Features of Temperament and Character in Families with Recurrent Depressive and Bipolar Affective Disorders
- Authors: Kasyanov E.D.1, Kibitov A.O.1,2, Mazo G.E.1
-
Affiliations:
- Federal State Budgetary Institution “V.M. Bekhterev National Medical Research Center of Psychiatry and Neurology” of the Ministry of Health of the Russian Federation
- Federal State Budgetary Institution “V.P. Serbsky National Medical Research Center of Ps
- Issue: Vol 44, No 2 (2023)
- Pages: 40-49
- Section: Clinical psychology
- URL: https://journal-vniispk.ru/0205-9592/article/view/126465
- DOI: https://doi.org/10.31857/S020595920024906-2
- ID: 126465
Cite item
Full Text
Abstract
The research is devoted to the study of temperament and character characteristics in families with mood disorders (recurrent depressive disorder (RВВ) and bipolar affective disorder (BD)). Many temperament and character traits tend to aggregate in families and influence the risk of RDD and BD. At the same time, no studies have been conducted in the Russian population with an assessment of temperament and character traits depending on the presence of mood disorders in families. The hypothesis of the study: patients with mood disorders and their relatives have specific features of temperament and character. 36 probands with RDD and BD and 68 of their relatives were examined, as well as 23 probands without mood disorders and 53 of their relatives. A Cloninger's Temperament and Character Inventory (TCI-125) was used to assess personality traits. The results of the study showed that probands with mood disorders, in comparison with their relatives, had significantly higher scores on such TCI-125 dimensions as novelty seeking, harm avoidance, and reward dependence. However, the main contribution to the identified differences was made by relatives without mood disorders. Probands with mood disorders had a higher score on the dimension of harm avoidance compared to healthy probands. In addition, a higher score on the novelty seeking dimension was associated with the absence of relatives with mood disorders when comparing healthy relatives of probands with mood disorders and healthy relatives of probands without mood disorders. It is concluded that there are specific temperament traits in families with mood disorders that can be considered as candidates for the endophenotypes of RDD and BD.
Keywords
Full Text
Важное значение в реагировании человека на триггеры внешней среды, а также в развитии расстройств настроения играет личность человека, в особенности её главная эмоциональная составляющая — темперамент [2]. Темперамент определяется как наследственное, биологически обусловленное ядро личности, которое остается стабильным на протяжении всей жизни и определяет базовый уровень реактивности, настроения и энергетического потенциала человека [3; 17]. При этом некоторые черты темперамента, предрасполагающие к развитию расстройств настроения, агрегируются в семьях пациентов с рекуррентным депрессивным расстройством (РДР) или биполярным аффективным расстройством (БАР) [8].
Одной из центральных моделей личности является психобиологическая модель Клонингера, на основе которой был разработан Опросник для оценки темперамента и характера (TCI-125) [4]. В данной модели темперамент описывает наследственную предрасположенность к основным типам реакций на стимулы и, как считается, опосредуется функционированием моноаминовых нейромедиаторов в головном мозге, в то время как характер отражает когнитивные процессы и Я-концепцию, которые развиваются в течение жизни [16].
Согласно Клонингеру [5], базисная трактовка дименсий темперамента имеет следующий вид: более высокий балл по дименсии (1) поиска новизны выявляет более выраженную тенденцию к активной реакции на новый стимул в целях получения вознаграждения или избежания фрустрации; дименсия (2) избегания опасности концептуализируется как склонность к торможению реакции на негативный стимул, приводящая к тревожным переживаниям, чувству неопределённости и социофобическим явлениям; дименсия (3) зависимости от поощрения определяет выраженность положительного подкрепления и просоциального поведения; дименсия (4) упорство описывает способность поддерживать поведение, несмотря только на периодическое подкрепление. Характер, с другой стороны, определяется в терминах индивидуальных различий в самооценках, которые развиваются на протяжении всей жизни в ответ на социально-культурные влияния. Характер включает в себя три дименсии: (1) самостоятельность, которая представляет собой способность регулировать и адаптировать поведение к требованиям ситуации для достижения лично выбранных целей; (2) кооперативность, выражающая степень, в которой человек в целом полезен и приятен в отношениях с другими людьми; и (3) самотрансцендентность, которая связана со способностью вспоминать прошлое и представлять будущее в своем жизненном пути, а также испытывать единство с природой и развивать духовные ценности.
