Planning of Shutdown Repairs at Chemical Industry Enterprises
- Authors: Egorov S.Y.1, Nemtinov V.A.1, Avtsinov I.A.1
-
Affiliations:
- Voronezh State University of Engineering Technologies
- Issue: Vol 30, No 4 (2024)
- Pages: 558-572
- Section: Automation. Information Technology. Control. Instruments
- URL: https://journal-vniispk.ru/0136-5835/article/view/278140
- ID: 278140
Cite item
Full Text
Abstract
The peculiarities of chemical industry enterprises influencing the organization and carrying out of repair of technological equipment are considered. Special attention is paid to the repairs, the fulfillment of which relates to partial or full stoppage of production, and to the planning of shutdown repairs. Seven types of repairs corresponding to the term “shutdown repair” are singled out. Three main stages of planning are presented: the formation of the production task for repair; the development of the repair network model and the development of the repair logistics system. The description of the problem statement of calendar planning of shutdown repairs and its solution is given. Due to the complexity of the direct solution of the problem, an iterative approach is proposed, in which the solution of the main problem is replaced by solving a number of simpler problems of independent importance. The obtained results are realized in the development of the system of scheduling of shutdown repairs. The application of the system is possible for any types of productions related to stop repairs, which is confirmed by the calculation example.
Keywords
Full Text
Введение
Особенность химических производств – широкий ассортимент получаемой продукции, включающий сотни наименований. Технологические процессы, применяемые на химических производствах, состоят из чисто химических процессов (восстановления, окисления, нитрования и др.), физико-химических (выпаривания, кристаллизации, сушки и др.), термохимических и электрохимических. Отдельные технологические процессы и производственный процесс в целом на химических производствах отличаются большой сложностью. Это обусловлено тем, что они протекают при повышенном или пониженном давлении, высоких или низких температурах. Около 85 % химических производств основываются на применении катализаторов или инициаторов. Технологическое оборудование и машины, в которых осуществляются данные процессы, представляют собой, в основном, специализированные сосуды и аппараты, работающие как в непрерывных, так и периодических режимах. Сложные условия проведения технологических процессов и высокие требования к качеству выпускаемых продуктов требуют безупречной работы оборудования, что в свою очередь невозможно без его своевременного ремонта.
Под понятием «ремонт» понимается комплекс работ для поддержания и восстановления работоспособности оборудования. В настоящее время существует несколько подходов к ремонту оборудования на промышленных объектах. Наиболее часто используется система планово-предупредительных ремонтов (ППР) [1 – 5], предусматривающая два метода ремонта: планово-периодический – для основного оборудования, и послеосмотровой (по текущему состоянию) – для вспомогательного оборудования. В работе [5] дан обзор систем технического обслуживания и ремонта (ТОРО) и их интеграции в системы управления основными фондами предприятия.
Некоторые предприятия отказались от системы ППР, так как считают неверным использование устаревших нормативов и нерациональным с точки зрения затрат на ремонт. Оборудование на таких производствах ремонтируется по его текущему состоянию. В этом случае план ремонта основан как на текущем состоянии оборудования, так и на его реальной эксплуатационной нагрузке [6 – 9]. Подробная информация о состоянии оборудования позволяет определить наиболее оптимальный момент для ремонта и предупреждает о возможных проблемах. Так, в работе [9] рассматривается инновационная концепция ремонта оборудования по техническому состоянию, основанная на использовании интегрированных систем диагностики и планировании ремонтов оборудования на химических предприятиях, обеспечивающих непрерывный мониторинг за его состоянием. Такой подход позволяет значительно увеличить эффективность использования ресурсов и снизить затраты на ремонт оборудования.
Заслуживает внимания подход к ремонту на основе использования предиктивного обслуживания оборудования [10 – 12], который заключается в том, что на оборудование устанавливаются датчики (вибрации, температуры, давления), которые постоянно снимают информацию и передают ее на обработку, что позволяет по незначительным изменениям контролируемых параметров предсказать время выхода оборудования из строя.
