Allyl-Substituted Furazanoazepines, Synthesis, Structure, Enthalpy of Formation, And Ballistic Efficiency
- Authors: Lempert D.B1, Ignatieva E.L.1, Stepanov A.I.2, Dashko D.V.2, Kazakov A.I.1, Nabatova A.V.1, Shilov G.V.1, Aldoshin S.M.1
-
Affiliations:
- Federal Research Center of Problems of Chemical Physics and Medicinal Chemistry, Russian Academy of Sciences, Chernogolovka, Russia
- SKTB Technologist, St. Petersburg, Russia
- Issue: Vol 42, No 2 (2023)
- Pages: 3-13
- Section: СТРОЕНИЕ ХИМИЧЕСКИХ СОЕДИНЕНИЙ, КВАНТОВАЯ ХИМИЯ, СПЕКТРОСКОПИЯ
- URL: https://journal-vniispk.ru/0207-401X/article/view/139861
- DOI: https://doi.org/10.31857/S0207401X23020115
- EDN: https://elibrary.ru/IXEWLO
- ID: 139861
Cite item
Full Text
Abstract
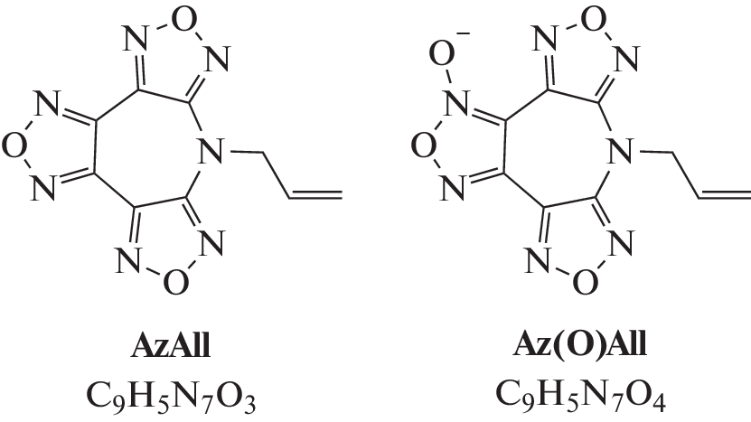
The synthesis of new energy-intensive compounds, 7-allyl-7H-trifurazano[3,4-b:3',4'-f:3",4"-d]azepine (AzAll) and 7-allyl-7H-difurazano[3,4-b:3',4'-f]furoxano[3",4"-d]azepine (Az(O)All) is described for the first time. The main parameters of the crystal lattice are determined by X-ray diffraction analysis and experimental data on the heats of combustion and enthalpies of formation of these two compounds are obtained. A thermodynamic analysis of the effectiveness of these compounds as components of solid composite propellants and gas-generating fuels is carried out. It is shown that the compounds under consideration have no prospects for use in solid composite propellants, but they are very effective as potential dispersants of solid fuels for gas generator engines.
About the authors
D. B Lempert
Federal Research Center of Problems of Chemical Physics and Medicinal Chemistry, Russian Academy of Sciences, Chernogolovka, Russia
Email: lempert@icp.ac.ru
Россия, Черноголовка
E. L. Ignatieva
Federal Research Center of Problems of Chemical Physics and Medicinal Chemistry, Russian Academy of Sciences, Chernogolovka, Russia
Email: lempert@icp.ac.ru
Россия, Черноголовка
A. I. Stepanov
SKTB Technologist, St. Petersburg, Russia
Email: lempert@icp.ac.ru
Россия, Санкт-Петербург
D. V. Dashko
SKTB Technologist, St. Petersburg, Russia
Email: lempert@icp.ac.ru
Россия, Санкт-Петербург
A. I. Kazakov
Federal Research Center of Problems of Chemical Physics and Medicinal Chemistry, Russian Academy of Sciences, Chernogolovka, Russia
Email: lempert@icp.ac.ru
Россия, Черноголовка
A. V. Nabatova
Federal Research Center of Problems of Chemical Physics and Medicinal Chemistry, Russian Academy of Sciences, Chernogolovka, Russia
Email: lempert@icp.ac.ru
Россия, Черноголовка
G. V. Shilov
Federal Research Center of Problems of Chemical Physics and Medicinal Chemistry, Russian Academy of Sciences, Chernogolovka, Russia
Email: lempert@icp.ac.ru
Россия, Черноголовка
S. M. Aldoshin
Federal Research Center of Problems of Chemical Physics and Medicinal Chemistry, Russian Academy of Sciences, Chernogolovka, Russia
Author for correspondence.
Email: lempert@icp.ac.ru
Россия, Черноголовка
References
- Klapötke T.M. Chemistry of High-Energy Materials. 3rd ed. Berlin: De Gruyter, 2015.
- Сысолятин С.В., Лобанова А.А., Черникова Ю.Т., Сакович Г.В. // Успехи химии. 2005. Т. 74. № 8. С. 830; https://doi.org/10.1070/RC2005v074n08ABEH001179
- Churakov A.M., Ioffe S.L., Tartakovsky V.A. // Mendeleev Commun. 1995. V. 5. № 6. P. 227; https://doi.org/10.1070/MC1995v005n06ABEH000539
- Klenov M.S., Guskov A.A., Anikin O.V. et al. // Angew. Chem. 2016. V. 55. № 38. P. 11472; https://doi.org/10.1002/anie.201605611
- Sheremetev A.B., Kulagina V.O., Aleksandrova N.S. et al. // Propellants Explos. Pyrotech. 1998. V. 23. № 3. P. 142.