Важно отметить, что что TCI обладает хорошей надежностью, внутренней согласованностью и стабильностью с течением времени [5; 12; 14], а также доказательствами наследуемости в общей популяции [12; 13; 14]. Так, оценки наследуемости для дименсий TCI варьируются от 30 до 60% в общей популяции. Тем не менее, в немногих исследованиях непосредственно оценивалась их наследуемость в семьях с расстройствами настроения. В исследовании Савитц с коллегами наследуемость дименсии избегания опасности составила 57%, зависимости от поощрения — 40%, упорства — 26% и самостоятельности — 30% [15]. При этом дименсии поиска новизны, кооперативности и самотрансцендентности в данном исследовании не были признаны наследуемыми. В более позднем исследовании Гринвуд с коллегми все дименсии, за исключением избегания опасности и зависимости от поощрения, были признаны наследуемыми, причём самым высоким уровнем наследуемости обладала дименсия характера — самостоятельность (37%) [10]. Авторы объясняют данные различия как с точки зрения размера и состава выборки (пациенты с БАР), так и отличающимися методами анализа.
Тем не менее, наибольшее количество литературы посвящено изучению клинической значимости черт темперамента и характера у лиц с расстройствами настроения. Согласно последнему метаанализу, высокий уровень избегания опасности и низкий уровень самостоятельности наиболее часто воспроизводились у пробандов с расстройствами настроениями (пробанд — лицо, с которого начинается составление родословной при генеалогическом анализе), а также у их непоражённых сиблингов, что соответствует данным генетической эпидемиологии [17]. При этом пробанды с БАР характеризовались более высокими показателями по дименсиям поиска новизны и самотрансцендентности, чем здоровые добровольцы, непоражённые сиблинги и пробанды с РДР [17]. Имеются также данные, что дименсии темперамента и характера связаны с определёнными клиническими характеристиками, такими как ответ на терапию, рекуррентность, суицидное поведение и неблагоприятный детский опыт [4; 6; 15; 17]. Вместе с тем в российской популяции ранее не проводилось семейных исследований расстройств настроения с оценкой различий черт темперамента и характера в зависимости от присутствия расстройств настроения в семьях.
Гипотеза исследования: Пациенты с расстройствами настроения и их кровные родственники имеют специфические особенности темперамента и характера.
Цель исследования: проанализировать характеристики черт темперамента и характера у пациентов с РДР и БАР, их кровных родственников и у семей без расстройств настроения.
МЕТОДИКА
Данное семейное кросс-секционное исследование выявляемости аффективных расстройств у кровных родственников пробандов с ДЭ/РДР или БАР и пробандов без каких-либо психических расстройств одобрено Независимым этическим комитетом при НМИЦ ПН им. В.М. Бехтерева (протокол №7, №ЭК-2013). Сбор материала для исследования производился на базе отделения трансляционной психиатрии НМИЦ ПН имени В.М. Бехтерева.
Участниками исследования являлись лица европейского происхождения, подписавшие информированное согласие на участие в исследовании, и отвечающие следующим критериям включения:
- Пациенты (пробанды) старше 18 лет, состояние которых отвечало диагностическим критериям МКБ-10 для депрессивного эпизода (ДЭ) или РДР (F32 или F33), а также БАР (F31). В исследование включались пациенты с коморбидными расстройствами тревожного спектра и расстройствами пищевого поведения.
1.1 Кровные родственники пробандов c ДЭ/РДР или БАР первой и второй степеней родства в возрасте старше 18 лет (необходимо обоюдное подтверждение кровного родства пациентом и родственником первой или второй степеней родства).
- Пробанды старше 18 лет без ДЭ/РДР или БАР, а также других установленных в процессе осмотра психических расстройств.
2.1 Кровные родственники пробандов без ДЭ/РДР или БАР первой и второй степеней родства в возрасте старше 18 лет (необходимо обоюдное подтверждение кровного родства пациентом и родственником первой или второй степеней родства).
Критериями невключения для всех участников исследования являлись: сопутствующий психический диагноз, соответствующий критериям МКБ-10 в рубриках психических органических расстройств (F00-09), расстройств шизофренического спектра (F20-29), а также личностных расстройств (F60-99); эпизоды судорог в анамнезе, за исключением случаев единичных простых фебрильных судорог в возрасте от 6 месяцев до 5 лет; наличие в анамнезе тяжелой травмы головного мозга, острого нарушения кровообращения или инфекционного заболевания нервной системы с устойчивым неврологическим дефицитом, а также тяжелые соматические заболевания в стадии декомпенсации.
