Динамика численности клеток, интенсивность флуоресценции хлорофилла а и содержание фотосинтетических пигментов у Thalassiosira nordenskioeldii Cleve 1873 (Bacillariophyta) при загрязнении среды медью
- Авторы: Маркина Ж.В.1, Подоба А.В.1, Орлова Т.Ю.1
-
Учреждения:
- Национальный научный центр морской биологии им. А.В. Жирмунского (ННЦМБ) ДВО РАН
- Выпуск: Том 50, № 4 (2024)
- Страницы: 320-324
- Раздел: КРАТКИЕ СООБЩЕНИЯ
- Статья одобрена: 24.11.2024
- Статья опубликована: 24.11.2024
- URL: https://journal-vniispk.ru/0134-3475/article/view/271250
- DOI: https://doi.org/10.31857/S0134347524040071
- ID: 271250
Цитировать
Полный текст
Аннотация
Изучено влияние меди в концентрациях 10, 20 и 50 мкг/л на рост популяции, флуоресценцию хлорофилла а и содержание фотосинтетических пигментов (хлорофилла а и каротиноидов) диатомовой водоросли Thalassiosira nordenskioeldii. Показано, что при концентрации металла 10 и 20 мкг/л численность клеток увеличивалась с первых дней опыта и к его завершению превышала таковую в контроле в 5.8 и 5.6 раза соответственно. Интенсивность флуоресценции хлорофилла а и содержание фотосинтетических пигментов при данных условиях были выше контрольных на всем протяжении опыта. При концентрации металла 50 мкг/л рост популяции клеток ингибировался в начале опыта, но к его завершению количество клеток превышало контрольное. Такая же тенденция отмечена и для других показателей. На основании полученных данных высказано предположение, что медь в изученных концентрациях может способствовать массовому развитию T. nordenskioeldii в природной среде.
Полный текст
Диатомовая водоросль Thalassiosira nordenskioeldii Cleve 1873 (Bacillariophyta) – доминирующий вид фитопланктона Японского моря. Его численность может достигать 400 кл./мл (Шевченко и др., 2020), составляя до 90% от общей численности фитопланктона в зимний период. В летнее время этот вид также может быть в числе субдоминирующих планктонных микроводорослей (Стоник, 2018; Шевченко и др., 2020). Массовое развитие T. nordenskioeldii отмечено и в других районах Мирового океана: в Белом (Ильяш и др., 2014), Южно-Китайском (Liu et al., 2021), Шотландском (Harris et al., 1995) и Северном (Muylaert, Sabbe, 1996) морях.
Известно, что T. nordenskioeldii массово развивается в водах, обогащенных нитратами (Ильяш и др., 2014). Снижение концентрации нитратов может быть результатом активного потребления этих соединений водорослями данного вида (Шевченко и др., 2020). Медь, относящаяся к жизненно необходимым для растения элементам, также оказывает стимулирующий эффект на рост популяций разных представителей микроводорослей (Miazek et al., 2015; Cavalletti et al., 2022; Maltsev et al., 2023). Этот металл содержится в прибрежных водах всех морей России и считается одним из основных загрязняющих элементов (Коршенко, 2021).
Для выяснения действия экологических факторов на микроводоросли традиционно изучают динамику численности клеток – интегральный показатель, отражающий происходящие в организмах микроводорослей процессы. Кроме того, эффект действия тяжелых металлов на микроводоросли часто определяется по изменению содержания фотосинтетических пигментов и интенсивности флуоресценции хлорофилла а (Miazek et al., 2015; Cavalletti et al., 2022).
Цель настоящей работы заключалась в оценке влияния меди на рост популяции, количество клеток в колониях, интенсивность флуоресценции хлорофилла а и содержание фотосинтетических пигментов у Thalassiosira nordenskioeldii.
Материал и методика. Объектом исследования служила клоновая культура диатомовой водоросли Thalassiosira nordenskioeldii (Bacillariophyta) из коллекции Морского биобанка ННЦМБ ДВО РАН – клон MBRU_Tnor22 (Коллекция живых микроорганизмов). Водоросль выращивали на среде f/2 (Guillard, Ryther, 1962), приготовленной на основе фильтрованной и стерилизованной морской воды соленостью 32‰, без добавления меди, в 250 мл колбах Эрленмейера с объемом культуральной среды 200 мл, при температуре 16±2°С, интенсивности освещения 2500 лк в области видимого света и свето-темновым периодом 14 ч свет : 10 ч темнота. В качестве инокулята использовали культуры на экспоненциальной стадии роста. Начальная концентрация клеток составляла 500 кл./мл.
