Влияние ионов никеля на структурные и транспортные свойства катионообменной мембраны МК-40
- Авторы: Печенкина Е.С.1, Бобров М.Н.1, Кузнецова А.Р.1
-
Учреждения:
- ФГБОУ ВО «Санкт-Петербургский государственный технологический институт (технический университет)»
- Выпуск: Том 30, № 3 (2024)
- Страницы: 505-520
- Раздел: Процессы и аппараты химических и других производств. Химия
- URL: https://journal-vniispk.ru/0136-5835/article/view/279322
- DOI: https://doi.org/10.17277/vestnik.2024.03.pp.505-520
- ID: 279322
Цитировать
Полный текст
Аннотация
На основании расчетов, проведенных по микрогетерогенной модели и перколяционной теории, показано, что снижение влагосодержания для мембраны МК-40 в никелевой форме связано со структурными изменениями в фазе мембраны: перераспределением воды, изменением объемных долей пор различного радиуса вследствие снижения набухания полимерной матрицы и ее координационной деформации. Методами атомно-силовой и сканирующей электронной микроскопии исследована морфология поверхности ионообменной мембраны МК-40 в водородной и никелевой формах. Установлены различия в структуре, определены микропрофили и фактор шероховатости поверхности исследуемых образцов.
Полный текст
Введение
Повышенное в последние годы внимание к экологическим проблемам и ужесточение нормативов на сброс загрязнений приводит к росту экологических штрафов для гальванических производств, что является причиной увеличения себестоимости и снижение конкурентоспособности продукции [1].
Сточные воды гальванических производств, содержащие соединения токсичных металлов, представляют собой источник загрязнения окружающей среды, а проблема их утилизации стоит весьма остро. Проблема очистки сточных вод гальванического производства осложняется их большим разнообразием по качественному и количественному составам. Применение локальных методов переработки стоков в местах их образования позволяет уменьшить объем перерабатываемых растворов и сточных вод, имеющих при этом упрощенный состав, что дает возможность применения достаточно тонких и безреагентных технологий, таких как мембранное разделение.
Мембранная переработка растворов позволяет получать легко утилизируемые концентраты и воду, пригодную для повторного применения. Применение электродиализа для локальной очистки промывных вод и регенерации соединений токсичных металлов позволяет снизить материалоемкость и экологическую опасность гальванических производств [2 – 4]. Исследования электродиализа растворов солей переходных металлов расширяются вследствие их практической важности в процессах водоподготовки для промышленности и энергетики, решении экологических проблем и ресурсосбережения в гальванических производствах, обеспечении населения качественной питьевой водой [5, 6].
Изучение влияния многозарядных катионов токсичных металлов на структурные и транспортные свойства ионообменных мембран позволит выбрать оптимальные режимы и установить эффективность применения электродиализной очистки. Для исследований, направленных на изучение влияния двухзарядных катионов никеля на структуру и транспортные характеристики ионообменной мембраны МК-40, выбраны такие свойства, как удельная электропроводность и влагосодержание. Удельная электропроводность – одна из важнейших характеристик, определяющая пригодность ионообменных мембран для электродиализа и мембранного электролиза. Влагосодержание определяет дисперсность фаз и состояние ионов в мембранах. Тесная связь между удельной электропроводностью и влагосодержанием позволяет путем изучения этих свойств получать информацию об изменениях в многофазной структуре ионита.
Один из определяющих факторов в мембранных процессах и технологиях – структура поверхности мембраны, зависящая от природы полимера, размеров и гибкости макромолекул, их взаимного расположения, надмолекулярной структуры и способа получения мембраны [6]. Для описания структуры поверхности мембран применяют атомно-силовую (АСМ) и сканирующую электронную микроскопию (СЭМ). Применение СЭМ позволяет оценить структуру мембраны: поверхность и поперечное сечение. Атомно-силовая микроскопия изучает поверхность материалов на нанометровом уровне. Преимущество метода АСМ перед СЭМ заключается в том, что он не требует предварительной специальной подготовки образцов и может давать изображения как на воздухе, так и в жидкости, а также позволяет получить трехмерное изображение [7].
Цель исследования – изучение влияния ионов никеля на структурные и транспортные свойства катионообменной мембраны МК-40.