Критериями исключения для всех участников исследования являлись: желание прекратить участие в нём; неспособность продолжать участие из-за агрессивного поведения, а также угрозы для собственной жизни или жизней других людей.
Каждый из участников проходил комплексное обследование по специально разработанной карте исследования, которая включала стандартные социодемографические и антропометрические данные, сведения об отягощённом семейном анамнезе психическими расстройствами и соматическими заболеваниями, а также различные клинические характеристики аффективных расстройств. На этапе включения в исследование все участники (пациенты и их кровные родственники) проходили диагностическое психиатрическое интервью на основе критериев МКБ-10. Семейный анамнез изучался со слов каждого участника по родственникам первой и второй линии родства, но окончательная верификация основывалась только на проведении диагностического интервью с доступными родственниками. В ходе исследования использовалась русскоязычная версия Опросника Клонингера для оценки черт характера и темперамента (Temperament Character Inventory, TCI-125) в адаптации в адаптации А.Г. Ефремова и С.Н. Ениколопова [1; 5].
Статистический анализ и визуализация данных проводились на языке программирования R (версия 4.0.2) в RStudio v1.4.1717. В качестве мер центральной тенденции использовалась медиана и межквартильный размах — Md (IQR). Категориальные переменные описывались процентными долями с приведением абсолютных чисел — %(n). Распределение количественных переменных определялось согласно критерию Колмогорова–Смирнова. Межгрупповые сравнения были проведены при помощи непараметрических критериев. Для анализа количественных переменных использовались тест Крускала–Уоллиса и пост-хок критерий Манна–Уитни для попарных сравнений. Для анализа категориальных переменных использовался критерий χ2 Пирсона. Для определения факторов риска применялась бинарная логистическая регрессия с различными зависимыми и независимыми переменными. В качестве критического уровня значимости (p), при котором отвергалась нулевая гипотеза, было выбрано значение 0.05. Значение 0.05
РЕЗУЛЬТАТЫ
С целью сравнения частоты выявления расстройств настроения среди родственников пробандов с РДР и БАР (исследовательская группа — 36 семей) и родственников пробандов без каких-либо психических расстройств (группа сравнения — 23 семьи) были сформированы две основные группы (таблица 1). Все участники исследования, включая кровных родственников, после получения информированного согласия были осмотрены психиатром по единой схеме, диагнозы были верифицированы на основании MINI.
Таблица 1. Описание групп семейного исследования
Исследовательская группа (n=104) | Группа сравнения (n=76) | |||
Пробанды с расстройствами настроения n=36 (%) | Родственники пробандов с расстройствами настроения n=68 (%) | Пробанды без расстройств настроения n=23 (%) | Родственники пробандов без расстройств настроения n=53 (%) | |
Из них: – с РДР n=16 (44.4%) – с БАР n=20 (55.6%) | Из них: – здоровых n=33 (48.5%) – с РДР n=14 (20.6%) – с БАР n=21 (30.9%) | Из них: – здоровых n=23 (100%) | Из них: – здоровых n=49 (89.8%) – с РДР n=4 (8.2%) – с БАР n=1 (2%) |
Характеристика семейных случаев. В исследовательскую группу было включено 36 семей с пробандами с диагнозами РДР 44.4% (n=16) и БАР 55.6% (n=20), а также их родственники как первой степени родства 75% (n=51), так и второй — 25% (n=17). В группу сравнения было включено 23 семьи со здоровыми пробандами (таблица 1). Все родственники пробандов без расстройств настроения были первой степени родства (n=53).
Только у пяти пробандов с БАР не было отягощённого семейного анамнеза, в остальных случаях были выявлены родственники с каким-либо расстройством настроения. Доля пробандов с РДР без отягощённого семейного анамнеза составила 31.25% (n=5), во всех остальных случаях у пробандов с РДР также были выявлены родственники с каким-либо расстройством настроения. Только у 12.5% (n=2) пробандов с РДР выявлялись родственники с подтверждёным диагнозом БАР, и только в 15% (n=3) семей пробандов с БАР выявлялись родственники с РДР. В контрольной группе в 21.7% семей (n=5) наблюдались родственники с расстройствами настроения у пробандов без каких-либо психических расстройств.