Указанные подходы частично решают задачу поддержания оборудования в работоспособном состоянии, но они не дают ответа на вопросы организации и проведения ремонтов более высокого уровня, затрагивающих интересы оптимального функционирования как отдельных схем, так и в целом всего производства, цеха, завода. Как правило, такие ремонты связаны с полным прекращением работы объекта или системы и получили название «остановочный ремонт» [13]. Это, прежде всего, предприятия химической и пищевой промышленности, выпуск продукции на которых ведется по непрерывной технологии. Объекты нефтедобывающей и газовой промышленности, городские системы снабжения теплом, газом, водой. Цель работы – рассмотрение вопросов, связанных с организацией планирования и проведения остановочных ремонтов.
Классификация основных типов остановочных ремонтов производств
Рис. 1. Ремонты, выполнение которых связано с частичной или полной остановкой производства
При анализе различных ремонтных работ на таких производственных объектах можно выделить несколько основных видов, которые останавливают производство (рис. 1):
Планирование ремонтов
Каждый из приведенных видов ремонтных работ решает свои задачи, требует различной продолжительности выполнения и использования разных ресурсов. Однако все перечисленные выше типы ремонтов объединяет тот факт, что то или иное производство прекращает в течение определенного периода времени выпускать продукцию, что ведет к прямым потерям от ее недовыпуска. Поэтому уменьшение периодов простоя производств во время проведения остановочных ремонтов, а также эффективное использование этих периодов для восстановления ресурса работы оборудования является одной из актуальных задач на производстве.
Основная задача работы – создать гибкий и удобный инструмент для планирования остановочных ремонтов производственных объектов.
Под «планированием остановочных ремонтов» будем понимать построение полного календарного плана всех работ остановочного ремонта.
В целом планирование остановочных ремонтов для всех перечисленных выше типов состоит из трех основных этапов:
- формирования производственного задания на ремонт в заданный период времени;
- разработки плана ремонта;
- разработки системы материально-технического снабжения ремонтов.
На первом этапе определяются цели и объем предстоящих ремонтных работ. При этом вначале составляется укрупненный список работ, который в дальнейшем при необходимости детализируется до отдельных операций. Рассмотрим данный механизм подробнее. Для правильного определения продолжительности остановочного ремонта, а также увязки планируемых работ с работами на других объектах необходимо в первую очередь определить, какие работы будут включены в план ремонта. Выделим три типа оборудования, которое может быть включено в общий план ремонта.
- Тип «А» – оборудование, входящее в состав перечисленных выше остановочных ремонтов, то есть это перечень оборудования, составленный на основе анализа дефектных ведомостей по каждой единице оборудования, плана реконструкции; плана по строительству нового производства и т.д. Такой тип работ определяется в соответствии с условием
, (1)
где TОР – время проведения остановочного ремонта (в приведенных неравенствах при первоначальном расчете принимается равным директивному сроку проведения ремонта Tдир, ч, а затем, после решения основных задач планирования, определяется уточненное время проведения ремонта и задача формирования плана ремонтных работ решается вновь); ti– запланированное время начала работ по ремонту или реконструкции оборудования i; tнач.ОР – запланированное время начала остановочного ремонта.
- Тип «В» – оборудование (кроме типа «А»), выход которого из строя может привести к остановке работы данного объекта химического предприятия. Время начала капитального или текущего ремонта такого оборудования находится в периоде времени в соответствии с условием
, (2)
где ΔTв – некоторый диапазон времени после момента окончания ремонта (экспертная оценка). Например, это основное оборудование, капитальный или текущий ремонт, которого проводится раньше намеченного по ППР срока, ввиду его простоя по причине ремонта оборудования типа «А», при наличии свободного персонала.
- Тип «С» – оборудование, время начала капитального (текущего) ремонта которого по системе ППР находится в чуть больших пределах проведения остановочного ремонта, то есть в соответствии с условиями:
; (3)
, (4)
где ΔTc – время, на которое можно сместить начало проведения капитального (текущего) ремонта отдельного оборудования (берется из нормативов ТОР [1]),
Правило, по которому можно выделить оборудование «С», заключается том, что в системе технического обслуживания и ремонта предусмотрены временные допуски на смещение проведения капитального ремонта, что позволяет включить это оборудование в общий план остановочного ремонта.
