Geographical reference adjustment of MTVZA-GYa satellite microwave radiometer frequency channels 52–91 GHz
- Authors: Sazonov D.S.1, Sadovsky I.N.1
-
Affiliations:
- Space Research Institute (IKI RAS)
- Issue: No 2 (2024)
- Pages: 88-100
- Section: КОСМИЧЕСКИЕ АППАРАТЫ,СИСТЕМЫ И ПРОГРАММЫ ИЗК
- URL: https://journal-vniispk.ru/0205-9614/article/view/262302
- DOI: https://doi.org/10.31857/S0205961424020082
- EDN: https://elibrary.ru/FOGUXW
- ID: 262302
Cite item
Full Text
Abstract
In this paper, we present a description of the method for adjusting the georeference of the “high-frequency” channels of the microwave sounder MTVZA-GYa. Analysis of radiometric measurements at a frequency of 91.65 GHz showed that the lack of horizontal polarization does not allow the use of the generally accepted georeferencing technique. Therefore, an alternative approach/method has been proposed for a group of 52–91 GHz channels that share a common horn. The method is based on the analysis of the features of the spatial distribution of the scattering index, which is an auxiliary function in the problem of restoring precipitation zones from radio polarimetric satellite measurements. The values selected based on the proposed method were: roll (−0.37 ± 0.71)°, pitch (0.21 ± 0.65)° and yaw (−1.21 ± 0.76)°. The accuracy of georeferencing using the indicated angles was 7.62 km. The inclusion of the proposed approach in the procedure for automatically determining the orientation angles of a group of frequency channels 52–91 GHz will help improve the accuracy of their geographic location, as well as the accuracy of solving remote sensing problems using them.
Full Text
ВВЕДЕНИЕ
Антенная система МТВЗА-ГЯ представляет собой однозеркальную антенну с боковым облучением параболического зеркала размером 0.65 м. Групповой многочастотный антенный облучатель включает четыре рупора, каждый из которых оптимизирован в диапазоне 10.6–23.8; 31.5–48; 52–91 и 183 ГГц. Оптические оси антенных лучей радиометрических каналов ориентированы таким образом, что они являются образующими конуса сканирования с углом при вершине 53.3°. Расхождение антенных лучей, которое обусловлено применением группового облучателя, находится в пределах углов ±6.5°.
Имеющееся угловое расхождение приводит к тому, что частотные каналы, отнесенные к разным облучателям, в фиксированный момент времени наблюдают различные элементы поверхности. С учетом скорости вращения антенного блока МТВЗА-ГЯ (144 град/сек) и высоты орбиты МЕТЕОР-М № 2—2 (830 км), а также пренебрегая линейным смещением подспутниковой точки, наблюдаемые элементы оказываются разнесенными на расстояние порядка 250 км.
Существующие методы решения обратных задач пассивной радиометрии базируются на предположении о наличии синхронных многочастотных наблюдений выделенного элемента земной поверхности. Таким образом, имеющиеся расхождения (пространственные и временные) между лучами визирования требуется устранять. В большинстве современных сканирующих спутниковых радиометров эта операция выполняется в ходе наземной обработки, после выполнения операции географической привязки для каждого частотного канала в отдельности. В свою очередь, это накладывает определенные требования (достаточно высокие) на: скорость обмена данными между блоком предварительной обработки данных (БПОД), осуществляющего сбор информации от СВЧ-каналов, и модулем сбора и передачи данных (МСПД); объем памяти запоминающего устройства в МСПД; а также к режимам работы и скорости сброса информации на Землю.
Схемотехническая реализация МТВЗА-ГЯ обеспечивает скорость обмена данными между БПОД и МСПД (через вращающееся контактное устройство (ВКУ), интерфейс RS-485) на уровне 1.6 Мбит/с. Внутренняя память МСПД построена на флэш-дисках и имеет объем 1 Гбайт. В МТВЗА-ГЯ предусмотрено два режима сброса информации: непосредственная передача данных со средней скоростью 20.8 Кбит/с (мгновенная скорость 665.4 Кбит/с) через радиолинию 1.7 ГГц в международном стандарте HRPT и сброс глобальной информации из блока накопления данных (БНД) в радиолинию 8.2 ГГц со скоростью 15.36 Мбит/с (Болдырев и др., 2008).
К сожалению, указанные параметры не позволяют выполнять формирование и передачу информационного потока со всех частотных каналов МТВЗА-ГЯ в объеме, необходимом для выполнения программного совмещения лучей визирования при их наземной обработке. В связи с этим, одной из функций БПОД является аппаратная юстировка (сведение) антенных лучей для частотных каналов, объединенных в разных облучателях антенной системы.
Принцип действия аппаратного совмещения антенных лучей состоит в следующем: результаты измерений в момент времени t0 для частотных каналов из разных групп облучателей относятся к разным элементам поверхности. Как уже было отмечено ранее – центры пятен диаграмм направленности крайних облучателей смещены на расстояние 250 км. С учетом скорости вращения антенного блока МТВЗА-ГЯ (144 град/сек), угол смещения антенных лучей в 13° будет пройден им за 0.09028 с. За это время подспутниковая точка сместиться примерно на 700 м, что пренебрежимо мало с размером элемента разрешения даже самого высокочастотного канала МТВЗА-ГЯ. Если пренебречь смещением спутника, то можно сказать, что выделенный элемент поверхности Земли, наблюдаемый в момент времени t = t0 на частотном канале из первого облучателя, попадет в поле зрения частотных каналов из второй группы облучателей (за счет вращения антенной системы) через время ∆1 (t1 = t0 + ∆1), из третьей группы – через ∆2 (t2 = t1 + ∆2 ), и из четвертой группы – в момент времени t3 = t2 + Δ3 = t0 + 0,09028 с. Таким образом, при известных значениях задержек ∆i, можно выбирать из непрерывных потоков измерений на различных частотных каналах (для разных облучателей) те моменты времени, при которых наблюдается один и тот же элемент поверхности.