Как видно из таблицы 2, пробанды исследовательской группы и группы сравнения не различались по полу, возрасту и длительности образования (p>0.05). Родственники пробандов с расстройствами настроения были значимо младше родственников пробандов без расстройств настроения (p=0.02), но не различались по полу и длительности образования (p>0.05).
Таблица 2. Характеристика пробандов и их кровных родственников, в т.ч. при стратификации последних по наличию расстройств настроения
Исследовательская группа (n=104) | Группа сравнения (n=76) | p-value Пробанды | p-value Родственники | |||
Пробанды (n=36) | Родственники (n=68) | Пробанды (n=23) | Родственники (n=56) | |||
Пол (жен/муж) | 24 / 12 (66.7% / 33.3%) | 41 / 27 (60.3% / 39.7%) | 13 / 10 (56.5% / 43.5%) | 19 / 24 (54.7% / 45.3%) | 0.4 | 0.6 |
Возраст (лет) | 32 (11.2) | 46.7 (17.2) | 30.5 (6.9) | 55 (6.7) | 0.9 | 0.02 |
Образование (лет) | 14.1 (1.7) | 11.2 (5.7) | 14.9 (2.1) | 13.8 (2.9) | 0.6 | 0.3 |
Рост (см) | 171.6 (7.9) | 172 (9) | 173.4 (11.8) | 170 (9.8) | 0.7 | 0.2 |
Масса тела (кг) | 78.1 (9.4) | 7.4 (11.5) | 72.7 (14.2) | 73.8 (11.7) | 0.2 | 0.2 |
ИМТ (кг/см2) | 26.6 (2.2) | 26,1 (3.1) | 23.9 (3.7) | 25.6 (4.4) | 0.001 | 0.3 |
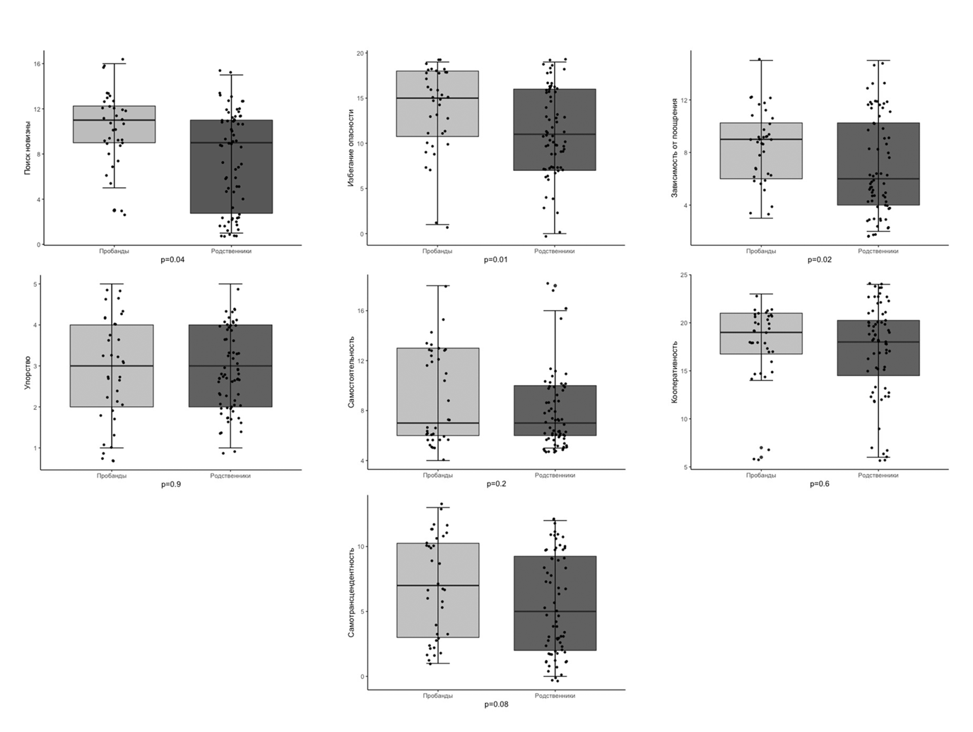
Оценка темперамента и характера в семейных случаях. Как видно из Рисунка, пробанды с расстройствами настроения, в сравнении с кровными родственниками, имели статистически значимо более высокие баллы TCI-125 по таким дименсиям, как поиск новизны (p=0.004), избегание опасности (p=0.01), зависимость от поощрения (p=0.02), а также самотрансцендентность на уровне тенденции к значимости (p=0.08).