Медь добавляли в виде CuSO4×5H2O в день постановки эксперимента, концентрации указаны в пересчете на ионы меди. Исследуемые концентрации составляли 10, 20 и 50 мкг/л. Выбор концентраций основан на содержании этого металла в прибрежных водах России. Предельно допустимая концентрация (ПДК) для меди составляет 5 мкг/л (Коршенко, 2021). Суспензию водоросли вводили в эксперимент без предварительной адаптации культуры к меди.
Продолжительность экспериментов составляла 14 сут. Пробы для подсчета численности клеток, количества клеток в цепочках и определения флуоресценции хлорофилла а отбирали на 0, 4, 7, 11 и 14 сут опыта, для определения содержания хлорофилла а и каротиноидов – на 0, 7 и 14 сут опыта. Подсчет численности клеток и количества клеток в цепочках проводили в камере Седвика-Рафтера. Интенсивность флуоресценции хлорофилла а регистрировали в 96-луночном планшете на мультимодальном планшетном ридере Spark 10 TM (Tecan, Швейцария) при длине волны 685 нм, длина волны возбуждения составляла 490 нм. Содержание хлорофилла а и каротиноидов определяли стандартным методом экстракции из клеток ацетоном с последующим измерением на мультимодальном планшетном ридере Spark 10 TM. Расчет концентрации пигментов проводили по известным формулам (Jeffrey, Humphrey, 1975).
Эксперименты проводили в трех биологических повторностях, данные выражали в процентах к контролю. За контроль (100%) принимали показатели, полученные на культуре без добавления меди. Статистическую обработку выполняли с помощью программы Excel.
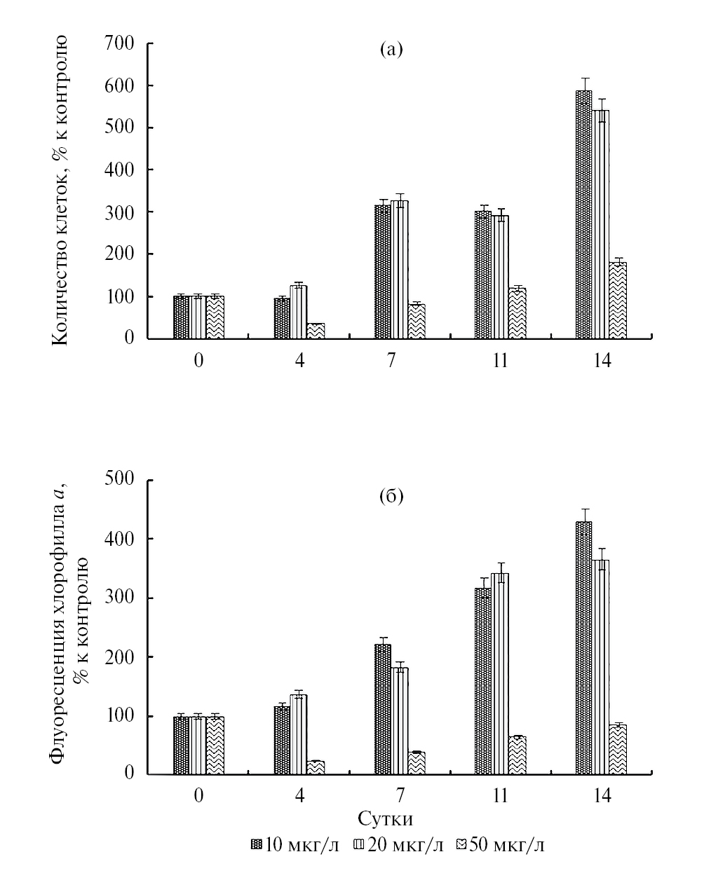
Результаты и обсуждение. При концентрации меди 10 мкг/л численность клеток Thalassiosira nordenskioeldii на 4-е сутки опыта не отличалась от таковой в контроле (рис. 1а). На 7-е и 11-е сутки этот показатель превышал контроль соответственно в 3.1 и 3.0 раза, а на 14-е – в 5.8 раза. При внесении 20 мкг/л металла количество клеток уже на 4-е сутки превышало контрольное и впоследствии не отличалось от такового при 10 мкг/л. Увеличение концентрации меди до 50 мкг/л приводило к угнетению роста популяции микроводоросли на 4-е сутки. Впоследствии число клеток увеличивалось и на 11-е сутки соответствовало контрольному, однако было существенно меньше, чем при концентрациях меди 10 и 20 мкг/л.