Экспериментальная часть
Объекты исследования
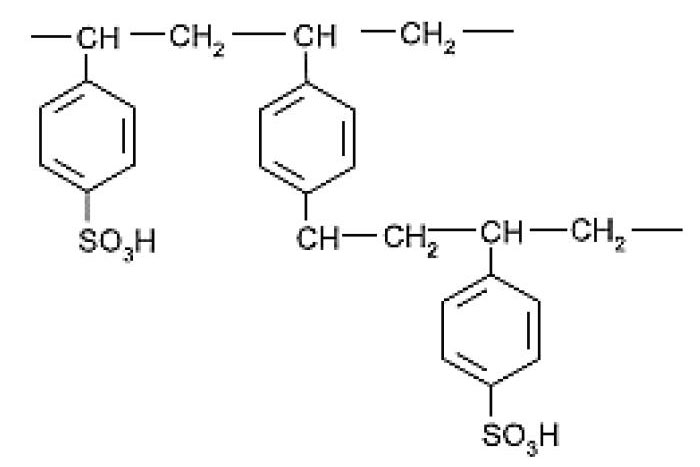
Объект исследования – отечественная ионообменная мембрана МК-40 производства ООО «Щекиноазот» (Россия). Данный вид мембран широко применяется в процессах электродиализа и мембранного электролиза [8]. Основой мембраны МК-40 является синтетическая ионообменная смола КУ-2, полученная путем сополимеризации стирола и дивинилбензола с последующим сульфированием для введения ионогенногенных групп (рис. 1). В качестве инертного наполнителя при изготовлении данной мембраны используется полиэтилен, армирующей тканью служит капрон [7].
Рис. 1. Химическое строение полимерной матрицы исследуемой мембраны МК-40
Мембрану МК-40 изготавливают путем прессования при температуре 120…130 °С и давлении 20 МПа сульфокатионита КУ-2 со средним размером частиц < 50 мкм и тонкодисперсного полиэтилена низкого давления с размером частиц 5 мкм. Объемная доля катионита в смеси составляет 65 % [9, 10].
Методы исследования
Изучение физико-химических свойств мембраны МК-40 включало несколько стадий: химическое кондиционирование согласно ГОСТ 17553–72 (исследуемый образец находится в Н-форме); уравновешивание с рабочими растворами в течение 48 ч (перевод исследуемого образца в Na- и Ni-форму); измерение влагосодержания. Определение содержания воды в мембране осуществляли методом воздушно-тепловой сушки при температурах (25 ± 2) и (80 ± 2) °С. Толщину мембраны определяли с точностью до 4 мкм микрометрическим методом.
Для характеристики электротранспортных свойств мембраны использовали удельную электропроводность. Для измерения удельной электропроводности мембраны применен ртутно-контактный метод, заключающийся в измерении электрического сопротивления с помощью измерителя RLC Е7-11 универсального (Республика Беларусь) на переменном токе с частотой 1 кГц.
Для определения транспортно-структурных параметров мембраны МК-40 применяли микрогетерогенную модель и перколяционную теорию [11, 12], позволяющие охарактеризовать структуру ионообменного материала с помощью определенного набора параметров. Согласно микрогетерогенной модели, после набухания в воде или водных растворах электролитов в мембране образуются отдельные микрофазы: активная ионопроводящая фаза, в которой локализованы ионогенные группы (фаза геля или ионита) и непроводящая фаза инертного связующего – полиэтилена. Поровое пространство между этими фазами заполняется равновесным раствором электролита, который образует третью микрофазу [13].
С позиции микрогетерогенной модели удельная электропроводность мембраны, Ом–1∙см–1, может быть выражена через характеристики выделенных фаз [11]
, (1)
где – удельные электропроводности гелевой фазы и межгелевых промежутков, заполненных равновесным электронейтральным раствором, соответственно, Ом–1∙см–1; – объемные доли гелевой и межгелевой фаз соответственно ; – параметр, отражающий характер взаимного расположения фаз в ионообменном материале ( = 1 и = –1 соответственно для параллельного и последовательного соединения проводящих фаз).
С учетом перколяционной теории удельная электропроводность для ионообменного материала с различным соотношением проводника и диэлектрика вблизи порога протекания описывается уравнением [12]
, (2)
где – удельная электропроводность мембраны, соответствующая влагосодержанию W, Ом–1∙см–1; – множитель, который по порядку величины равен удельной электропроводности проводящего материала, Ом–1∙см–1; – критическое влагосодержание, при котором наблюдается резкое изменение удельной электропроводности; t – критический индекс удельной электропроводности.
Математическая обработка данных и построение линейных зависимостей выполнялись на компьютере с использованием стандартных программ Exсel.