Рис. Различия дименсий темперамента и характера у пробандов в сравнении с кровными родственниками
Однако при стратификации родственников в зависимости от наличия или отсутствия расстройств настроения не было выявлено статистически значимых различий по показателям TCI-125 у пробандов и родственников с расстройствами настроения (p>0.05) (см. таблицу 3). При этом в сравнении с родственниками без расстройств настроения, у пробандов выявлялись те же различия, что и со всеми родственниками до стратификации по наличию РДР или БАР. В связи с чем можно сделать заключение о том, что основной вклад в выявленные различия между пробандами и родственниками вносили именно родственники без расстройств настроения.
Таблица 3. Различия дименсий темперамента и характера у пробандов в сравнении с кровными родственниками в зависимости от наличия расстройств настроения
Дименсии TCI-125 | Пробанды (n=36) | Родственники (n=68) | |||||
Все | p-value | C РДР и БАР (n=35) | p-value | Без РДР и БАР (n=33) | p-value | ||
Поиск новизны | 10.2 (3.4) | 7.5 (4.4) | 0.004 | 9.7 (3.4) | 0.6 | 5.2 (3.9) | 0.001 |
Избегание опасности | 13.6 (4.7) | 11.3 (4.9) | 0.01 | 12.2 (4.4) | 0.1 | 10.2 (5.1) | 0.003 |
Зависимость от поощрения | 8.6 (2.8) | 7 (3.8) | 0.02 | 8.4 (3.8) | 0.9 | 5.7 (3.2) | 0.001 |
Упорство | 2.9 (1.3) | 2.9 (0.9) | 0.9 | 2.7 (0.9) | 0.5 | 3.1 (0.9) | 0.6 |
Самостоятельность | 18 (33.5) | 13.9 (6) | 0.2 | 13.5 (5.6) | 0.6 | 14.4 (6.5) | 0.1 |
Кооперативность | 17.7 (4.1) | 17.2 (4.9) | 0.6 | 18 (3.5) | 0.8 | 16.4 (6) | 0.5 |
Самотрансцендентность | 6.9 (3.9) | 5.5 (3.9) | 0.08 | 6.5 (3.8) | 0.6 | 4.3 (3.8) | 0.009 |
На следующем этапе анализа сравнивались пробанды и родственники исследовательской группы и группы сравнения. Как видно из таблицы 4, пробанды с расстройствами настроения имели значимо более высокий балл по дименсии избегания опасности (p=0.002) в сравнении с пробандами без расстройств настроения. Вместе с тем родственники пробандов с РДР и БАР не имели статистически значимых различий c родственниками здоровых пробандов (p>0.05); отмечалась лишь тенденция к значимости к более низкому баллу по дименсии зависимости от поощрения (p=0.07).
Таблица 4. Различия дименсий темперамента и характера у пробандов и кровных родственников исследовательской и контрольной групп
Характеристики | Исследовательская группа (n=104) | Группа сравнения (n=76)* | ||||
Пробанды (n=36) | Родственники (n=68) | Пробанды (n=23) | p-value пробанды | Родственники (n=56) | p-value родственники | |
Поиск новизны | 10.2 (3.4) | 7.5 (4.4) | 10.3 (2.9) | 0.9 | 8.9 (3.7) | 0.1 |
Избегание опасности | 13.6 (4.7) | 11.3 (4.9) | 9.7 (4.9) | 0.002 | 12.2 (4.9) | 0.5 |
Зависимость от поощрения | 8.6 (2.8) | 7 (3.8) | 7.2 (2.9) | 0.2 | 8 (2.6) | 0.07 |
Упорство | 2.9 (1.3) | 2.9 (0.9) | 2.57 (13.8) | 0.5 | 2.6 (1.6) | 0.5 |
Самостоятельность | 18 (33.5) | 13.9 (6) | 13.8 (5) | 0.6 | 14.8 (5.6) | 0.7 |
Кооперативность | 17.7 (4.1) | 17.2 (4.9) | 16.6 (4.4) | 0.2 | 17.7 (3.9) | 0.8 |
Самотрансцендентность | 6.9 (3.9) | 5.5 (3.9) | 6.5 (3.5) | 0.7 | 6.2 (3.2) | 0.3 |
Особый интерес представляло сравнение здоровых родственников пробандов с расстройствами настроения и здоровых родственников пробандов без истории РДР или БАР (см. таблицу 5). Так, здоровые родственники пробандов с расстройствами настроения имели статистически значимо более низкий балл по таким дименсиям, как “поиск новизны” (p=0.001), “избегание опасности” (p=0.09), “зависимость от поощрения” (p=0.001) и “самотрансцендентность” (p=0.003) в сравнении с родственниками пробандов без аффективных расстройств.