Рис. 1. Влияние разных концентраций меди на численность клеток микроводоросли Thalassiosira nordenskioeldii (а) и флуоресценцию хлорофилла а в них (б).
В культуре T. nordenskioeldii преобладали одиночные клетки, доля которых возрастала к концу опыта как в контроле, так и при добавлении меди (табл. 1). Доля собранных в цепочки клеток, напротив, снижалась. При концентрации меди 50 мкг/л доля одиночных клеток на 14-е сутки была выше, чем в контроле и в остальных вариантах опыта.
Таблица 1. Доля (%) клеток Thalassiosira nordenskioeldii в цепочках в контроле и при воздействии разных концентраций меди
Сутки | Контроль | Концентрация меди, мкг/л | ||||||||||
10 | 20 | 50 | ||||||||||
1 | 2 | 3 | 1 | 2 | 3 | 1 | 2 | 3 | 1 | 2 | 3 | |
0 | 60.0 | 23.6 | 16.4 | 60.0 | 23.6 | 16.4 | 60.0 | 23.6 | 16.4 | 60.0 | 23.6 | 16.4 |
4 | 74.4 | 16.8 | 8.8 | 55.4 | 30.2 | 14.4 | 62.6 | 27.0 | 10.4 | 69.4 | 23.4 | 7.2 |
7 | 80.9 | 8.3 | 10.8 | 75.0 | 20.6 | 4.4 | 85.4 | 12.3 | 2.3 | 80.6 | 14.8 | 4.6 |
11 | 90.6 | 7.9 | 1.4 | 90.6 | 7.9 | 1.5 | 92.7 | 6.4 | 0.8 | 87.8 | 9.6 | 2.6 |
14 | 92.4 | 6.9 | 0.7 | 92.4 | 7.0 | 0.6 | 89.4 | 10.0 | 0.6 | 80.3 | 15.8 | 3.9 |
Примечание. 1 – одиночные клетки, 2 – цепочки из 2-х клеток, 3 – более длинные цепочки.
В присутствии 10 и 20 мкг/л меди флуоресценция хлорофилла а была существенно выше контрольной на всем протяжении опыта (рис. 1б). Медь в концентрации 50 мкг/л на 4-е сутки вызывала снижение этого показателя; в дальнейшем он увеличивался, но не достигал контрольного значения.
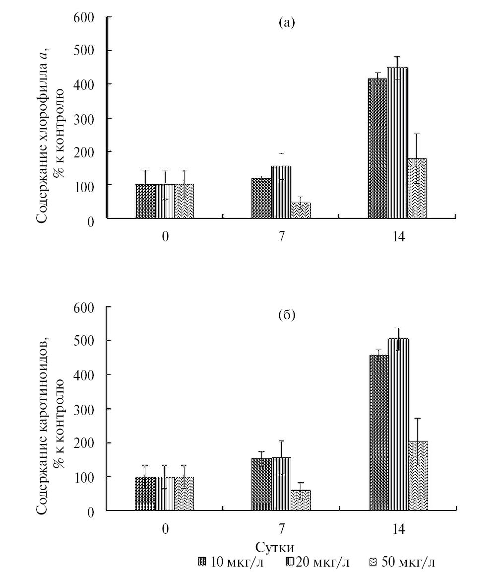
Содержание хлорофилла а и каротиноидов превышало контрольное при добавлении 10 и 20 мкг/л меди, особенно на 14-е сутки опыта (рис. 2). Наличие в среде 50 мкг/л вещества приводило к снижению содержания пигментов на 7-е сутки, а на 14-е превышало контрольное в два раза.
Рис. 2. Изменение содержания фотосинтетических пигментов хлорофилла а (а) и каротиноидов (б) в клетках Thalassiosira nordenskioeldii под воздействием меди.