Микроскопические исследования проводили двумя методами:
- методом СЭМ, микроскопом TESCAN VEGA3 (Чехия) с напылением графита на сухие образцы. Сканирующий электронный микроскоп, работающий только в вакууме, позволяет различить детали нанометрового масштаба. С его помощью можно проводить наблюдения с гораздо большей глубиной резкости, чем при работе со световым микроскопом, и получать объемные микрофотографии поверхностей с весьма развитым рельефом. Микроскоп оснащен энергодисперсионным анализатором элементного состава, что позволило получить информацию о химическом составе на поперечном срезе мембраны;
- методом АСМ с помощью сканирующего зондового микроскопа SPM-9700 Shimadzu (Япония) в динамическом (полуконтактном) режиме на сухих образцах. Сканирование осуществлялось с резонансной частотой HCHR (карбид-кремний) кантилевера 305…307 кГц на площадках 5 ´ 5 мкм со скоростью сканирования 0,5…0,6 Гц на воздухе при температуре (25 ± 1) °C. Изучение поверхности ионообменных мембран проводили в двух режимах: топографии и фазового контраста. В режиме топографии фиксировали рельеф поверхности. Режим фазового контраста позволяет распознать области, отличающиеся по химическому составу, адгезионным и упругим свойствам. Обработка полученных снимков проводилась в программе Gwyddion 2.61.
Рабочие растворы готовились из солей марок «х.ч.» или «ч.д.а.» на дистиллированной воде и во избежание гидролиза хлорида никеля подкислялись до рН 3,5…4,0, удельную электропроводность растворов измеряли на кондуктометре фирмы Mettler Toledo марки SevenCompact S230 (Швейцария). Для анализа рабочих растворов применялись комплексонометрический и фотоколориметрический методы (КФК-2МП, Россия). Все измерения проводились при температуре (25 ± 2) °С в условии термостатирования.
Результаты и их обсуждение
Сравнение основных физико-химических характеристик образцов сульфокатионитовой мембраны МК-40 после кондиционирования (перевода в набухшее состояние) и уравновешивания с растворами NaCl и NiCl2 представлены в табл. 1.
Таблица 1. Физико-химические характеристики сульфокатионитовой мембраны МК-40
Форма мембраны | Q, ммоль/ гн.м | W, % | d, мкм | nm, – |
H-форма | 1,52 | 54,98 | 560 | 19,96 |
Na-форма | 1,53 | 55,50 | 730 | 20,15 |
Ni-форма | 1,46 | 46,00 | 530 | 17,50 |
Исследование зависимости удельной электропроводности ионообменных мембран от влагосодержания имеет важное практическое значение, так как сопротивление пакета мембран в электродиализаторе определяет затраты на электроэнергию при проведении процесса разделения.
Из таблицы 1 видно, что обменное взаимодействие мембраны с ионами никеля приводит к снижению набухания, а, следовательно, повышению роли субмикро- и микронеоднородностей (1…5 нм) в процессах транспорта ионов в мембранах [13]. Изучение процесса постепенного обезвоживания мембран позволяет получить информацию о влиянии ионов никеля на структуру и транспортные свойства исследуемых мембран, а также оценить вклад неоднородностей различного масштаба в свойства мембраны МК-40 и мембраны, уравновешенной в растворе хлорида никеля.
На рисунке 2 представлены дифференциальные кинетические кривые обезвоживания мембраны МК-40 в эксикаторе над хлоридом кальция при температуре (25 ± 2) °С. Скорость обезвоживания мембраны МК-40 меняется во времени, проходя через постоянные значения, что связано с последовательным осушением пор различного размера. При этом природа катиона не влияет на скорость «мягкого» обезвоживания исследуемых мембран.
Рис. 2. Дифференциальные кинетические кривые обезвоживания мембраны МК-40, уравновешенной в растворах с концентрацией 0,2 моль-экв/л: 1 – NaCl; 2 – NiCl2
Однако природа катиона, присутствующего в электролите, оказывает существенное влияние на максимальное влагосодержание катионообменной мембраны: при переходе к ионам никеля ее влагосодержание снижается (рис. 3). Полученные значения максимального влагосодержания исследуемых образцов в разбавленных растворах хлорида натрия хорошо согласуются с литературными данными [13]. Следует отметить, что концентрация внешнего раствора влияет на влагосодержание мембраны МК-40 только в области разбавленных растворов (до 0,2 моль-экв/л). При более высоких концентрациях влагосодержание остается практически постоянным, несмотря на изменение природы противоиона и его содержания в растворе.
Рис. 3. Концентрационные зависимости максимального влагосодержания мембраны МК-40, уравновешенной в растворах NaCl (1) и NiCl2 (2)
Постепенное обезвоживание полимерных мембран согласно микрогетерогенной модели приближает их структуру к структуре гелевой фазы, так как осушение в первую очередь макропор [12] исключает их из транспортных процессов. Поэтому далее проводились измерения удельной электропроводности исследуемых мембран при их постепенном высушивании при температуре (80 ± 5) °С.