Таблица 5. Различия дименсий темперамента и характера у здоровых родственников пробандов с расстройствами настроения и здоровых родственников пробандов без аффективных расстройств
Здоровые родственники пробандов с РДР и БАР (n=33) | Здоровые родственники пробандов без РДР и БАР (n=49) | p-value | |
Поиск новизны | 5.2 (3.9) | 8.9 (3.7) | 0.001 |
Избегание опасности | 10.2 (5.1) | 12.5 (4.7) | 0.09 |
Зависимость от поощрения | 5.7 (3.2) | 8.2 (2.6) | 0.001 |
Упорство | 3.1 (0.9) | 2.5 (1.6) | 0.1 |
Самостоятельность | 14.4 (6.5) | 14.5 (5.6) | 0.8 |
Кооперативность | 16.4 (6) | 17.7 (4) | 0.5 |
Самотрансцендентность | 4.3 (3.8) | 6.4 (3.1) | 0.003 |
Для регрессионного анализа была построена модель, в которой для параметра наличия или отсутствия родственников с расстройствами настроения в качестве предикторов вводились дименсии TCI-125, а также пол и возраст в качестве ковариат. Было выявлено, что более высокий балл по дименсии поиска новизны был ассоциирован с отсутствием родственников с расстройствами настроения (p=0.03, β=0.8, ДИ 95% (0.7 – 1.1)).
ОБСУЖДЕНИЕ РЕЗУЛЬТАТОВ
В данном семейном исследовании было выявлено три основных наблюдения. Во-первых, пробанды с расстройствами настроения, в сравнении со здоровыми пробандами, имели более высокие баллы по дименсии “избегание опасности”. Во-вторых, те же пробанды, в сравнении со своими поражёнными родственниками, не имели значимых различий, но, при сравнении с здоровыми кровными родственниками, имели значимо более высокие баллы по таким дименсиям, как поиск новизны, избегание опасности и зависимость от поощрения. В-третьих, при сравнении здоровых родственников пробандов с расстройствами настроения и здоровых родственников пробандов без расстройств настроения было выявлено, что более высокий балл по дименсии поиска новизны был ассоциирован с отсутствием отягощённого семейного анамнеза.
Семейные исследования в целом демонстрируют сходный паттерн с нашими результатами сравнения пробандов с расстройствами настроения и их родственников по таким основным дименсиям темперамента, как избегание опасности, поиск новизны и, реже, зависимость от поощрения [7; 10; 11; 17]. Те же исследования, однако, демонстрируют больше различий между пробандами с расстройствами настроения (в особенности между пациентами с БАР) и здоровым контролем по всем дименсиям характера и, реже, дименсии поиска новизны [там же]. Вместе с тем более высокие показатели избегания опасности были более характерны для пробандов с расстройствами настроения в сравнении как с родственниками, так и здоровым контролем, что было также показано и в нашем исследовании.
В исследовании Гринвуд с коллегами [10] при сравнении здоровых родственников пробандов с БАР и здорового контроля отмечались значимые различия только в дименсии избегания опасности, тогда как в нашем исследовании для данной дименсии имелась лишь тенденция к статистической значимости. При этом в исследовании Эванс с коллегами [7] в подобных же подгруппах значимых различий ни для одной из дименсий TCI-125 выявлено не было. Однако результаты нашего исследования, касающиеся здоровых родственников пробандов с расстройствами настроения, следует трактовать вне контекста отягощённого семейного анамнеза и косвенных оценок генетического риска. Подобные оценки были бы релевантны только при сравнении сиблингов пробандов с расстройствами настроения и без них. Учитывая тот факт, что в группе здоровых родственников пробандов с расстройствами настроения были как сиблинги (n=6), так и родители, полученные результаты стоит обсуждать больше с психологической точки зрения. Так, более низкий балл по дименсии поиска новизны может, например, способствовать большей ассортативности браков (если говорить только о родителях). Т.е. эта черта в большей степени может способствовать тому, что здоровые лица заводят длительные отношения с людьми с расстройствами настроения. Дальнейшие исследования с большим размером выборки помогут более точно описать возможные различия между здоровыми родственниками пробандов с и без расстройств настроения.