Таким образом, в результате отбора оборудования по условиям (1) – (4) формируется общий список работ, связанных с его ремонтом. Кроме этого оборудования, в общий список включаются различные работы, не связанные с ремонтом оборудования, например доставка запасных частей, работы по строительству зданий и сооружений и т.д.
Полученный перечень работ представляется в виде сетевой модели, при построении которой определяется последовательность выполнения работ, возможные в них перерывы и взаимосвязь работ друг с другом. Построение сетевого графа возможно как вручную специалистами отдела главного механика, так и автоматически на основе отраслевых атласов типовых сетевых графов, составленных на основе метода стандартизации ремонтных работ по рациональным объемам [1].
Второй этап планирования остановочных ремонтов – решение задач календарного планирования работ ремонта.
Выделим недостатки используемых в настоящее время подходов при планировании подобных видов ремонта.
- Задача определения плана ремонта в основном состоит из определения времени начала и продолжительности работ ремонта определенного объекта предприятия, без учета требуемого ресурса в рабочей силе на других объектах предприятия. В данной работе задача определения оптимального плана ремонтных работ тесно увязана с управлением ремонтным персоналом на предприятии в целом, то есть в результате решения задачи планирования получается календарный план работ ремонта и план оптимального распределения трудовых ресурсов отдельных категорий работников определенных специальностей централизованной ремонтной службы.
- Нередко наблюдается неправильная оценка времени, необходимого для выполнения работ по ремонту определенного типа оборудования. Зачастую используют детерминированные оценки времени, взятые из нормативов, и не учитывают вероятностные оценки, что приводит к систематическим ошибкам в определении времени и стоимости выполнения ремонтов.
- Характерно искусственное завышение времени выполнения работ. Например, продолжительность проведения капитального ремонта принимается из нормативов как фиксированная постоянная величина, не учитывая конкретные условия и требования данного производства.
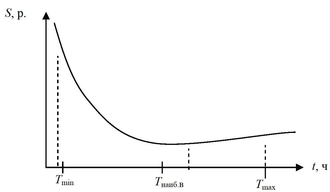
Рис. 2. Пример зависимости стоимости работы от времени
В работе продолжительность выполнения операции рассматривается как функциональная зависимость времени ее выполнения от стоимости (рис. 2). Характер зависимости определяется индивидуально для каждой единицы оборудования. При отсутствии таких зависимостей используются экспертные оценки сотрудников конкретного предприятия.
Таким образом, учет перечисленных выше аспектов является отличительной особенностью данной работы и позволяет разработать гибкую систему планирования ремонтов, способную решать множество разнообразных задач календарного планирования.
Постановка задачи планирования остановочных ремонтов
Неформализованную (словесную) постановку задачи календарного планирования работ остановочного ремонта можно сформулировать так [13]: разработать с учетом имеющихся трудовых и финансовых ресурсов план выполнения работ проекта, который при учете ряда ограничений минимизирует целевую функцию (затраты предприятия, время ремонта, потери от простоя и др).
Для формализации задачи введем обозначения: i – номер работы проекта которую надо выполнить i = 1,N; N – число работ проекта; – время выполнения i-й работы работником v-й специальности; Sзарпл – заработная плата рабочих; Sзапч – затраты на покупку запчастей и оснастки; Sматер – затраты на новые материалы; Sуб.пр – потери от простоя объекта; Nv – ставка работника специальности v; Vv – число сотрудников специальности v; Tрем – расчетное время выполнения ремонтных работ, ч; Xнараб – количество выпускаемой продукции в единицу времени, т/ч; Sед.пр – стоимость продукции, р./т;
Ограничения:
- – число работников каждой специальности ограничено;
- – наличие перерывов при выполнении работ (для тех работ, где это допускается);
- – ограничение срока выполнения работ ремонта;
- – ограничение на работу специалистов одной специальности v;
- – ограничение на финансы.
Тогда целевую функцию можно записать как
, (10)
где
; (11)
(12)
– величина оплаты от напряженности работы. Чаще всего эту функцию применяют в следующем виде:
, (13)
где A, B = const;
; (14)
; (15)
. (16)
В результате получаем общую формулу
(17)
С учетом введенных обозначений задача планирования остановочных ремонтов сводится к определению вектора параметров , которые минимизируют целевую функцию (17) при выполнении наложенных ограничений (5) – (9).