Подобная процедура реализована в блоке предварительной обработки данных МТВЗА-ГЯ. Конкретные времена задержек были определены в безэховой камере на этапе наземных испытаний аппаратуры. Следует отметить, что точность подобного совмещения лучей заведомо ниже, чем при независимой географической привязке каждого частотного канала по отдельности с последующей программной привязкой лучей визирования. Это объясняется как малой удаленностью источника излучения в условиях безэховой камеры, так и существенными отличиями лабораторных источников шумовых сигналов от точечного источника. При этом, как показали проведенные исследования (Садовский, Сазонов, 2023), программное независимое сведение лучей при обработке получаемых данных может быть выполнено с точностью 0.08°. Также следует обратить внимание, что в условиях существующих технических ограничений, описанных ранее, реализованный в МТВЗА-ГЯ подход был единственно возможным.
Данная процедура описывает юстировку лучей визирования МТВЗА-ГЯ в азимутальной плоскости и, при наличии ошибок в ее реализации, может быть легко скорректирована для низкочастотных (поверхностных) каналов данного прибора по методике, описанной в (Садовский, Сазонов, 2022(a)). Сложнее обстоит дело с юстировкой лучей визирования в угломестной плоскости. В литературе отсутствуют любые результаты оценок возможности расхождения ориентации лучей визирования для МТВЗА-ГЯ. При этом введение корректирующих углов крена, тангажа и рыскания, определенных для частотных каналов ниже 37 ГГц (Садовский, Сазонов, 2023), в алгоритм географической привязки МТВЗА-ГЯ (Садовский, Сазонов, 2022(a)) позволило обеспечить точность их (каналов) привязки на уровне 4.5 км, однако качество географической для канала 91.65 ГГц оказалось существенно хуже. Характер наблюдаемых ошибок свидетельствует о том, что для данного частотного канала характерно не только расхождение по углу рыскания (ранее упомянутый азимут), но и существенно отличные значения угла тангажа (по предварительным оценкам – более 1°).
Более того, провести привязку канала 91.65 ГГц можно по схеме, аналогичной применяемой для низкочастотных (поверхностных) каналов МТВЗА-ГЯ, невозможно. Как показано в работe (Wiebe et.al., 2008) аналогичный метод работает для прибора AMSR-E при наличии измерений на горизонтальной поляризации на частоте 89 ГГц. К сожалению, у прибора МТВЗА-ГЯ на частоте 91.65 ГГц работает только вертикальная поляризация, поэтому применение упомянутой методики затруднено (как это будет показано ниже) в силу малого контраста яркостных температур вода/суша и сильного влияния атмосферных явлений (паросодержание, капельная влага, осадки).
Таким образом, необходимо было разработать альтернативный подход/метод для выполнения географической привязки (определения поправочных углов крена, тангажа и рыскания) группы каналов 52–91 ГГц, которые используют общий рупор. Описанию процесса определения корректирующих геопривязку углов для частотного канала 91.65 ГГц МТВЗА-ГЯ и посвящена содержательная часть данной работы.
МИНИМИЗАЦИЯ РАСХОЖДЕНИЙ В ИЗМЕРЕНИЯХ НА ВОСХОДЯЩИХ И НИСХОДЯЩИХ ПОЛУВИТКАХ
Как уже было отмечено ранее, корректировка географической привязки частотных каналов в районе 90 ГГц обычно проводится аналогично методикам, применяющимся для более низких частот. В связи с этим, работы авторов по корректировке геопривязки частотного канала 91.65 ГГц МТВЗА-ГЯ были начаты с реализации метода минимизации расхождения данных на восходящих и нисходящих полувитках.
В работе (Садовский, Сазонов, 2023) представлено подробное описание этого подхода, позволяющего контролировать качество географической привязки МТВЗА-ГЯ и определять оптимальные значения корректирующих углов крена, тангажа и рыскания, определяющих несовпадение приборной системы координат с системой координат космического аппарата. В материалах упомянутой публикации был предложен итерационный алгоритм подбора этих углов, где в качестве минимизируемой функции использовалась разница измерений яркостных температур (случая горизонтальной поляризации, имеющей максимальный контраст перехода вода/суша), полученных для одного элемента поверхности на восходящих и нисходящих полувитках. Было показано, что введение найденных поправочных углов в процедуру географической привязки МТВЗА-ГЯ позволяет существенно снизить ее ошибки. Так, средние расхождения береговых линий, заимствованных из высокоточных географических баз данных и восстановленных по радиометрическим портретам, при выполнении корректировки географической привязки составили 4.36 км (что почти в 5 раз лучше существующих показателей (20.03 км), обеспечиваемых автоматической программой первичной обработки данных). По замечанию авторов, данный подход позволяет с высокой точностью оценить искомые поправочные углы, применимые для каналов 10.6–23.8 и 31.5–48 ГГц (двух облучателей, в которых объединены указанные группы частот).
Однако использование указанного подхода при работе с данными частотного канала 91.65 ГГц МТВЗА-ГЯ не позволило получить однозначных оценок поправочных углов. Так, разброс получаемых решений при обработке данных вертикальной поляризации этого канала (вместо неработающей горизонтальной), составил от ±0.64° до ±1.22° для углов тангажа и рыскания, соответственно. Такая точность (для геометрии сканирования МТВЗА-ГЯ полученный разброс углов соответствует смещению элемента наблюдения на поверхности ±(30 ÷ 60) км) не позволяет говорить о корректности определения поправочных углов. Поэтому был выполнен переход к следующему методу их поиска.