Примечательно, что дименсии характера, которые отражают в большей степени социально-культурные влияния, значимо не различались среди семей с расстройствами настроения и без них. Кроме того, пробанды и родственники с расстройствами настроения значимо не различались по дименсиям темперамента и характера. Учитывая тот факт, что темперамент в большей степени связан с нейробиологическими процессами, а его определённые характеристики тесно связаны с расстройствами настроения, причём нередко эти же характеристики проявляются у непоражённых родственников пробандов, такие дименсии темперамента, как поиск новизны и избегание опасности, могут рассматриваться в качестве эндофенотипов расстройств настроения [15]. Эндофенотипы (промежуточные фенотипы) — это количественные маркеры, нейробиологически связанные с заболеванием и демонстрирующие надёжность измерения, стабильность и наследуемость [9]. На наш взгляд, эндофенотипы, основанные на дименсиях темперамента, могут быть более информативными для расстройств настроения, нежели нейрокогнитивные, т.к. первые в большей степени отражают базовый уровень реактивности, настроения и энергетического потенциала человека [3; 17]. Однако данная гипотеза требует дальнейших независимых исследований.
Ранее было показано, что клиническая и нейробиологическая гетерогенность, наблюдаемая у пациентов с расстройствами настроения, связана с личностными чертами, которые могут служить полезными эндофенотипами в генетических исследованиях [10]. Так, исследование генетического сцепления (genetic linkage study), основанное на семейном дизайне, выявило значительные пики сцепления для поиска новизны (хромосомы 7q21 и 10p15), упорства (хромосомы 6q16, 12p13 и 19p13) и самостоятельности (хромосомы 4q35, 8q24 и 18q12) у пациентов с БАР [10]. Таким образом, подобные результаты предполагают, что личностные характеристики могут быть полезны при анализе генетической архитектуры расстройств настроения.
Важно указать на ряд ограничений настоящей работы. Во-первых, данное исследование не было лонгитюдным, а имело кросс-секционный характер с ретроспективной оценкой течения заболевания, что также могло в некоторой степени снизить качество данных о течении расстройств настроения у пациентов. Во-вторых, в исследование включались пациенты из большого клинического центра (НМИЦ ПН имени В.М. Бехтерева), что, в свою очередь, могло искусственно завысить процент пациентов с отягощённым семейным анамнезом вследствие более тяжёлого течения их расстройства настроения и, следовательно, более частого обращения за медицинской помощью. В-третьих, использование строгих критериев включения для пробандов с расстройствами настроения исследовательской группы (наличие хотя бы одного поражённого родителя или обязательно двух родителей, если они были психически здоровыми) могло также завысить процент пациентов с отягощённым семейным анамнезом. В-четвёртых, недостаточная статистическая мощность могла привести к ошибке второго рода. В-пятых, мы отдельно не сравнивали пациентов и их родственников в зависимости от наличия диагноза РДР и БАР, что не позволяет однозначно экстраполировать полученные результаты на одну из данных нозологий.
ВЫВОДЫ
Таким образом, пробанды с расстройствами настроения имеют значимые различия в дименсиях темперамента и характера в сравнении как с кровными родственниками, так и с пробандами без расстройств настроения. Низкий балл по дименсии поиска новизны у здоровых родственников ассоциирован с отягощённым семейным анамнезом по расстройствам настроения. Предложена гипотеза о том, что такие дименсии темперамента, как поиск новизны и избегание опасности, могут рассматриваться в качестве эндофенотипов расстройств настроения. Требуются дальнейшие семейные исследования черт темперамента и характера в зависимости от наличия или отсутствия расстройств настроения.