Прямое решение этой задачи затруднено из-за наличия большого числа варьируемых параметров [14], поэтому для ее решения предлагается итерационный подход, при котором решение основной задачи заменяется решением ряда более простых, имеющих самостоятельное значение.
Алгоритм решения задачи планирования остановочных ремонтов
Процесс решения задачи планирования остановочных ремонтов можно представить в виде следующие шагов:
- Формирование перечня ремонтных работ. На этом шаге происходит отбор оборудования в соответствии с заданными условиями, составление перечня работ на основе анализа дефектных ведомостей и добавление дополнительных операций.
- Построение сетевого графа остановочного ремонта. В данном шаге создается общая сетевая модель ремонта, которая основывается на типовых сетевых графах оборудования и соответствующих им дефектных ведомостях. Это делается при условии наличия работ по восстановлению данного оборудования в перечне ремонтных работ, определенном в предыдущем шаге.
- Определение видов функциональных зависимостей. На этом этапе выбирается конкретный график зависимости времени выполнения от стоимости работы. Различные виды функциональных зависимостей могут быть применены от конкретной ситуации.
- Определение времени проведения остановочного ремонта. Решается задача календарного планирования, включающая составление календарного плана ремонтных работ по различным критериям (минимальный срок проведения ремонта, учет ограничений на трудовые ресурсы, ограниченное финансирование и заданный срок проведения ремонта). Также учитывается вероятностная оценка длительности работ.
- Оптимальное распределение ремонтного персонала. На этом этапе происходит перераспределение рабочих по объектам, чтобы обеспечить их равномерную загрузку.
Каждый шаг вносит свой вклад в решение общей задачи планирования остановочных ремонтов. Итерационная схема решения этой задачи представлена на рис. 3.
Рис. 3. Схема решения задачи планирования остановочных ремонтов
Наиболее трудоемким из перечисленных выше блоков является блок 4 – решение задач календарного планирования. Рассмотрим основные подзадачи, решаемые в данном блоке.
- Постановка подзадачи определения длительности остановочного ремонта без ограничений на трудовые ресурсы.
Дано: – множество событий остановочного ремонта; – множество работ ремонта между его событиями i, j; Ui,j = ti,j – длительность работы.
Обозначим: K – число всех возможных путей выполнения ремонта, соединяющих события 1 и N; nl – число событий остановочного ремонта, лежащих на l-м пути их возможного выполнения ; – номер m-го события ремонта в l-м пути ; – множество событий ремонта в l-м пути Vl ⊂ V.
Требуется найти такую последовательность работ остановочного ремонта на пути l c событиями Vl ⊂ V, что
(18)
при ограничениях:
; (19)
. (20)
- Постановка подзадачи определения длительности остановочного ремонта с ограничением на трудовые ресурсы.
Обозначим: А – ресурс, доступный в каждый день выполнения проекта; τk – длина k-го промежутка Δk, (ширина ступеньки на ресурсном профиле), причем , где Т – время выполнения проекта.
Суммарный ежедневный ресурс, необходимый для выполнения работ фронта Fk, обозначим, как где rij – ресурс, необходимый i, j работе. Если окажется, что rk > A, то для такого фронта работ полагают τk = 0.
Тогда задачу можно сформулировать следующим образом:
необходимо найти
(21)
при ограничениях
, (22)
сетевых ограничениях
, (23)
- Постановка подзадачи определения плана работ при ограниченном финансировании [14].
Предполагается, что для каждой i, j работы задана функция «время – стоимость»
cij = φij(tij),
где cij – стоимость (прямые затраты); tij – продолжительность.
Длительность выполнения каждой работы ограничена
. (24)
Задан директивный срок Tдир выполнения проекта
. (25)
Требуется определить такие продолжительности tij работ (i, j), при которых суммарные затраты
(26)
были бы минимальными при выполнении ограничений (24) и (25). Сетевые ограничения также должны быть выполнены
. (27)
После построения и оптимизации календарного плана остановочного ремонта решается задача оптимального использования работников централизованной ремонтной службы завода при планировании работ различных видов ремонта оборудования.