На рисунке 4 представлены зависимости удельной электропроводности мембран МК-40 от влагосодержания в растворах хлорида натрия 1 и хлорида никеля 2 (концентрация 0,2 моль-экв/л).Очевидно, что на кривых имеется некоторое значение влагосодержания Wk, называемое в [12] критическим влагосодержанием, ниже которого (W < Wk) удельная электропроводность у образцов мембран практически отсутствует, а при значениях W > Wk она экспоненциально растет.
Рис. 4. Перколяционные (1, 2) и порометрическая (3) [14] кривые мембраны МК-40 в растворах NaCl (1, 3) и NiCl2 (2)
Ход кривых для мембраны МК-40 не зависит от природы противоиона (см. рис. 4). Сопоставление порометрической кривой для мембран МК-40, полученных в [10, 12], с перколяционными кривыми для мембраны МК-40, уравновешенной с растворами хлоридов натрия и никеля, показывает, что обезвоживание пор с радиусами менее 1,5 нм соответствует участку слияния зависимостей. Наблюдаемое при этом значение влагосодержания соответствует ближней гидратации ионной пары, имеющей либо неразделенную гидратную оболочку, либо представляющую собой внутрисферный комплекс [13]. Количество воды в таком ассоциате определяется стерическими факторами и общим влагосодержанием системы, которое составляет около 0,18 гН2О/гн.м.
Из значений влагосодержания с привлечением данных по обменной емкости (см. табл. 1) рассчитана гидратная емкость nm мембран по формуле
, (3)
где W – влагосодержание, гН2О/гн.м; Q – обменная емкость мембраны, ммоль/гн.м; 18 – молекулярная масса воды, г/моль.
Полученные значения приведены в табл. 2 и хорошо коррелируют с данными, представленными в [10, 12, 14]. Из рассчитанных значений можно заключить, что с участием воды, которую принято считать связанной [13], образуются гидратированные ассоциаты. Их строение практически не зависит от природы ионов.
Таблица 2. Значения гидратной емкости мембран МК-40, уравновешенной в 0,2 (моль-экв/л) растворах хлоридов натрия и никеля при различных значениях влагосодержания
NaCl | W, гН2О/гн.м | 0,56 | 0,45 | 0,38 | 0,34 | 0,32 | 0,26 | 0,20 | 0,09 | 0,02 |
nm, мольН2О/моль–SO3– | 20 | 16 | 14 | 12 | 12 | 9 | 7 | 3 | 1 | |
NiCl2 | W, гН2О/гн.м | 0,46 | 0,33 | 0,29 | 0,26 | 0,20 | 0,18 | 0,17 | 0,12 | 0,10 |
nm, мольН2О/моль–SO3– | 18 | 13 | 11 | 10 | 8 | 7 | 6 | 5 | 4 |
Обработка зависимостей в области средних влагосодержаний, где топология проводящих путей практически сводится к микропористой системе гелевой фазы, проведена по уравнению перколяционной теории (2). В процессе статистической обработки кривых по процедуре регрессионного анализа величина корректировалась так, чтобы коэффициент корреляции R2 минимально отличался от единицы. В результате из большого количества параллельных определений были получены уточненные значения для исследуемых мембран. Величина показателя степени t в уравнении (2) определялась как тангенс угла наклона билогарифмической зависимости .
Полученные значения приведены в табл. 3. Значения коэффициента корреляции (не менее 0,98) свидетельствуют о корректности соответствия перколяционного уравнения экспериментальным данным. Значения параметра t согласуются с теоретическим (1,6 ± 0,4 [12, 14]). Что же касается значений Wk, то, как показано в [10, 12, 14], теоретическое значение данного параметра 0,15 характерно для систем, в которых частицы проводника и изолятора имеют форму сфер и упакованы на регулярной решетке.
Таблица 3. Значения параметров перколяционной теории для мембраны МК-40, уравновешенной в 0,2 (моль-экв/л) растворах хлоридов натрия и никеля
Параметр | NaCl | NiCl2 |
χ0, Ом–1∙см–1 | 2,21∙10–2 | 2,06∙10–3 |
Wk, гН2О/гн.м | 0,14 | 0,11 |
t | 1,85 | 1,80 |
R2 | 0,9666 | 0,9888 |
Параметр χ0 определяется особенностями ион-ионного взаимодействия в проводящей фазе. Очевидно, что данный параметр снижается почти на порядок для мембраны в никелевой форме, что может быть связано со снижением скорости переноса противоиона между функциональными группами. Ионам никеля, имеющим более высокое число гидратации, требуется большее количество воды, чем ионам натрия, для образования разделенных ионных пар и они имеют более низкую подвижность в условиях ограниченного влагосодержания.