ПОИСК ПОПРАВОЧНЫХ УГЛОВ НА ОСНОВЕ АНАЛИЗА ПРОСТРАНСТВЕННОГО РАСПРЕДЕЛЕНИЯ ИНДЕКСА РАССЕЯНИЯ В ОБЛАСТЯХ ВЫПАДЕНИЯ ОСАДКОВ
В работе (Сазонов, 2023) был выполнен анализ возможности восстановления интенсивности осадков по данным МТВЗА-ГЯ. Для оценки интенсивности осадков использовался индекс рассеяния SI (англ. Scattering Index), предложенный в работе (Grody, 1991). Данный индекс характеризует наличие лишь тех веществ в атмосфере и на поверхности, которые рассеивают восходящее радиотепловое излучение. Применительно к радиометрическим каналам прибора МТВЗА-ГЯ, индекс рассеяния для частоты 91.65 ГГц (случай вертикальной (V) поляризации), может быть записан в виде
(1)
где F – некоторая функция, выраженная в виде суммы радиояркостных температур (с разными весовыми коэффициентами) на частотах, отличных от 91.65 ГГц, и характеризующая каким могло бы быть излучение на частоте 91.65 ГГц в отсутствии рассеяния; – измеряемая прибором радиояркостная температура на частоте 91.65 ГГц (вертикальная поляризация). Известно, что при наличии рассеяния (на дождевых каплях), радиояркостная температура уменьшается. При этом расчет по формуле (1) всегда должен давать положительное значение параметра SI, а его абсолютное значение позволяет оценивать интенсивность осадков (количество рассеивателей в атмосфере). Детальный алгоритм построения функции F в уравнении (1) и последовательность операций, позволяющих выделять зоны с осадками, приведены в работе (Сазонов, 2023).
При применении описанного алгоритма к длинным рядам измерений МТВЗА-ГЯ была отмечены следующие особенности: во-первых, сравнение с данными реанализа GPM IMERG демонстрирует систематическое смещение зон локализации осадков и оценок их интенсивности; во-вторых, на картах распределения индекса рассеяния по данным МТВЗА-ГЯ проявляются хорошо идентифицируемые зоны с отрицательными значениями SI. Это противоречит физическим представлениям, используемым при введении этого параметра. Характер расположения этих зон и их систематика (области с отрицательными значениями SI смещены по ходу движения спутника относительно областей с осадками для восходящих витков (рис. 1) и против, для нисходящих), свидетельствуют о присутствии дополнительного (по отношению к низкочастотным каналам) угла тангажа в ориентации луча визирования частотного канала 91.65 ГГц.
Рис. 1. Пример характерного пространственного распределения индекса рассеяния SI в районах выпадения осадков по данным МТВЗА-ГЯ.
На основе анализа описанной ситуации был сделан вывод, что одной из возможных (и наиболее вероятных) причин может быть некорректное сведение лучей визирования для различных частотных каналов прибора МТВЗА-ГЯ (отсутствие соосности лучей визирования каналов 52–91 ГГц и каналов 10.6–23.8, 31.5–48 ГГц), когда в расчете функции F используются корректно привязанные данные низкочастотных каналов, а в итоговом выражении (1) присутствует параметр с ошибочной геопривязкой).
Это заключение легло в основу метода поиска поправочных углов крена, тангажа и рыскания для канала 91,65 ГГц.
АЛГОРИТМ ПОДБОРА КОРРЕКТИРУЮЩИХ УГЛОВ ПО ОБЛАСТЯМ ОСАДКОВ
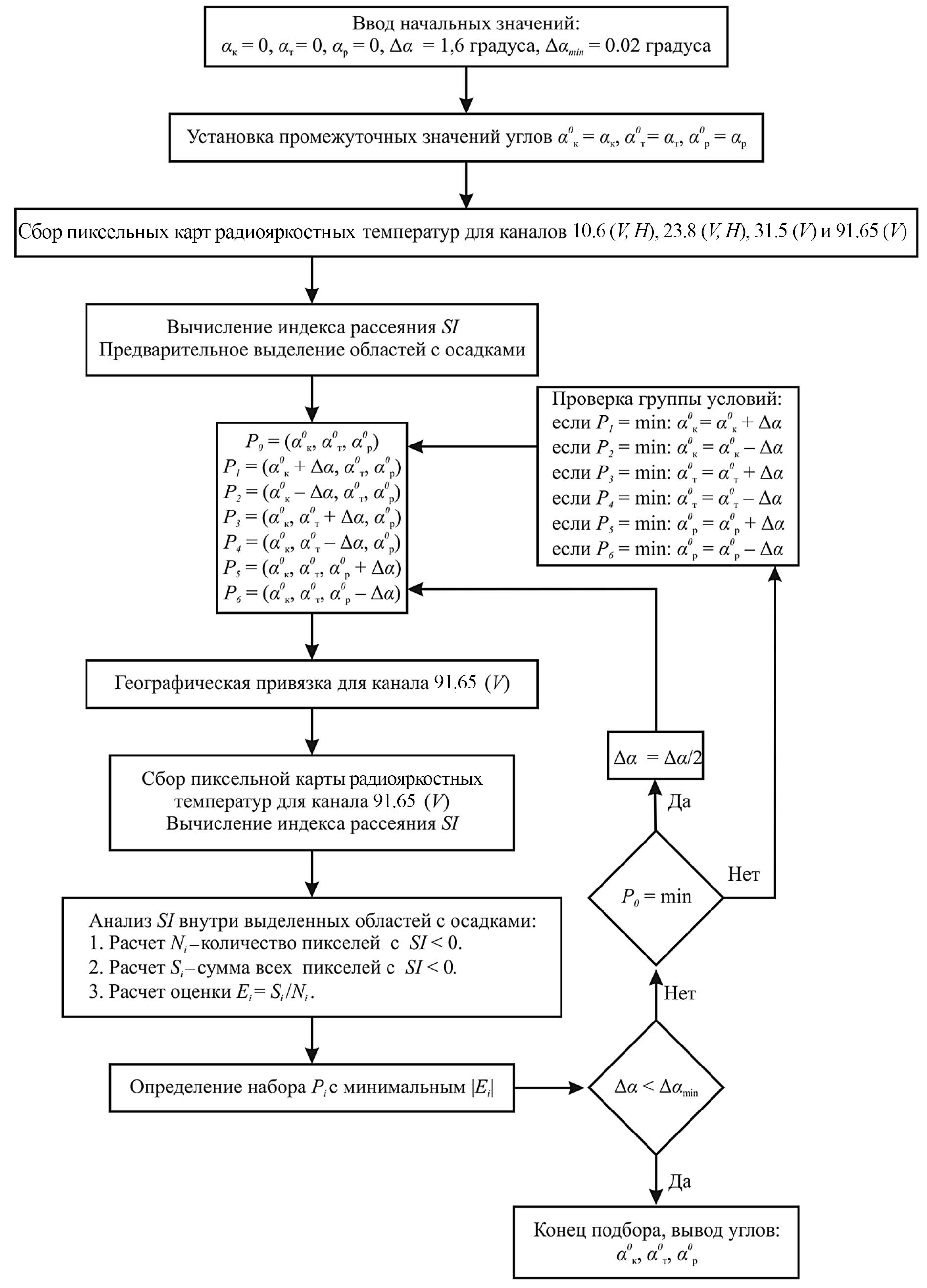
Общая идея предложенного подходы заключается в определении углов, при которых минимизируется суммарное отрицательное значение индекса рассеяния SI для всех выделенных областей осадков за один день наблюдений. Общая блок-схема алгоритма представлена на рис. 2.
Рис. 2. Блок-схема алгоритма подбора корректирующих углов для канала 91.65 ГГц.
