylocentrotus drobachiensis, S. nudus, S. intermedius // Объекты биологии развития. М.: Наука, 1975. С. 188–216.
- Галышева Ю.А., Христофорова Н.К. Среда и макробентос залива Восток Японского моря в условиях рекреационного воздействия // Изв. ТИНРО. 2007. Т. 149. С. 270–309.
- Горбачева Е.А. Экотоксикологические исследования донных отложений центральных и восточных районов Баренцева моря // Вестн. МГТУ. 2020. Т. 23. № 2. С. 122–130.
- https://doi.org/10.21443/1560-9278-2020-23-2-122-130
- Горбачева Е.А., Лаптева А.М. Экологические исследования донных отложений прибрежных районов Кольского п-ова (химический состав и биотестирование) // Экологическая химия. 2022. Т. 31. № 4. С. 197–208.
- Григорьева Н.И., Журавель Е.В., Мазур А.А. Сезонные изменения качества воды в заливе Восток (залив Петра Великого, Японское море) // Водн. ресурсы. 2020. Т. 47. № 2. С. 162–169.
- https://doi.org/10.31857/S0321059620020066
- Жмур Н.С. Применение методов биотестирования в России и мире // Методы оценки соответствия. 2012. № 1. С. 10–14.
- Журавель Е.В., Христофорова Н.К., Дроздовская О.А., Токарчук Т.Н. Оценка состояния вод залива Восток (залив Петра Великого, Японское море) по гидрохимическим и микробиологическим показателям // Изв. Самарского науч. центра РАН. 2012. № 9. С. 2325–2329.
- Журавель Е.В., Черняев А.П., Соколова Л.И. и др. Углеводороды и полихлорированные бифенилы в донных осадках зал. Находка (зал. Петра Великого, Японское море): оценка уровня загрязнения и потенциальной токсичности // Сибирский экол. журн. 2015. Т. 22. № 6. С. 931–940.
- https://doi.org/10.15372/SEJ20150613
- Журавель Е.В., Подгурская О.В. Раннее развитие плоского морского ежа Scaphechinus mirabilis в воде из различных районов залива Петра Великого (Японское море) // Изв. ТИНРО. 2014. Т. 178. С. 206–216.
- Калинкина Н.М., Березина Н.А., Сидорова А.И. и др. Биотестирование токсичности донных отложений крупных водоемов Северо-Запада России с использованием ракообразных // Водн. ресурсы. 2013. Т. 40. № 6. С. 612–622.
- https://doi.org/S0321059613060060
- Кобаяси Н., Найденко Т.Х., Ващенко М.А. Стандартизация биотеста с использованием зародышей морского ежа // Биол. моря. 1994. Т. 20. № 6. С. 457–464.
- Мазур А.А., Журавель Е.В., Слободскова В.В., Мазур М.А. Оценка токсического воздействия ионов цинка и наночастиц оксида цинка на раннее развитие морского ежа Scaphechinus mirabilis (Agassiz, 1864) (Echinodermata: Echinoidea) // Биол. моря. 2020. Т. 46. № 1. С. 53–59.
- https://doi.org/10.31857/S0134347520010064
- Мазур М.А., Журавель Е.В. Оценка токсичности донных осадков из прибрежных районов залива Петра Великого (Японское море) // Сибирский экол. журн. 2022. № 6. С. 762–773.
- https://doi.org/10.15372/SEJ20220612
- Мазур М.А., Журавель Е.В., Ковековдова Л.Т., Черняев А.П. Интегральная экологическая оценка загрязнения донных осадков залива Восток (Японское море) // Дальневосточные моря и их бассейны: биоразнообразие, ресурсы, экологические проблемы: сб. материалов II Всерос. конф. с междунар. участием, приуроченная к Году экологии в России. Владивосток, 3–4 окт. 2017 г. Владивосток: Изд-во ДВФУ, 2017. С. 59–60.
- Маркина Ж.В. Биотестирование воды из залива Петра Великого (Японское море) с помощью микроводоросли Dunaliella salina // Экология. 2008. № 3. С. 196–200.
- Маркина Ж.В., Айздайчер Н.А. Анализ динамики численности клеток и содержания хлорофилла а микроводоросли Phaeodactylum tricornutum для оценки качества вод залива Петра Великого (Японское море) // Мир науки, культуры, образования. 2011. T. 31. № 6. С. 368–390.