Результаты исследования концентрационных зависимостей удельной электропроводности, влагосодержания и диффузионной проницаемости мембран в растворах хлоридов натрия и никеля могут быть использованы для расчета транспортно-структурных параметров (ТСП). В результате можно оценить, систематизировать и проанализировать структурные изменения в фазе мембран, вызванные их взаимодействием с ионами никеля (табл. 4).
Таблица 4. Транспортно-структурные параметры для мембраны МК-40, полученные из микрогетерогенной модели
Параметр | NaCl | NiCl2 |
f2 | 0,22 | 0,20 |
a | 0,28 | 0,26 |
χизо, Ом–1∙см–1 | 5,13∙10–3 | 0,9∙10–3 |
Значения параметра в большинстве случаев совпадают с литературными (0,3). Незначительное снижение параметра при переходе к растворам хлорида никеля может указывать на возможность переориентации фаз по отношению к направлению потоков заряда и массы. Уменьшение экспериментальных значений параметра χизо при переходе к раствору хлорида никеля объясняется снижением подвижности противоиона.
Таким образом, полученные из микрогетерогенной модели и перколяционной теории результаты показали, что перевод мембраны МК-40 в Ni-форму приводит к структурным изменениям, поэтому на следующем этапе работы проведены исследования с помощью методов СЭМ и АСМ.
Полученные электронные микрофотографии образцов гетерогенной мембраны МК-40 в Н-форме и Ni-форме представлены на рис. 5. Геометрия поверхности мембраны МК-40 даже отдаленно не напоминает плоскость (см. рис. 5, а, в). Большая часть поверхности экранирована связующим – полиэтиленом, а зерна ионита занимают малую долю (см. рис. 5, б, г), что может быть связано с выдавливанием более пластичного полиэтилена из объема гетерогенной мембраны в процессе ее прессования и последующей прокатки [17].
Рис. 5 Электронные микрофотографии поверхности мембраны МК-40 (1000): а, б – в Н-форме; в, г – в Ni-форме; а, в – SE-изображение; б, г – BSE-изображение (поле обзора 254 мкм, напряжение 30,0 кВ)
На SE-изображениях повышенной яркостью характеризуются не только фазы выступающей на поверхности ионообменной смолы, но и полиэтилена в результате его отслоения и отрыва от поверхности в местах выхода зерен ионита на поверхность. Армирующая сетка из капрона также выходит на поверхность в местах пересечения жилок. Степень и масштаб неоднородности поверхности гетерогенной ионообменной мембраны увеличиваются при переводе ее в Ni-форму, четко визуализированы фазы ионита, полиэтилена и армирующей ткани (см. рис. 5, в, г). На BSE-изображении светлые участки можно интерпретировать как участки, обладающие высокой электропроводностью, что свидетельствует об увеличении электропроводящей фазы при переводе мембраны из H-формы в Ni-форму.
В таблице 5 приведены результаты исследования элементного состава среза мембраны МК-40 после кондиционирования и уравновешивания в растворе соли никеля (рис. 6).
Таблица 5. Элементный состав среза мембраны МК-40 после кондиционирования и уравновешивания в растворе соли никеля
Форма мембраны | Концентрация элемента, ат. % | |||
O | Na | S | Ni | |
Н-форма | 74,7 | 1,38 | 24 | 0 |
Ni-форма | 84,1 | 0 | 10,6 | 5,38 |
Рис. 6. Электронные микрофотографии среза мембраны МК-40 (BSE-изображение) (500): а – в Н-форме; б – в Ni-форме (поле обзора 508 мкм, напряжение 30,0 кВ)
Присутствие некоторого количества натрия (1,38 ат. %) в образце после кондиционирования по ГОСТ 17553–72 может быть связано с неполным замещением ионов натрия на ионы водорода (поскольку исходный образец мембраны в сухом виде находится в Na-форме). Полученные значения по содержанию серы (24 ат. %) и кислорода (74,7 ат. %), подтверждают их стехиометрическое соотношение в функциональной группе мембраны МК-40 (). Небольшой разбаланс по кислороду согласуется с наличием связанной воды в воздушно-сухих образцах мембраны. Для мембраны МК-40 в Ni-форме полученные значения содержания атомов никеля (5,38 ат. %) и серы (10,36 ат. %) подтверждают, что двухзарядный ион связан с двумя функциональными группами. Предположительно, уменьшение процентного содержания серы в образце в Ni-форме связано со структурными изменениями в фазе мембраны (см. рис. 5, 7). Достаточно большой разбаланс по атомам кислорода может быть вызван двумя причинами: во-первых, числом молекул воды, приходящихся на одну функциональную группу , равному 4 (согласно данным табл. 2), во-вторых, числом гидратации ионов никеля.