Проведенный опыт подтвердил выраженный стимулирующий эффект меди, как на рост популяции T. nordenskioeldii, так и на работу фотосинтетического аппарата, особенно при концентрациях 10 и 20 мкг/л. Увеличение численности клеток, накопление в клетках фотосинтетических пигментов и увеличение флуоресценции хлорофилла а под воздействием меди ранее было отмечено у Thallasiosira pseudonana (Wang et al., 2021). У рафидофитовой водоросли Heterosigma akashiwo, содержавшейся в среде с добавлением 10 мкг/л меди, наблюдался более интенсивный рост чем в контроле, а при 20 и 50 мкг/л происходило его ингибирование (Маркина, 2021).
Необходимо отметить, что флуоресценция хлорофилла а на клетку водоросли была ниже при воздействии всех концентраций меди, за исключением концентрации 10 и 20 мкг/л вещества на 4-е сутки опыта (табл. 2). Такое явление свидетельствует о токсическом воздействии металла. Например, при внесении 35.5 мкг/л металла квантовый выход флуоресценции хлорофилла а у Thalassiosira weisfloggi снижался на фоне ингибирования роста клеток и содержания хлорофилла а, не отличавшегося от контрольного (Акимов и др., 2023).
Таблица 2. Динамика интенсивности флуоресценции (относительные единицы) на клетку Thallasiosira nordenskioeldii в контроле и при воздействии разных концентраций меди (мкг/л)
Сутки | Контроль | 10 | 20 | 50 |
0 | 0.70±0.11 | 0.70±0.11 | 0.70±0.11 | 0.70±0.11 |
4 | 0.72±0.11 | 0.88±0.20 | 0.78±0.21 | 0.50±0.14 |
7 | 0.99±0.17 | 0.70±0.18 | 0.56±0.10 | 0.47±0.07 |
11 | 0.56±0.12 | 0.48±0.06 | 0.51±0.13 | 0.31±0.05 |
14 | 0.85±0.16 | 0.40±0.04 | 0.28±0.06 | 0.40±0.06 |
В целом, медь в изученных концентрациях оказывала на диатомовые водоросли ингибирующий эффект чаще, чем стимулирующий (Miazek et al., 2015; Cavalletti et al., 2022). По-видимому, у T. nordenskioeldii существуют способы детоксикации меди и использования ее для роста. Например, у диатомеи Skeletonema costatum отмечено депонирование этого металла в вакуолях (Cavalletti et al., 2022). У разных представителей рода Thalassiosira в среде, загрязненной медью, зарегистрирован более интенсивный синтез белков и полисахаридов, предназначенных для связывания с металлами и последующей экскреции их из клетки (Miazek et al., 2015). Еще одним механизмом детоксикации тяжелых металлов является усиление синтеза фитохелатинов в токсической среде, как это отмечалось у T. nordenskioeldii в присутствии кадмия (Wang, Wang, 2008).
Таким образом, в изученных концентрациях медь оказывала выраженный стимулирующий эффект как на рост популяции T. nordenskioeldii, так и на синтез фотосинтетических пигментов и флуоресценцию хлорофилла а. В загрязненной медью среде при подавлении роста сопутствующих видов фитопланктонного сообщества T. nordenskioeldii может получить конкурентное преимущество и достичь более высокой концентрации. Следовательно, медь может способствовать “цветению” этой микроводоросли.
БЛАГОДАРНОСТИ
Авторы благодарны ресурсному центру “Морской биобанк” ННЦМБ ДВО РАН (http://marbank.dvo.ru) за предоставленную культуру Thalassiosira nordenskioeldii и возможность пользоваться мультимодальным планшетным ридером Spark 10 TM.
ФИНАНСИРОВАНИЕ РАБОТЫ
Работа выполнена при финансовой поддержке гранта Российского научного фонда (проект № 21-74-30004).
СОБЛЮДЕНИЕ ЭТИЧЕСКИХ СТАНДАРТОВ
В данной работе отсутствуют эксперименты с людьми или животными.
КОНФЛИКТ ИНТЕРЕСОВ
Авторы заявляют, что у них нет конфликта интересов.
Об авторах
Ж. В. Маркина
Национальный научный центр морской биологии им. А.В. Жирмунского (ННЦМБ) ДВО РАН
Автор, ответственный за переписку.