- Петелин В.П. Гранулометрический анализ донных осадков. М.: Наука, 1967. 128 с.
- Потапова Л.И., Куприн П.Н., Фролова Л.В. Определение углерода органического вещества в донных осадках // Методы исследования органического вещества в океане. М.: Наука, 1980. С. 50–56.
- О подготовке документации по планировке территории для размещения объекта трубопроводного транспорта федерального значения “Газопровод-отвод и ГРС “ВНХК” Приморского края”: приказ Министерства энергетики РФ от 11 мар. 2020 г. № 178.
- Олькова А.С. Биотестирование в научно-исследовательской и природоохранной практике России // Успехи современной биологии. 2014. Т. 134. № 6. С. 614–622.
- Руководство по определению методом биотестирования токсичности вод, донных отложений, загрязняющих веществ и буровых растворов. М.: РЭФИА, НИА-Природа, 2002. 118 с.
- Христофорова Н.К., Бойченко Т.В., Кобзарь А.Д. Гидрохимическая и микробиологическая оценка современного состояния вод залива Восток // Вестн. ДВО РАН. 2020. № 2. С. 64–72.
- Христофорова Н.К., Лазарюк А.Ю., Журавель Е.В. и др. Залив Восток: межсезонные изменения гидролого-гидрохимических и микробиологических показателей // Изв. ТИНРО. 2023. Т. 203. № 4. С. 906–924.
- https://doi.org/10.26428/1606-9919-2023-203-906-924
- Черкашин С.А., Симоконь М.В., Пряжевская Т.С. Анализ экотоксикологического состояния Амурского залива (Японское море) на основе химических и токсикологических показателей // Водн. ресурсы. 2019. Т. 46. № 3. C. 308–317.
- https://doi.org/10.31857/S0321-0596463308-317
- Чуйко Г.М., Томилина И.И., Холмогорова Н.В. Комплексная оценка биоэкологических и химических систем. Ярославль: Изд-во Ярославского гос. ун-та им. П.Г. Демидова, 2018. 139 с.
- ABNT-NBR 15350: Ecotoxicologia Aquática – Toxicida Decrônica de Curtaduração – Método de Ensaio com Ouriço-do-Mar (Echinodermata: Echinoidea). São Paulo, Brasil: Associação Brasileira de Normas Técnicas, 2012.
- ASTM E1563-98: Standard Guide for Conducting Static Acute Toxicity Tests with Echinoid Embryos. West Conshohocken, PA: ASTM Int., 2012.
- Baran A., Klimkowicz-Pawlas A., Ukalska-Jaruga A. et al. I. Distribution of polycyclic aromatic hydrocarbons (PAHs) in the bottom sediments of a dam reservoir, their interaction with organic matter and risk to benthic fauna // J. Soils Sediments. 2021. V. 21. P. 2418–2431.
- https://doi.org/10.1007/s11368-021-02968-1
- Beiras R., Bellas J., Fernandez N. et al. Assessment of coastal marine pollution in Galicia (NW Iberian Peninsula); metal concentrations in seawater, sediments and mussels (Mytilus galloprovincialis) versus embryo-larval bioassays using Paracentrotus lividus and Ciona intestinalis // Mar. Environ. Res. 2003. V. 56. № 4. P. 531–553.
- https://doi.org/10.1016/S0141-1136(03)00042-4
- Broccoli A., Morroni L., Valentini A. et al. Comparison of different ecotoxicological batteries with WOE approach for the environmental quality evaluation of harbour sediments // Aquat. Toxicol. 2021. V. 237. Art. ID 105905.
- https://doi.org/10.1016/j.aquatox.2021.105905
- Costa E., Piazza V., Gambardella C. et al. Ecotoxicological effects of sediments from Mar Piccolo, South Italy: toxicity testing with organisms from different trophic levels // Environ. Sci. Pollut. Res. 2016. V. 23. P. 12755–12769. https://doi.org/10.1007/s11356-015-5471-x
- Damasceno E.P., de Figuerêdo L.P., Pimentel M.F. et al. Prediction of toxicity of zinc and nickel mixtures to Artemia sp. at various salinities: From additivity to antagonism // Ecotoxicol. Environ. Saf. 2017. V. 142. P. 322–329.