Рис. 7. АСМ-изображения поверхности мембраны МК-40 в Н-форме (а, б, д) и Ni-форме (в, г, е) в режиме топографии (а, в), фазового контраста (б, г) и 3D-изображения (д, е) при площади сканирования 15 15 мкм
Сравнительный АСМ-анализ проводили на воздушно-сухих образцах мембран после химического кондиционирования и уравновешивания в растворе, содержащем ионы никеля. На рисунке 7 представлен рельеф в виде двух- и трехмерных цифровых изображений поверхности [15]. Из 3D-изображений поверхности мембран МК-40 в Н-форме (см. рис. 7, д) и Ni-форме (см. рис. 7, е) видно, что их поверхности не являются плоскими, имеются неровности различного масштаба. Светлые – самые высокие участки можно интерпретировать как выход смолы на поверхность мембраны, темные – самые низкие по высоте участки – как поры [15]. Для образцов в Н-форме видимые неровности распределены хаотично и не имеют определенной формы, рельеф поверхности более сглаженный, чем для образцов в Ni-форме. Сорбция ионов никеля способствует структурообразованию в системе «ионообменная смола – полимер», что приводит к образованию на поверхности МК-40 игольчатых неоднородностей, расположенных в определенном порядке.
Дополнительную информацию о поверхности исследуемых образцов после кондиционирования и контакта с раствором соли никеля можно получить из анализа изображений, полученных в режиме фазового контраста (см. рис. 7, б, г). Данный режим позволил выделить различные поверхностные изменения, которые не имеют топографического проявления и обнаруживаются только на изображениях детектирования фазы колебания [15]. В режиме фазового контраста можно зафиксировать неоднородность свойств поверхности исследуемых образцов (химическую гетерогенность). На фазовых изображениях более светлые области соответствуют большим значениям диссипации энергии и большим значениям сдвига фазы колебания зонда в результате взаимодействия с исследуемой поверхностью, что характеризует ее свойства. Такие участки преобладают на образцах мембраны в Ni-форме.
На изображениях, полученных в режиме топографии (см. рис. 7, а и в), проводили сечения, вдоль которых строили профиль поверхности и определяли амплитудные среднестатистические параметры шероховатости поверхности (табл. 6) в соответствии c международными стандартами ISO 21920–2:2021: Rt – размах высот (максимальный перепад высот между самой верхней и нижней точками поверхности профиля); Ra – средняя арифметическая шероховатость; Rq – средняя квадратичная шероховатость; Rz – шероховатость поверхности по выбранным пяти максимальным высотами впадинам, самых глубоких впадин; Rsk – асимметрия (характеризует несимметричнсть распределения, то есть скошенность распределения профиля; асимметрия положительна, если распределение имеет длинный правый «хвост», и отрицательна, если распределение имеет левый «хвост»); Rku – эксцесс (характеризует протяженность распределения) [16].
Таблица 6. Параметры шероховатости поверхности катионообменной мембраны МК-40 в воздушно-сухом состоянии при площади сканирования 1515 мкм, нм
Форма мембраны | Ra | Rq | Rz | Rt | Rsk | Rku |
Н-форма | 199,1 | 254,0 | 558,1 | 926,5 | -0,43 | 0,16 |
Ni-форма | 141,1 | 171,7 | 394,4 | 624,9 | 0,37 | 0,72 |
Полученные параметры шероховатости позволили оценить количественно геометрическую неоднородность поверхностей исследуемых образцов мембраны МК-40. Поверхность кондиционированного образца мембраны МК-40 является развитой хаотичной структурой c шероховатостью в микрометрическом масштабе. Средняя арифметическая шероховатость для мембраны после кондиционирования выше, чем для мембраны после контакта c раствором соли никеля и соответствует 199,1 нм при Rz = 558,1 нм. Влияние ионов никеля приводит к уменьшению величин амплитудных параметров поверхности примерно в 1,5 раза по сравнению с мембраной в Н-форме.
После перевода мембраны в Ni-форму поверхность мембраны МК-40 становится относительно однородной: параметр шероховатости поверхности Rz соответствует 394,4 нм, a Rа равен 141,1 нм. Бо́льшая протяженность распределения профиля отмечена у образцов мембраны МК-40 в Ni-форме, характеризующихся эксцессом 0,7 нм, по сравнению с величиной 0,16 нм для образца в H-форме, скошенность распределения была с положительным коэффициентом асимметрии 0,37 нм и отрицательным –0,43 соответственно.