Третий этап планирования остановочных ремонтов – разработка подсистемы материально-технического снабжения ремонтов (МТСР).
На основе проведенного анализа различных работ по материально-техническому снабжению ремонтов сделан следующий вывод. Одна из наиболее острых проблем при выполнении ремонтов заключается в необходимости приостановок выполнения ремонта, вызванных запаздыванием доставки запасных частей, материалов или оборудования. Проблемы возникают и тогда, когда материалы прибывают слишком рано или когда заказанные запчасти отсутствуют на складе. Поэтому, оптимальное календарное планирование остановочных ремонтов невозможно без использования подсистемы материально-технического снабжения ремонтов, которая позволит избежать эти и многие другие сложности при реализации плана. Это достигается следующим образом. На этапе календарного планирования остановочного ремонта при расчете времени проведения работ формируются заказные спецификации на запчасти, оснастку, материалы и пр., которые передаются подсистеме МТСР, где обрабатываются и при необходимости вносят коррективы в календарный план ремонта путем добавления в него «фиктивных» работ.
Подсистема материально-технического снабжения позволяет:
- Определять наличие запасных частей и материалов к тому моменту, когда они будут требоваться по плану, что важно для определения физической реализуемости плана ремонта.
- Регулярно предоставлять текущую информацию о состоянии запасов и этапах изготовления запчастей заинтересованным подразделениям предприятия.
- Исключать простои в работе, возникающие из-за отсутствия требуемых запчастей и материалов в нужное время.
- Учитывать избыточные запасы и по возможности минимизировать их уровни на складах.
Результаты работы
Рассмотренные выше три этапа планирования остановочных ремонтов представляют собой суть системы календарного планирования остановочных ремонтов, которая позволит проводить такие типы ремонтов с минимальными затратами и оптимальной занятостью ремонтного персонала [15].
Система была апробирована при решении задачи реконструкции сахарного производства, при которой проводилась модернизация продуктового отделения при переработке экстракта [16]. Цель реконструкции – обеспечить переработку экстракта с плановой производительностью 900 т/сут. Решение задач календарного планирования показало, что минимальное время выполнения работ проекта составляет 36 дней. При расчете учитывался сезонный характер работы сахарного производства, что определило время начала ремонта в сезон наименьшей загрузки производства.
Заключение
Надлежащее проведение остановочных ремонтов производства является фундаментальной задачей для обеспечения надежности, эффективности и долговечности производственных установок. Все виды ремонтов, будь то запланированный профилактический, капитальный или аварийный, необходимы для обеспечения бесперебойной работы и увеличения производительности предприятия. Правильное и своевременное проведение остановочных ремонтов – залог успешного и стабильного функционирования производства и достижения поставленных целей.
Кроме того, проведение остановочных ремонтов сложных производственных объектов предоставляет возможность для модернизации и внедрения новых технологий. В процессе ремонта могут быть предприняты шаги по повышению эффективности производства, снижению энергопотребления и улучшению качества продукции. Это важный момент, который позволяет предприятию быть конкурентоспособным на рынке и адаптироваться к постоянно меняющимся требованиям потребителей и технологий.
About the authors
S. Ya. Egorov
Voronezh State University of Engineering Technologies
Author for correspondence.
Email: egorovsy@yandex.ru
Department of Computer-Integrated Systems in Mechanical Engineering
Russian Federation, VoronezhV. A. Nemtinov
Voronezh State University of Engineering Technologies
Email: egorovsy@yandex.ru
Department of Computer-Integrated Systems in Mechanical Engineering
Russian Federation, VoronezhI. A. Avtsinov
Voronezh State University of Engineering Technologies
Email: egorovsy@yandex.ru
Department of Automated Process and Production Control Systems
Russian Federation, VoronezhReferences
- Azarov V.N., Vostrikov V.S., Lomakin V.S. [et al.]. Sistema tekhnicheskogo obsluzhivaniya i remonta oborudovaniya predpriyatij himicheskoj promyshlennosti [System of technical maintenance and repair of equipment of chemical industry enterprises], Moscow: Himiya, 1986, 352 p. (In Russ.)