About the authors
E. D. Kasyanov
Federal State Budgetary Institution “V.M. Bekhterev National Medical Research Center of Psychiatry and Neurology” of the Ministry of Health of the Russian Federation
Email: psy.journ@yandex.ru
Junior Researcher of the Translational Psychiatry Department
Russian Federation, St. PetersburgA. O. Kibitov
Federal State Budgetary Institution “V.M. Bekhterev National Medical Research Center of Psychiatry and Neurology” of the Ministry of Health of the Russian Federation; Federal State Budgetary Institution “V.P. Serbsky National Medical Research Center of Ps
Email: psy.journ@yandex.ru
Deputy Director for Innovative Scientific Development, Head of the Translational Psychiatry Department
Russian Federation, St. PetersburgG. E. Mazo
Federal State Budgetary Institution “V.M. Bekhterev National Medical Research Center of Psychiatry and Neurology” of the Ministry of Health of the Russian Federation
Author for correspondence.
Email: psy.journ@yandex.ru
Head of the Laboratory of Molecular Genetics, Leading Researcher of the Department of Translational Psychiatry
Russian Federation, St. PetersburgReferences
- Efremov A.G., Enikolopov S.N. Approbation of the biosocial Cloninger technique — the structure of character and temperament (TCI-125) and the technique of the severity of schizotypal traits (SPQ-74). Vestn. MSU. Ser. 14, Psychology. 2002. № 1. P. 92–93. (In Russian)
- Razumnikova O.M. R. Kloninger's questionnaire for determining temperament and character. Siberian Psychological Journal. 2005. № 22. P. 150–152 (In Russian)
- Azorin J.M., et al. Les endophénotypes tempéramentaux [Temperamental endophenotypes]. Encephale. 2012. V. 38. № 3. P. 70–74. (In French)
- Balestri M., et al. Temperament and character influence on depression treatment outcome. Journal of Affective Disorders. 2019. V. 252. P. 464–474.
- Cloninger C.R. A psychobiological model of temperament and character. Archives of General Psychiatry. 1993. V. 50. № 12. P. 975–990.
- Csorba J., et al. Novelty seeking: difference between suicidal and non-suicidal Hungarian adolescent outpatients suffering from depression. Journal of Affective Disorders. 2010. V. 20. № 1–3. P. 217–220.
- Evans L., et al. Familiality of temperament in bipolar disorder: support for a genetic spectrum. Journal of Affective Disorders. 2005. V. 85. № 1–2. P. 153–168.
- Fountoulakis K.N., et al. The Role of Temperament in the Etiopathogenesis of Bipolar Spectrum Illness. Harvard Review Psychiatry. 2016. V. 24. № 1. P. 36–52.
- Gottesman I.I., Gould T.D. The endophenotype concept in psychiatry: etymology and strategic intentions. Am Journ Psychiatry. 2003. V. 160. № 4. P. 636–645.
- Greenwood T.A., et al. Heritability and linkage analysis of personality in bipolar disorder. Journ Affect Disord. 2013. V. 151. № 2. P. 748–755.
- Harley J.A., et al. Bipolar Disorder and the TCI: Higher Self-Transcendence in Bipolar Disorder Compared to Major Depression. Depression Research and Treatment. 2011. V. 2011. Article ID 529638.
- Heath A.C., Cloninger C.R., Martin N.G. Testing a model for the genetic structure of personality: a comparison of the personality systems of Cloninger and Eysenck. Journ Pers Soc Psychol. 1994. V. 66. P. 762–775.
- Heiman N., Stallings M.C., Hofer S.M., Hewitt J.K. Investigating age differences in the genetic and environmental structure of the tridimensional personality questionnaire in later adulthood. Behav Genet. 2003. V. 33. P. 171–180.
- Keller M.C., Coventry W.L., Heath A.C., Martin N.G. Widespread evidence for non-additive genetic variation in Cloninger’s and Eysenck’s personality dimensions using a twin plus sibling design. Behav Genet. 2005. V. 35. P. 707–721.
- Savitz J., van der Merwe L., Ramesar R. Personality endophenotypes for bipolar affective disorder: a family-based genetic association analysis. Genes Brain Behav. 2008. V. 7. № 8. P. 869–876.
- Teraishi T., et al. Personality in remitted major depressive disorder with single and recurrent episodes assessed with the Temperament and Character Inventory. Psychiatry Clin Neurosci. 2015. V. 69. № 1. P. 3–11.
- Zaninotto L., et al. A meta-analysis of temperament and character dimensions in patients with mood disorders: Comparison to healthy controls and unaffected siblings. Journ Affect Disord. 2016. V. 194. P. 84–97.
Supplementary files