На первом этапе реализации алгоритма происходит установка параметров поиска и начальных значений искомых углов: начальные углы крена αк, тангажа αт и рыскания αр имеют нулевые значения; шаг изменения угла для текущей итерации Δα = 1.6° (одинаковый для всех трех углов); минимально допустимый шаг по углу, при котором принимается решение о завершении поиска Δαmin, составляет 0.02°. Далее происходит установка промежуточных значений углов , и . Затем производится сбор пиксельных карт (нанесение спутниковых измерений на регулярную координатную сетку с шагом 0.25°) для каналов 10.6(V, H) 23,8(V.H), 31.5(V) и 91.65(V). Эта операция производится вне итерационного цикла, один раз, на основе имеющейся геопривязки (Садовский, Сазонов, 2022) данных частотных каналов из диапазонов 10.6–23.8 и 31.5–48 ГГц, выполненной в соответствии с поправками (Садовский, Сазонов, 2023). Последним подготовительным этапом является вычисление индекса рассеяния SI и предварительное выделение областей с осадками (локализация предположительных зон осадков для последующего анализа не всех суточных композитов, а лишь малых прямоугольных областей вокруг выделенных зон).
Цикл подбора корректирующих углов (выполняется отдельно для восходящих и нисходящих полувитков) начинается с формирования семи наборов (Рi) корректирующих углов (индекс “i” соответствует каждому из 7 наборов углов). Для каждого из сформированных наборов, на основе суточных измерений МТВЗА-ГЯ для канала 91,65(V) выполняется операция географической привязки в соответствии с методикой (Садовский, Сазонов, 2022(а)). В результате этой операции каждому измерению МТВЗА-ГЯ ставятся в соответствие географические координаты на поверхности Земли. Результат географической привязки накладывается на регулярную сетку с шагом 0.25°. Далее производится расчет индекса рассеяния SI для определенных на начальном этапе (до начала итерационного цикла) областей с осадками.
Следующим этапом является анализ рассеяния внутри выделенных областей с осадками. Рассчитывается значения двух параметров: Ni – количество пикселей, для которых SI < 0, и Si – сумма значений индекса рассеяния для этих пикселей. В качестве оценки и минимизируемого параметра выступает отношение суммы пикселей с отрицательными значениями индекса рассеяния к их количеству (Еi = Si / Ni). Чем ближе это отношение к нулю, тем точнее совпадают области с осадками, определенными по набору каналов 10.6(V, H) 23.8(V, H), 31.5(V) и по измерениям на канале 91.65(V).
Сравнивая между собой полученные значения Еi можно выделить набор углов, для которых |Еi| имеет минимальное значение. В случае, если оно соответствует “центральному” набору Р0 – на следующей итерации он останется неизменным, но производиться уменьшение шага по углу Δα вдвое, и все перечисленные операции алгоритма повторяются для вновь сформированных наборов Рi. Если же минимальное число пикселей соответствует другому набору углов (не Р0), то именно он становится “центральным” (Р0) на следующей итерации и, как и в первом случае, все операции алгоритма повторяются (с сохранением прежнего шага Δα).
Критерием нахождения оптимального сочетания корректирующих углов крена, тангажа и рыскания или, другими словами, критерием завершения итерационного цикла описанных операций, является достижение шага Δα, заданного значения Δαmin (в нашем случае – 0.02°). Для геометрии сканирования МТВЗА-ГЯ, подобная точность подбора корректирующих углов геопривязки соответствует смещению по поверхности Земли на величину порядка 0.8 км, что более чем достаточно с учетом размера элемента разрешения МТВЗА-ГЯ (16 км).