- Andreev A.V. [Methods of repair of chemical production equipment], Himicheskaya promyshlennost' [Chemical industry], 2019, no. 4, pp. 23-27. (In Russ., abstract in Eng.)
- Volkov D.S. [Trends in the development of methods for repairing chemical production equipment], Vestnik himicheskoj tekhnologii [Bulletin of Chemical Technology], 2019, vol. 4, no. 2, pp. 67-73. (In Russ., abstract in Eng.)
- Barsukov A.T. [Methods of planning repair of industrial equipment / A. T. Barsukov], Vestnik Tomskogo politekhnicheskogo universiteta [Bulletin of Tomsk Polytechnic University], 2018, vol. 314, no. 7, pp. 70-79. (In Russ., abstract in Eng.)
- Ambarcumyan A.A., Hadeev A.S. [Analysis of the functionality of equipment maintenance and repair management systems], Problemy upravleniya [Problems of Management], 2005. no. 6, pp. 2-12. (In Russ., abstract in Eng.)
- Petrov V.G. [Application of innovative repair methods in chemical production], Himicheskaya promyshlennost' [Chemical industry], 2020, no. 4, pp. 67-74. (In Russ., abstract in Eng.)
- Tarasov M.V. [Innovative methods of repair of chemical production equipment], Himicheskaya promyshlennost' [Chemical industry], 2019, no. 3, pp. 45-51. (In Russ., abstract in Eng.)
- Uvarov V.A. [Development and implementation of new methods of equipment repair at chemical plants], Himicheskaya tekhnologiya i inzhiniring [Chemical technology and engineering], 2020, vol. 2, no. 4, pp. 112-120. (In Russ., abstract in Eng.)
- Mizyun V.A., Pohlebkin S.A. [Integrated systems of visual production management, diagnostics and repair planning of process equipment in the chemical industry: synergy effect], Organizator proizvodstva [Production organizer], 2012, no. 1(52), pp. 37-41. (In Russ., abstract in Eng.)
- Smirnov D.A., Shul'ga A.E. [Problems and prospects of industrial equipment repair planning], Vestnik nacional'nogo issledovatel'skogo Tomskogo politekhnicheskogo universiteta [Bulletin of the National Research Tomsk Polytechnic University], 2013, no. 1, pp. 63-70. (In Russ., abstract in Eng.)
- Yakovleva M.V., Shalina A.I. [Development of recommendations for the implementation of predictive equipment maintenance at high-tech enterprises], Voprosy innovacionnoj ekonomiki [Issues of innovative economics], 2023, vol. 13, no. 3, pp. 1531-1550. doi: 10.18334/vinec.13.3.118259. (In Russ., abstract in Eng.)
- Myncov A.A., Myncova O.V., Sokolov D.V. [Automatic vibration diagnostics systems - a step towards the implementation of predictive maintenance], Cement i ego primenenie [Cement and its application], 2020, no. 4, pp. 50-53. (In Russ., abstract in Eng.)
- Egopov S.Ya., Kaptashov A.S. [Development of a system for planning shutdown repairs of multi-assortment chemical plants], Remont. Vosstanovlenie. Modernizaciya [Repair. Restoration. Modernization], 2006, no. 12, pp. 24-31. (In Russ., abstract in Eng.)
- Zolotov D.A., Sinicyn P.V., Egorov S.Ya. [Formulation of the problem of planning stop repairs of industrial production], Molodezhnaya nauka v razvitii regionov [Youth science in the development of regions], 2019, vol. 1, pp. 108-111. (In Russ., abstract in Eng.)
- Krasnyanskij M.N., Mokrozub V.G., Nemtinov V.A. [et al.]. Cifrovoe mashinostroenie [Digital engineering], Tambov: TSTU Publ., 2023, 266 p. (In Russ.)
- Betin V.V., Egorov S.Ya. Virtual'noe modelirovanie, prototipirovanie i promyshlennyj dizajn: Materialy IX Mezhdunarodnoj nauchno-prakticheskoj konferencii [Virtual modeling, prototyping and industrial design: Proceedings of the IX International scientific and practical conf.] (Tambov, 24-25 October 2023), vol. 9, Tambov, 2023, pp. 238-241. (In Russ.)
Supplementary files