- Topics in Heterocyclic Chemistry / Ed. Larionov O.V. Cham, Switzerland Springer, 2017. V. 53. P. 1; https://doi.org/10.1007/7081_2017_5
- Churakov A.M., Ioffe S.L., Tartakovsky V.A. // Mendeleev Commun. 1996. V. 6. № 1. P. 20; https://doi.org/10.1070/MC1996v006n01ABEH000560
- Wei H., Gao H., Shreeve J.M. // Chem. Eur. J. 2014. V. 20. № 51. P. 16943; https://doi.org/10.1002/chem.201405122
- Chavez D.E., Parrish D.A., Mitchell L., Imler G.H. // Angew. Chem., Intern. Ed. 2017. V. 56. № 13. P. 3575; https://doi.org/10.1002/anie.201612496
- Xia C., Zheng C., Zhang T. et al. // Chin. J. Energ. Mater. 2015. V. 23. № 11. P. 1089; https://doi.org/10.11943/j.issn.1006-9941.2015.11.010
- Zhanga J., Zhou J., Bi F., Wang B. // Chin. Chem. Lett. 2020. V. 31. № 9. P. 2375; https://doi.org/10.1016/j.cclet.2020.01.026
- Степанов А.И., Астратьев А.А, Дашко Д.В. и др. // Изв. АН. Сер. хим. 2012. № 5. С. 1019.
- Astrat’ev A.A., Dashko D.V., Stepanov A.I. // Cent. Eur. J. Chem. 2012. V. 10. № 4. P. 1087; https://doi.org/10.2478/s11532-012-0020-7
- Stepanov A.I., Dashko D.V., Astrat′ev A.A. // Cent. Eur. J. Energ. Mater. 2012. V. 9. № 4. P. 329.
- Лемперт Д.Б., Казаков А.И., Санников В.С. и др. // Физика горения и взрыва. 2019. Т. 55. № 2. С. 29; https://doi.org/10.15372/FGV20190203
- Алдошин С.М., Лемперт Д.Б., Гончаров Т.К. и др. // Изв. РАН. Сер. хим. 2016. № 8. С. 2018.
- Синдицкий В.П., Чёрный А.Н., Юрова С.Ю. и др. // Горение и взрыв. 2018. Т. 11. № 3. С. 110; https://doi.org/10.30826/CE18110314
- Яновский Л.С., Лемперт Д.Б., Разносчиков В.В., Аверьков И.С. // Журн. прикл. химии. 2019. Т. 92. № 3. С. 322; https://doi.org/10.1134/S0044461819030071
- Stepanov A.I., Dashko D.V., Astrat’ev A.A. // Proc. 16th Intern. Seminar “New Trends in Research of Energetic Materials” (NTREM). Pardubice Gech Republic: Univ. Pardubice, 2013. P. 474.
- Sumin A.I. // Proc. 11th Intern. Detonation Sympos., Snowmass, Colorado, USA. 1998. P. 30.
- CrysAlis PRO. Software for Agilent X-Ray Diffractometers. Agilent Technologies; Yarnton, England, 2011.
- Sheldrick G.M. // Acta Crystallogr. Sect. C. 2015. V. 71. Part 1. P. 3; https://doi.org/10.1107/S2053229614024218
- Иноземцев Я.О., Воробьев А.Б., Иноземцев А.В., Матюшин Ю.Н. // Горение и взрыв. 2014. Вып. 7. С. 260.
- Кирпичев Е.П., Зюзин И.Н., Авдонин В.В., Рубцов Ю.И., Лемперт Д.Б. // ЖФХ. 2006. Т. 80. № 9. С. 1543.
- Rossini F.D. Experimental Thermochemistry. New York: Interscience Publishers, 1956.
- Leonov N.E., Semenov S.E., Klenov M.S. et al. // Mendeleev Commun. 2021. V. 31. № 6. P. 789; https://doi.org/10.1016/j.mencom.2021.11.006
- Глушко В.П. Термические константы веществ. Т. 1, 2. М.: АН СССР, ВИНИТИ, 1979.
- Гудкова И.Ю., Зюзин И.Н., Лемперт Д.Б. // Хим. физика. 2020. Т. 39. № 3. С. 53; https://doi.org/10.31857/S0207401X20030061
- Лемперт Д.Б., Казаков А.И., Набатова А.В. и др. // Физика горения и взрыва. 2020. Т. 56. № 6. С. 3; https://doi.org/10.15372/FGV20200601
- Зюзин И.Н., Гудкова И.Ю., Лемперт Д.Б. // Хим. физика. 2021. Т. 40. № 7. С. 24; https://doi.org/10.31857/S0207401X2107013X
- Гудкова И.Ю., Зюзин И.Н., Лемперт Д.Б. // Хим. физика. 2022. Т. 41. № 1. С. 34; https://doi.org/10.31857/S0207401X2201006X
- Волохов В.М., Зюбина Т.С., Волохов А.В. и др. // Хим. физика. 2021. Т. 40. № 1. С. 3; https://doi.org/10.31857/S0207401X21010131
- Казаков А.И., Лемперт Д.Б., Набатова А.В. и др. // Журн. прик. химии. 2019. Т. 92. № S13. С. 1657; https://doi.org/10.1134/S0044461819130036
- Резников М.Е. Авиационные топлива и смазочные материалы (авиационная химмотология). М.: Военное изд-во Мин-ва обороны РФ, 2004.
- Трусов Б.Г. // Тез. докл. XIV Междунар. конф. по химической термодинамике. СПб.: НИИ химии СПбГУ, 2002.
Supplementary files