Статистическая обработка в программе Gwyddion 2.61 и сопоставление гистограмм плотности распределения по высотам, определенным из микропрофиля поверхности исследуемых образцов (рис. 8, а, б), показали, что для образца в Ni-форме характерно более узкое распределение высот рельефа.
Рис. 8. Микропрофиль поверхности (а), гистограммы плотности распределения высот рельефа (б) мембраны МК-40: 1 – Н-форма, 2 – Ni-форма
Можно выделить несколько пиков в диапазоне шероховатости 130…550 нм, самые высокие плотности 6,7 и 5,9 соответствуют среднему значению шероховатостей 130 и 456 мкм соответственно. Для Н-формы наблюдается более широкий диапазон шероховатости 140…800 нм, с самыми высокими плотностями распределения 4,6 (при 800 нм) и 3,8 (при 694 нм). Полученные гистограммы для мембраны в Н-форме показали смещение плотности распределения высот в сторону больших значений шероховатости.
Совокупность неровностей, образующих микрорельеф поверхности, является причиной того, что истинная площадь поверхности выше, чем геометрическая. Истинная площадь S, отнесенная к геометрической площади Sg поверхности, называется фактором шероховатости fr = S/Sg [18, 19]. Геометрическая площадь является проекцией истинной площади на плоскость и рассчитывается из известных геометрических параметров площади сканирования образца мембраны.
Небольшие отклонения истинной площади от геометрической, установленной для поверхности образца в Ni-форме – 1,34, в то время как для образца в Н-форме это значение равно 1,08.
Заключение
Исследования зависимости влагосодержания мембран в различных солевых формах от природы и концентрации катионов показали, что в основе полученных зависимостей лежат координационные и гидратационные различия исследуемых катионов. Однако с точки зрения микрогетерогенной модели, набухшие гетерогенные мембраны – это фазово-разделенные системы, мезо- и макропоры которых заполнены раствором, по составу аналогичным равновесному. Вышеуказанные различия оказывают влияние на свойства межгелевого раствора и гелевой фазы. Таким образом, ионы никеля приводят к структурным изменениям в фазе мембраны – перераспределению воды, изменению объемных долей пор различного радиуса вследствие снижения набухания и координационной деформации матрицы.
Результаты, полученные с помощь АСМ и СЭМ, позволяют предположить, что на микрорельеф поверхности может влиять технология изготовления гетерогенной мембраны и природа противоиона. Заряд противоиона влияет на набухание ионита и размах высот микропрофиля.
Об авторах
Екатерина Сергеевна Печенкина
ФГБОУ ВО «Санкт-Петербургский государственный технологический институт (технический университет)»
Email: pechenkina_ks@mail.ru
кандидат химических наук, доцент кафедры «Технологии электрохимических производств»
Россия, Санкт-ПетербургМихаил Николаевич Бобров
ФГБОУ ВО «Санкт-Петербургский государственный технологический институт (технический университет)»
Email: pechenkina_ks@mail.ru
кандидат технических наук, доцент кафедры «Технологии электрохимических производств»
Россия, Санкт-ПетербургАрина Романовна Кузнецова
ФГБОУ ВО «Санкт-Петербургский государственный технологический институт (технический университет)»
Автор, ответственный за переписку.
Email: pechenkina_ks@mail.ru
аспирант кафедры «Технологии электрохимических производств»
Россия, Санкт-ПетербургСписок литературы
- О состоянии и об охране окружающей среды Российской Федерации в 2022 году. Государственный доклад. – М. : Минприроды России ; МГУ им. М. В. Ломоносова, 2023. – 686 с.
- Тураев, Д. Ю. Технология очистки промывной воды гальванического производства от ионов кадмия методом мембранного и безмембранного электролиза / Д. Ю. Тураев, В. А. Колесников, А. Н. Попов // Теоретические основы химической технологии. – 2020. – T. 54, № 1. – С. 75 – 82. doi: 10.31857/S0040357120010224
- Нифталиев, С. И. Применение биполярного электродиализа с модифицированными мембранами при очистке хромсодержащих сточных вод гальванического производства / С. И. Нифталиев, О. A. Козадерова, К. Б. Ким // Экология и промышленность России. – 2021. – № 25(10). – С. 4 – 9. doi: 10.18412/18160395-2021-10-4-9
- Повышение эффективности электромембранных процессов на участке электрохимического кадмирования / С. С. Кругликов, Е. А. Архипов, Д. А. Жирухин, К. Н. Смирнов, Т. А. Ваграмян, В. А. Колесников, Е. А. Филатова // Теоретические основы химической технологии. – 2021. – Т. 55, № 3. – С. 286 – 290. doi: 10.31857/S0040357121030106
- Электропроводность как критерий выбора типа ионообменных мембран для электродиализа / С. В. Шишкина, Е. А. Желонкина, Е. А. Гурина, К. И. Степанов // Общество, наука, инновации (НПК-2015) : Всероссийская ежегодная науч.-прак. конф. : сб. тр. (Киров, 13 – 24 апр. 2015). – Киров, 2015. – С. 259 – 262.