РЕЗУЛЬТАТЫ ПОИСКА КОРРЕКТИРУЮЩИХ УГЛОВ ДЛЯ КАНАЛА 91.65 ГГЦ
Описанный в предыдущем разделе алгоритм поиска корректирующих углов крена, тангажа и рыскания применялся при обработке данных измерений МТВЗА-ГЯ, полученных с этого прибора за 2020 год. Данные измерений, прошедшие первичную обработку до уровня L1B (с использованием программного комплекса предварительной обработки измерений МТВЗА-ГЯ) были предоставлены для анализа сотрудниками АО “Российские космические системы” (РКС). После сортировки (включающей выбраковывание ошибочных и неполных данных), выполняемой в автоматическом режиме комплексом предварительной обработки, набор данных составил 281 сутки измерений. Из этого массива суммарно было выделено 3448 областей осадков для восходящих витков и 4166 для нисходящих витков.
Алгоритм поиска применялся для каждого дня измерений, что позволило накопить статистику, представленную на рис. 3. Средние значения и СКО полученных за весь период решений составили: угол крена (–0.37 ± 0.71)°, угол тангажа (–0.09 ± 0.65)° и угол рыскания (–1.21 ± 0.76)°. Следует отметить, что точность подбора корректирующих углов по данному алгоритму (на основе визуальных оценок качества совпадения береговых линий с линиями максимального градиента яркости на частоте 91.65 ГГц (V), а также сравнения разброса получаемых решений) оказалась лучше, чем при использовании метода минимизации расхождений измерений на восходящих и нисходящих витках, описанного в начале данной работы.
Рис. 3. Результаты определения корректирующих углов крена, тангажа и рыскания по данным измерений МТВЗА-ГЯ на частоте 91.65 ГГц (V) за 2020 г. Каждая точка – результат обработки данных за одни сутки.
На рис. 4 приведены карты геопривязанных данных МТВЗА-ГЯ для частоты 91.65 ГГц (V). На верхних картах показаны данные, которые были предоставлены сотрудниками АО РКС. Здесь геопривязка выполняется программой предварительной обработки данных с использованием корректирующих углов, рекомендованных в работе (Садовский, Сазонов, 2023). На нижних картах – аналогичные данные после внесения в процедуру геопривязки указанных выше корректирующих углов. Визуальная оценка полученных карт показала, что после коррекции береговая линия Австралии на радиометрических изображениях сместилась по направлению условной траектории движения спутника как восходящих, так и для нисходящих полувитков. Это обеспечило лучшее совпадение с географической береговой линией, отмеченной на рисунке черным цветом.
Рис. 4. Карты геопривязанных радиоизмерений на частоте 91.65 ГГц (V). Сверху – данные с геопривязкой, выполненной программой предварительной обработки данных МТВЗА-ГЯ; снизу – данные после коррекции геопривязки на основе найденных углов. Данные за 5 апреля 2022 года.
АНАЛИЗ КАЧЕСТВА ГЕОГРАФИЧЕСКОЙ ПРИВЯЗКИ
До сих пор для оценки качества итогового решения задачи подбора корректирующих углов для частотного канала 91.65 ГГц (V), мы использовали лишь визуальные оценки (рис. 4), позволяющие оценить результат (применения корректирующих углов, имеющих среднегодовые значения) лишь качественно. Очевидно, что это приемлемо лишь на начальных этапах решения поставленной задачи. Обоснованием заключения об улучшении качества геопривязки может быть лишь сравнения конкретных числовых показателей.
Одним из способов оценки качества географической привязки является сравнение близости расположения истинной береговой линии (с привлечением высокоточных картографических данных) и восстановленной по радиоиметрическим портретам. Последнее оказывается возможным из-за существенной разницы в интенсивности излучения водной поверхности и суши. Например, для горизонтально поляризованного излучения эта разница может достигать 100К. Таким образом, если измерения проводятся в направлении, перпендикулярном береговой линии, то задача определения точки пересечения линии визирования радиометра с реальной береговой линией (сглаженной за счет конечной ширины диаграммы направленности антенной системы) сводится к определению положения максимума производной яркостной температуры, как функции координат элемента разрешения на поверхности.
Хотя метод является достаточно простым, при обработке данных радиометрических систем с коническим сканированием возникают существенные затруднения. Основными из них являются: изрезанность береговых линий (невозможность выделения протяженных прямолинейных участков); сложная траектория перемещения точки наблюдения на поверхности при перемещении спутника-носителя. Говоря непосредственно об инструменте МТВЗА-ГЯ, также следует отметить проблему выделения береговой линии для канала 91.65 ГГц, поскольку он функционирует только на вертикальной поляризации, с существенно меньшей разницей в излучении вода/суша (всего порядка 30–40 К при угле встречи с землей 65°), чем на горизонтальной. Последнее усугубляется высокой чувствительностью канала с частотой 91.65ГГц к атмосферным явле- ниям (большое содержание водяного пара, капельной влаги и осадков).
Для решения задачи определения численных показателей качества геопривязки в условиях описанных выше трудностей, авторами работы были предприняты следующие действия. Радиометрические измерения на канале 91.65 ГГц (V), представленные в виде отдельных геопривязанных точек на поверхности (элементов отдельных сканов, смещающихся вдоль направления движения спутника), накладывались на регулярную сетку с шагом 0.25°. Это позволило отказаться от сложной процедуры поиска точки пересечения криволинейной траектории движения луча визирования по поверхности с истинной береговой линией, в пользу анализа лишь меридиональных или широтных зависимостей яркостных температур, также демонстрирующих переходы интенсивности на границе вода/суша. При этом, однако, возникает ограничение на выбор участков береговых линий, пригодных для анализа. Они должны быть не только прямолинейными и протяженными, но и, по возможности, иметь перпендикулярную меридианам или параллелям ориентацию. К таким участкам можно отнести южный берег Австралии (121°–135° в. д.), и западное побережье Северной Америки (39°–47° с.ш.). Указанные области находятся в южных и северных субтропических и умеренных широтах, что позволяет уменьшить влияние паросодержания в атмосфере на качество выделения береговых линий.