Email: zhannav@mail.ru
ORCID iD: 0000-0001-7135-1375
Россия, Владивосток, 690041
А. В. Подоба
Национальный научный центр морской биологии им. А.В. Жирмунского (ННЦМБ) ДВО РАН
Email: zhannav@mail.ru
ORCID iD: 0009-0007-4783-3471
Россия, Владивосток, 690041
Т. Ю. Орлова
Национальный научный центр морской биологии им. А.В. Жирмунского (ННЦМБ) ДВО РАН
Email: zhannav@mail.ru
ORCID iD: 0000-0002-5246-6967
Россия, Владивосток, 690041
Список литературы
- Акимов А.И., Соломонова Е.С., Шоман Н.Ю., Рылькова О.А. Сравнительная оценка влияния наночастиц оксида меди и сульфата меди на структурно-функциональные характеристики Thalassiosira weissflogii в условиях накопительного культивирования // Физиол. раст. 2023. T. 70. № 5. С. 494–505.
- Ильяш Л.В., Радченко И.Г., Шевченко В.П. и др. Контрастные сообщества летнего фитопланктона в стратифицированных и перемешанных водах Белого моря // Океанология. 2014. Т. 54. № 6. С. 781–781.
- Коршенко А.Н. Качество морских вод по гидрохимическим показателям. Ежегодник 2020. М.: Наука, 2021. 281 с.
- Маркина Ж.В. Ультраструктура и автотрофная функция клеток рафидофитовой микроводоросли Heterosigma akashiwo (Y. Hada) Y. Hada ex Y. Hara and M. Chihara, 1987 в загрязненной медью среде // Биол. моря. 2021. Т. 47. № 3. С. 196–201.
- Стоник И.В. Качественный и количественный состав фитопланктона бухты Золотой Рог Японского моря // Изв. ТИНРО. 2018. Т. 194. С. 167–174.
- Шевченко О.Г., Шульгина М.А., Шулькин В.М., Тевс К.О. Многолетняя динамика и морфология диатомовой водоросли Thalassiosira nordenskioeldii Cleve, 1873 (Bacillariophyta) в прибрежных водах залива Петра Великого Японского моря // Биол. моря. 2020. Т. 46. № 4. С. 277–284.
- Cavalletti E., Romano G., Palma Esposito F. et al. Copper effect on microalgae: toxicity and bioremediation strategies // Toxics. 2022. V. 10. № 9. P. 527.
- https://doi.org/10.3390/toxics10090527
- Guillard R.R.L., Ryther J.H. Studies of marine planktonic diatoms. 1. Cyclotella nana Hustedt and Detonula confervacea (Cleve) Gran. // Can. J. Microbiol. 1962. V. 8. № 2. P. 229–239.
- Harris A.S.D., Medlin L.K., Lewis J. et al. Thalassiosira species (Bacillariophyceae) from a Scottish sea-loch // Eur. J. Phycol. 1995. V. 30. № 2. P. 117–131.
- Jeffrey S.T., Humphrey G.F. New spectrophotometric equations for determining chlorophylls a, b, c1 and c2 in higher plants, algae and natural phytoplankton // Biochemie und Physiologie der Pflanzen. 1975. V. 167. № 2. Р. 191–194.
- Liu K., Liu S., Chen Y. et al. Complete mitochondrial genome of the harmful algal bloom species Thalassiosira nordenskioeldii (Mediophyceae, Bacillariophyta) from the East China Sea // Mitochondrial DNA. Part B. 2021. V. 6. № 4. P. 1421–1423.
- Muylaert K., Sabbe K. The diatom genus Thalassiosira (Bacillariophyta) in the estuaries of the Schelde (Belgium/The Netherlands) and the Elbe (Germany) // Bot. Mar. 1996. V. 39. № 1-6. P. 103–116.
- Maltsev Y., Maltseva S., Kulikovskiy M. Toxic effect of copper on soil microalgae: experimental data and critical review // Int. J. Environ. Sci. Technol. 2023. V. 20. P. 10903–10920.
- Miazek K., Iwanek W., Remacle C. et al. Effect of metals, metalloids and metallic nanoparticles on microalgae growth and industrial products biosynthesis: a review // Int. J. Mol. Sci. 2015. V. 16. № 10. P. 23929–23969.
- Wang X., Cao W., Du H. et al. Increasing temperature alters the effects of extracellular copper on Thalassiosira pseudonana physiology and transcription // J. Mar. Sci. Eng. 2021. V. 9. № 8. art. ID 816.
- https://doi.org/10.3390/jmse9080816
- Wang M.J., Wang W.X. Temperature-dependent sensitivity of a marine diatom to cadmium stress explained by subcellular distribution and thiol synthesis // Environ. Sci. Technol. 2008. V. 42. № 22. P. 8603–8608.
Дополнительные файлы