- Влияние исходной концентрации ионов металлов в многокомпонентных растворах на процесс электродиализной очистки / К. В. Шестаков, С. И. Лазарев, А. В. Крылов [и др.] // Вестник Технологического университета. – 2023. – Т. 26, № 3. – С. 21 – 25. doi: 10.55421/1998-7072_2023_26_3_21
- Мельникова, Г. Б. Современные методы для изучения структуры и свойств поверхности полимерных мембран / Г. Б. Мельникова // Методологические аспекты сканирующей зондовой микроскопии : сб. докл. XI Междунар. конф. (Минск, 21–24 окт. 2014 г.). – Минск, 2014. – С. 112 – 117.
- Гатапова, Н. Ц. Исследование диффузионной проницаемости мембраны МК-40 при работе в термодинамических условиях / Н. Ц. Гатапова, М. К. Джубари, Н. В. Алексеева // Вест. Тамб. гос. техн. ун-та. – 2020. – Т. 26, № 4. – С. 619 – 628. doi: 10.17277/vestnik.2020.04.pp.619-628
- Черняева, М. А. Влияние природы полимерной матрицы на структуру мембран / М. А. Черняева, Н. А. Кононенко, Н. П. Березина // Экологический вестник научных центров Черноморского экономического сотрудничества. – 2013. – Т. 10, № 2. – С. 101 – 108.
- Влияние заряда противоиона на электропроводность и вольтамперную характеристику катионообменной мембраны МК-40 / С. В. Шишкина, Е. А. Желонкина, К. И. Степанов [и др.] // Общество. Наука. Инновации (НПК-2017) : Всероссийская ежегодная науч.-практ. конф. : сб. ст. (Киров, 01–29 апреля 2017 г.). – Киров, 2017. – С. 415 – 423.
- Электрохимические свойства и структура ионообменных мембран при термохимическом воздействии / В. И. Васильева, Э. М. Акберова, В. А. Шапошник, М. Д. Малыхин // Электрохимия. – 2014. – Т. 50, № 8. – С. 875 – 883. doi: 10.7868/S0424857014080167
- Березина, Н. П. Перколяционные эффекты в ионообменных материалах / Н. П. Березина, Л. В. Карпенко // Коллоидный журнал. – 2000. – Т. 62, № 6. – С. 749 – 757.
- Заболоцкий, В. И. Перенос ионов в мембранах / В. И. Заболоцкий, В. В. Никоненко. – М. : Наука, 1996. – 392 с.
- Мембраны и мембранные технологии : монография / А. Б. Ярославцев [и др.] ; отв. ред. А. Б. Ярославцев. – М. : Научный мир, 2013. – 612 с.
- Голева, Е. А. АСМ-анализ поверхности профилированной сульфокатионообменной мембраны после контакта с фенилаланином / Е. А. Голева, В. И. Васильева, Е. О. Абрамова // Конденсированные среды и межфазные границы. – 2018. – Т. 20, № 3. – С. 384 – 393. doi: 10.17308/kcmf.2018.20/578
- ГОСТ 2789–73. Шероховатость поверхности. Параметры и характеристики. – Введ. 1973-04-23. – М. : Изд-во стандартов, 1973. – 6 с.
- Неоднородность поверхности ионообменных мембран по данным методов РЭМ и АСМ / В. И. Васильева, Н. А. Кранина, М. Д. Малыхин [и др.] // Поверхность. Рентгеновские, синхротронные и нейтронные исследования. – 2013. – № 2. – С. 51 – 61. doi: 10.7868/S0207352813020108
- Козадеров, О. А. Эффект шероховатости поверхности в кинетике гетерогенных процессов. Обзор / О. А. Козадеров // Конденсированные среды и межфазные границы. – 2017. – Т. 19, № 1. – С. 6 – 21.
- Анализ микрорельефа и шероховатости поверхности ионообменнных мембран методом атомно-силовой микроскопии / Н. А. Зайченко, В. И. Васильева, О. В. Григорчук [и др.] // Вестник Воронежского государственного университета. Серия: Химия. Биология. Фармация. – 2009. – № 1. – С. 5 – 14.
Дополнительные файлы