Выделение береговой линии выполняется следующим образом: в каждой из тестовых областей выбираются значения с максимальной и минимальной суточной радиояркостной температурой; рассчитывается среднее значение яркости, которое будет соответствовать середине перехода вода-суша; в пределах тестовой области определяются координаты точек, имеющих рассчитанное среднее значение радиояркости. Для повышения точности, на последнем из указанных этапов выполняется интерполяция значений яркости между узлами сетки (разнесенных на 0.25°) и искомые координаты точки, имеющей среднее значение яркости, определяются только после этого. Для тестового участка с горизонтальным расположением береговой линии, как у южного берега Австралии, все измерения интерполируются вдоль каждого меридиана с фиксированной долготой. Аналогично расчет выполняется для вертикальной береговой линии, только интерполяция происходит вдоль параллелей.
Первые результаты применения описанной технологии выделения береговой линии по радиометрическим изображениям на частоте 91.65 ГГц (V) показали, что не смотря на обоснованный с точки зрения метеорологических условий выбор тестовых полигонов, периодическое повышение паросодержания, капельной влаги и зон осадков существенно искажают картину выделенной береговой линии. Поэтому было принято решение об обработке лишь тех участков тестовых полигонов, которые соответствуют случаю безоблачной атмосферы с малым содержанием водяного пара. Для оценки нужных метеорологических условий были использованы данные реанализа, позволившие выделить точки, в которых паросодержание было менее 20 мм, интенсивность осадков менее 0,1 мм/ч и водозапас облачности менее 0.1 мм. Данные по интенсивности осадков и капельной влаге были взяты из базы данных реанализа GPM IMERG (Integrated Multi-satellitE Retrievals for Global Precipitation Measurements (Huffman et.al., 2019)). Данные по паросодержанию – из CDS ECMWF (Climate Data Store ECMWF reanalysis (Hersbach et al., 2018)).
После выполнения указанной операции фильтрации оказалось, что существенно меньшее число оставшихся точек за одни сутки измерений не позволяет говорить о выделение береговой линии на всем протяжении тестовых полигонов, а, значит, дальнейшие операции усреднения вычисляемых смещений восстановленной и географической береговых линий будут выполняться для переменного объема выборок. Поэтому было принято решение работать не с результатами суточного восстановления береговых линий (на которых было много “пропущенных” участков, отфильтрованных по причине несоответствия заданным метеорологическим параметрам), а применить операцию накопления этих суточных изображений (кусков береговых линий) за весь доступный период измерений, “накладывая” их друг на друга. Отсутствие, как сезонных вариаций, так и менее краткосрочных трендов в результатах подбора корректирующих углов (рис. 3) свидетельствует стабильности работы частотного канала 91.65 ГГц (V) МТВЗА-ГЯ, а также о стабильной ориентации спутника на орбите, что позволяет накапливать данные за большие интервалы времени. Накопление было выполнено за весь доступный (предоставленный сотрудниками АО РКС) авторам период измерений (с февраля по декабрь 2020 года).
Операция накопления результатов суточного определения береговых линий выполнялась следующим образом. В пределах тестового полигона, по данным суточных измерений 91.65 ГГц (V) производилась оценка положения береговой линии по методике, описанной ранее. При этом, в пределах тестового полигона с фиксированными координатами, пикселям, соответствующим найденной береговой линии присваивалось значение “1”, а всем остальным – “0”. Дополнительно обнуляются пиксели (выделенные как береговая линия), несоответствующие заданным метеорологическим условиям. Данная операция производится для всех доступных суточных композитов. После этого формируется итоговое изображение, каждый пиксель которого представляет собой сумму значений соответствующих пикселей всех имеющихся суточных композитов. Таким образом, максимальные значения (яркость) на накопленном изображении будут иметь пиксели, в которых алгоритм суточного выделения определил его как береговую линию максимальное число раз. Результаты накопления данных по определению береговой линии для тестового региона Австралия представлены на рис. 5.
Рис 5. Накопление береговой линии за 2020 г. с учетом отбора по паросодержанию менее 20 мм, интенсивности осадков менее 0,1 мм/ч и водозапасу облачности менее 0.1 мм.
На представленных изображениях видно, что накопленные карты для восходящих и нисходящих витков отличаются. В частности, на карте для нисходящих витков наблюдается существенное размытие положения береговой линии. Это объясняется снижением разницы яркостных температур вода-суша в ночное время, приводящее к росту влияния на алгоритм выделения береговых линий даже малых изменений состояния атмосферы. Несмотря на размытость, благодаря большому накоплению данных даже карты для нисходящих полувитков позволяют достаточно четко выделять искомую береговую линию. Для региона северной Америки карты накопленных данных выглядят аналогично.
Итоговая береговая линия по накопленным композитным изображениям (рис. 6) формируется путем соединения пикселей, имеющих максимальную яркость (значение). Результат этой операции для нисходящих и восходящих полувитков МТВЗА-ГЯ (для частотного канала 91.65 ГГц (V)) приведен на рис. 6. Также на этом графике представлена береговая линия, полученная по высокоточным географическим картам.
Рис. 6. Найденные береговые линии с геопривязкой по областям осадков. Пунктир – по восходящим виткам, точки – по нисходящим виткам. Сплошная – точная береговая линия.