- https://doi.org/10.1016/j.ecoenv.2017.04.020
- Davoren M., Ní Shúilleabháin S., OʼHalloran J. et al. A test battery approach for the ecotoxicological evaluation of estuarine sediments // Ecotoxicology. 2005. V. 14. № 7. P. 741–755. https://doi.org/10.1007/s10646-005-0022-8
- Goncharuk V.V., Kovalenko V.F. Characteristics of Sea Water Self-Purification Processes in the Black Sea Based on the Results of Biotesting // J. Water Chem. Technol. 2019. V. 41. № 6. P. 391–395.
- https://doi.org/0.3103/S1063455X19060080
- ISO 10253:2016: Water Quality – Marine Algal Growth Inhibition Test with Skeletonema sp. and Phaeodactylum tricornutum. ISO/TC 147/SC 5 Biological methods. 2016.
- ISO 14669:1999: Water quality – Determination of Acute Lethal Toxicity to Marine Copepods (Copepoda, Crustacea), ISO/TC 147/SC 5 Biological methods. 1999.
- Lee J., Hong S., An S.-A., Khim J.S. Methodological advances and future directions of microalgal bioassays for evaluation of potential toxicity in environmental samples: A review // Environ. Int. 2023. V. 173. Art. ID 107869. https://doi.org/10.1016/j.envint.2023.107869
- Lukyanova O.N., Zhuravel E.V., Chulchekov D.N., Mazur A.A. Sea Urchin Embryogenesis as Bioindicators of Marine Pollution in Impact Areas of the Sea of Japan/East Sea and the Sea of Okhotsk // Arch. Environ. Contam. Toxicol. 2017. V. 73. № 2. P. 322–333.
- https://doi.org/10.1007/s00244-017-0388-7
- Manzo S., Schiavo S., Aleksi P. et al. Application of a toxicity test battery integrated index for a first screening of the ecotoxicological threat posed by ports and harbors in the southern Adriatic Sea (Italy) // Environ. Monit. Assess. 2014. V. 186. № 11. P. 7127–7139. https://doi.org/10.1007/s10661-014-3915-2
- Markina Zh.V., Aizdaicher N.A. Quality assessment of Nakhodka Bay (the Sea of Japan, Russia) water using the microalgae Phaeodactylum tricornutum Bohlin (Bacillariophyta) // Int. J. Algae. 2014. V. 16. № 4. P. 345–353. https://doi.org/10.1615/InterJAlgae.v16.i4.40
- Moreira L.B., Saes R.V.S.T., Peres T.F. et al. Toxicity of sediments and dredged material from a semi-arid coastal system to marine invertebrates // Ecotoxicol. Environ. Contam. 2019. V. 14. № 1. P. 79–89.
- https://doi.org/10.5132/eec.2019.01.10
- Picone M., Bergamin M., Losso C. et al. Assessment of sediment toxicity in the Lagoon of Venice (Italy) using a multi-species set of bioassays // Ecotoxicol. Environ. Saf. 2016. V. 123. P. 32–44.
- https://doi.org/10.1016/j.ecoenv.2015.09.002
- Prato E., Parlapiano I., Biandolino F. Ecotoxicological evaluation of sediments by battery bioassays: application and comparison of two integrated classification systems // Chem. Ecol. 2015. V. 31. № 7. P. 661–678. https://doi.org/10.1080/02757540.2015.1069278
- Rabazanov N.I., Sokol’skii A.F., Evseeva S.S., Rabazanov R.N. Integral Diagnostics of Sea Water Quality with the Use of Phyto- and Zooplankton // Arid Ecosyst. 2019. V. 9. № 3. P. 209–213.
- https://doi.org/10.1134/S2079096119030090
- Stelmakh L., Kovrigina N., Gorbunova T. Response of marine microalgae Phaeodactylum tricornutum, Prorocentrum cordatum and Gyrodinium fissumto complex pollution of Sevastopol bays (Black Sea) // Ecol. Montenegrina. 2021. V. 48. P. 109–116.
- Vezzone M., Cesar R., Abessa D.M.D.S. et al. Metal pollution in surface sediments from Rodrigo de Freitas Lagoon (Rio de Janeiro, Brazil): Toxic effects on marine organisms // Environ. Pollut. 2019. V. 252. P. 270–280.
- https://doi.org/10.1016/j.envpol.2019.05.094
Supplementary files