Далее для выбранного региона вычисляется расстояние между точной береговой линией и определенной по накопленным данным. Для горизонтальной береговой линии (тестовый регион Австралия) расстояние рассчитывается строго по меридианам, для вертикальной (тестовый регион Северная Америка) линии – по параллелям. Средние значения и СКО расстояния между восстановленной по радиометрическим изображениям и истиной береговыми линиями приведены в таблице 1 (первая строка), и на рис. 7.
Рис. 7. Гистограммы расстояния между найденной и точной береговой линией для четырех вариантов ручной коррекции угла тангажа.
Восстановленные береговые линии (рис. 6) качественно повторяют истинную географическую линию. При этом линия для восходящих витков находится выше истинной, а для нисходящих – ниже. В табл. 1 статистические значения для этого случая относятся к нулевой поправке тангажа. Таким образом, средняя точность географической привязки составляет 11.515 ± 11.08км.
В работе (Садовский, Сазонов, 2022(б)) было показано, что смещение горизонтальной береговой линии вдоль направления движения спутника определяется углом тангажа. Поэтому было принято решение скорректировать этот угол вручную и проверить, как изменятся показатели точности геопривязки. Для этого были выполнены расчеты карт береговых линий, аналогичных представленных на рис. 6. При этом вводилась ручная коррекция угла тангажа, которая составила +0.1°, +0.2° и +0.3° (относительно найденного в автоматическом режиме значения –0.09°). Статистические оценки полученных показателей точности для всех трех вариантов приведены в табл. 1 и на рис. 7). суммарная точность географической привязки с коррекцией тангажа +0.3° составила 7.62 ± 10.64 км, что почти вдвое лучше, чем с нулевой коррекцией.
В материалах данной работы, в целях экономии, не приведены графики гистограмм для региона Северная Америка. Следует отметить, что они идеологически схожи с графиками, представленными на рис. 8. Отличие заключается в характере отклика на вводимые поправки, что объясняется геометрией сканирования МТВЗА-ГЯ и способом введения поправочных углов. Так, достаточно четкое проявление изменения угла тангажа в областях с горизонтальным расположением береговых линий приводит к малозаметному продольному смещению их при вертикальной ориентации. При этом, незаметные глазу эти продольные смещения вызывают непредсказуемые (из-за мелкомасштабных неровностей береговых линий), как это видно из табл. 1, изменения статистических показателей. Зеркальный эффект должны оказывать изменения углов рыскания и крена на выделенные тестовые участки береговых линий – четкое проявление смещения при их вертикальной ориентации и малозаметные изменения при горизонтальной. Исходя из этого можно сделать вывод, что метод точной ручной коррекции углов рыскания и крена может быть использован для их уточнения на основе анализа предложенного подхода работы с накопленными композитными изображениями. К сожалению, авторы работы не обладают вычислительными мощностями, достаточными для автоматизации этого процесса. При этом, как это было показано в работе (Садовский, Сазонов, 2022(б)), минимизируемая функция может иметь множество локальных минимумов в трехмерном пространстве углов крена, тангажа и рыскания, поэтому вероятность нахождения близкого к истинному решения при ручном подборе близка к нулю.
Из полученных результатов становится очевидным, что метод формирования композитных карт береговых линий по данным измерений на частоте 91.65 ГГц (V) в соответствии с предложенной методикой является наиболее точным для определения корректирующих углов крена, тангажа и рыскания ориентации антенной системы этого канала. Именно поэтому он был использован в работе для оценки количественных показателей точности выполнения географической привязки. Полученные на его основе корректировки угла тангажа являются лишь демонстрацией возможности данного подхода и, при наличии нужных вычислительных ресурсов, могут быть использованы в будущем для дальнейшего улучшения качества геопривязки высокочастотных каналов МТВЗА-ГЯ.
ЗАКЛЮЧЕНИЕ
В рамках выполненных исследований было показано, что реализованная на аппаратном уровне система сведения лучей визирования МТВЗА-ГЯ дает ошибочную географическую привязку группы каналов 52–91 ГГц. Традиционно используемый для корректировки географической привязки высокочастотных каналов метод (минимизации расхождений результатов измерений на восходящих и нисходящих полувитках) оказался неприменим в силу неработоспособности частотного канала 91.65 ГГц (H).
Для определения истинных углов визирования этой группы каналов в системе координат спутника-носителя“МЕТЕОР-М” № 2–2 были использованы доступные результаты измерений на частоте 91.65 ГГц (V). Для этих целей был предложен подход, основанный на анализе особенностей пространственного распределения индекса рассеяния, являющегося вспомогательной функцией в задаче восстановления зон выпадения осадков по данным радиополяриметрических спутниковых измерений.
Его применение позволило наглядно продемонстрировать отличие в направлении визирования группы каналов 52–91 ГГц по отношению к более низкочастотным. Полученные по результатам обработки измерений МТВЗА-ГЯ за 2020 год корректирующие углы составили: крен (–0.37 ± 0.71)°, тангаж (–0.09 ± 0.65)° и рыскание (–1.21 ± 0.76)°. Средние расхождения истинной географической и восстановленной по радиометрическим портретам береговых линий составили 11.515 ± 11.08 км, что существенно лучше уровня имеющихся в настоящее время ошибок геопривязки этой группы каналов, обозначенного во Введении (более 40 км).
Предложенный авторами метод количественной оценки качества геопривязки основан на составлении композитных изображений береговых линий, накапливаемых в пределах доступных измерений. Данный подход позволил не только получить требуемые показатели, но и выполнить коррекцию найденного угла тангажа, обеспечившую точность географической привязки на уровне 7.62 км. Включение предложенного подхода в процедуру автоматического определения углов ориентации группы частотных каналов 52–91 ГГц будет способствовать повышению точности их географической привязки, а также точности решения задач дистанционного зондирования их использующих. Также, предложенный алгоритм может быть использован для анализа данных следующих приборов серии МТВЗА.
Обобщая все результаты, авторы рекомендуют использовать следующие значения корректирующих углов для группы каналов 52–91 ГГц МТВЗА-ГЯ: крен (–0.37 ± 0.71)°, тангаж (0.21 ± 0.65)° и рыскание (–1.21 ± 0.76)°.
Следует отметить еще раз, что описанный в настоящей публикации метод географической привязки высокочастотных каналов прибора МТВЗА-ГЯ является, в первую очередь, “аварийным”. При обработке данных измерений последующих приборов этой серии, при штатном функционировании всех частотных каналов, правильнее использовать “традиционный” метод географической привязки (описанный авторами в (Садовский, Сазонов, 2023)). Основываясь на результатах работы (Wiebe et al., 2008) и с учетом заявляемых разработчиками МТВЗА-ГЯ (Болдырев и др., 2008) размеров пространственного элемента разрешения на частоте 91.65 ГГц, ожидаемая точность применения этого метода географической привязки должна составить порядка 3.2 км, что вдвое лучше использования “аварийного” алгоритма.
По мнению авторов работы, затронутая в данной публикации проблема и поиск нестандартных подходов к ее решению свидетельствует о необходимости отказа от существующей системы аппаратного сведения лучей визирования МТВЗА-ГЯ при реализации новых приборов этой серии.
БЛАГОДАРНОСТИ
Авторы выражают благодарность А. М. Стрельцову (АО “Российские космические системы”) за своевременное и оперативное предоставление предобработанных данных измерений МТВЗА-ГЯ, использованных в работе.
ИСТОЧНИК ФИНАНСИРОВАНИЯ
Работа выполнена при поддержке Министерства образования и науки Российской Федерации (тема “Мониторинг”, госрегистрация № 122042500031-8).
About the authors
D. S. Sazonov
Space Research Institute (IKI RAS)
Author for correspondence.
Email: sazonov_33m7@mail.ru
Russian Federation, Moscow
I. N. Sadovsky
Space Research Institute (IKI RAS)
Email: sazonov_33m7@mail.ru
Russian Federation, Moscow
References
- Boldyrev V.V., Il'gasov P.A., Pantsov V.Yu., Prokhorov Yu.N., Strel'nikov N.I., Chernyi I.V., Chernyavskii G.M., Yakovlev V.V. Mikrovolnovyi skaner/zondirovshchik MTVZA-GYa KA «Meteor-M» № 1 // Kosmicheskaya elektromekhanika. Voprosy elektromekhaniki. 2008. V. 107. (In Russian).
- Sadovsky I.N., Sazonov D.S. (a) Geograficheskaya privyazka dannykh distantsionnykh radiometricheskikh izmerenii MTVZA-GYA [Geographic Reference of MTVZA-GYa Radiometric Remote-Sensing Data] // Issled. Zemli iz kosmosa. 2022. V. 202. № 6. P. 101–112. (In Russian). doi: 10.31857/S0205961422060100.
- Sadovsky I.N., Sazonov D.S. (b) Povyshenie tochnosti geograficheskoi privyazki dannykh izmerenii MTVZA-GYa [Improving the accuracy of georeferencing of MTVZA-GYa measurements data] // Materialy 20-i Mezhdunarodnoi konferentsii “Sovremennye problemy distantsionnogo zondirovaniya Zemli iz kosmosa”. 14–18 nov. 2022, IKI RAN, Moskva. 2022. P. 63. (In Russian). doi: 10.21046/20DZZconf-2022a.
- Sadovsky I.N., Sazonov D.S. Correction procedure for MTVZA-GYa georeference [Korrektirovka geograficheskoi privyazki dannykh MTVZA-GYa] // Issled. Zemli iz kosmosa. 2023. V. 6. P. 73–85.
- Sazonov D.S. Study the possibility of precipitation intensity recovery from MTVZA-GYa measurements [Issledovanie vozmozhnosti vosstanovleniya Intensivnosti osadkov po izmereniyam MTVZA-GYa] // Issled. Zemli iz kosmosa. 2023. V. 5. P. 23–35. doi: 10.31857/S020596142305007X, EDN: XQPADE.
- Grody N.C. Classification of snow cover and precipitation using the Special Sensor Microwave/Imager (SSM/I) // J. Geophys. Res. 1991. V. 96. P. 7423–7435.
- Hersbach H., Bell B., Berrisford P., Biavati G., Horányi A., Muñoz Sabater J., Nicolas J., Peubey C., Radu R., Rozum I., Schepers D., Simmons A., Soci C., Dee D., Thépaut J-N. ERA5 hourly data on single levels from 1979 to present. Copernicus Climate Change Service (C3S) Climate Data Store (CDS). 2018 (Accessed on 13-Jan-2021). doi: 10.24381/cds.adbb2d47.
- Huffman G.J., Stocker E.F., Bolvin D.T., Nelkin E.J., Jackson Tan (2019), GPM IMERG Final Precipitation L3 Half Hourly 0.1 degree x 0.1 degree V06, Greenbelt, MD, Goddard Earth Sciences Data and Information Services Center (GES DISC), Accessed: [30.04.2022]. doi: 10.5067/GPM/IMERG/3B-HH/06.
- Wiebe H., Heygste G., L. Meyer-Lerbs. Geolocation of AMSR-E data// IEEE Transactions on Geoscience and Remote Sensing. 2008. V. 46. No. 10. P. 3098–3103. doi: 10.1109/TGRS.2005.858415.
Supplementary files









