Luminescence as a Method for Studying the Mechanisms of Photochemical Reactions
- Authors: Razumov V.F.1
-
Affiliations:
- Federal Research Center of Problems of Chemical Physics and Medicinal Chemistry, Russian Academy of Sciences, Chernogolovka, Russia
- Issue: Vol 42, No 2 (2023)
- Pages: 14-27
- Section: ВЛИЯНИЕ ВНЕШНИХ ФАКТОРОВ НА ФИЗИКО-ХИМИЧЕСКИЕ ПРЕВРАЩЕНИЯ
- URL: https://journal-vniispk.ru/0207-401X/article/view/139863
- DOI: https://doi.org/10.31857/S0207401X23020139
- EDN: https://elibrary.ru/IXMXCZ
- ID: 139863
Cite item
Full Text
Abstract
In this review, a brief digression into the current state of the theory of luminescence is made and, using the example of my own works, carried out jointly with my colleagues since the 1970s up to the present time, it is shown how effective the application of luminescence analysis is in studying the mechanisms of photochemical transformations.
Keywords
About the authors
V. F. Razumov
Federal Research Center of Problems of Chemical Physics and Medicinal Chemistry, Russian Academy of Sciences, Chernogolovka, Russia
Author for correspondence.
Email: razumov@icp.ac.ru
Россия, Черноголовка
References
- Кондон Э.Ю. // Успехи физ. наук. 1948. Т. 35. С. 35.
- Landau L. // J. Phys. (Moscow). 1946. V. 10. P. 503.
- Чукова Ю.П. // Письма в ЖЭТФ. 1969. Т. 10. С. 458.
- Степанов Б.И. // Успехи физ. наук. 1956. Т. 58. С. 3.
- Левшин В.Л. // ЖФХ. 1931. Т. 2. С. 641.
- Блохинцев Д.И. // ЖЭТФ. 1939. Т. 9. С. 459.
- Степанов Б.И. // Докл. Акад. наук СССР. 1957. Т. 112. С. 839.
- Kirchhoff G. // Annalen der Physik. 1860. V. 185. P. 275.
- Ketskeméty I., Dombi J., Horvai R. // Acta Phys. Acad. Sci. Hungaricae. 1960. V. 12. P. 263.
- Левшин В.Л. // ЖПС. 1967. Т. 7. № 4. С. 466.
- van Roosbroeck W., Shockley W. // Phys. Rev. 1954. V. 94. P. 1558.
- Ihara T., Maruyama S., Yoshita M. et al. // Phys. Rev. B. 2009. V. 80. 033307.
- Temkin H., Keramidas V.G., Pollack M.A., Wagner W.R. // J. Appl. Phys. 1981. V. 52. P. 1574.
- Muth J.F., Lee J.H., Shmagin I.K. et al. // Appl. Phys. Lett. 1997. V. 71. P. 2572.
- Ullrich B., Munshi S.R., Brown G.J. // Semicond. Sci. Technol. 2007. V. 22. P. 1174.
- Мазуренко Ю.Т., Непорент Б.С. // Оптика и спектроскопия. 1962. Т. 12. № 5. С. 571.
- Kennard E.H. // Phys. Rev. 1918. V. 11. P. 29.
- Kennard E.H. // Phys. Rev. 1926. V. 28. P. 672.
- Tovstun S.A., Razumov V.F., Spirin M.G., Martyanova E.G., Brichkin S.B. // J. Lumin. 2017. V. 190. P. 436.
- Разумов В.Ф. // Изв. РАН. Сер. физ. 2020. Т. 84. № 5. С. 654.
- Разумов В.Ф., Товстун С.А., Кузьмин В.А. // Письма в ЖЭТФ. 2019. Т. 110. С. 307.
- Разумов В.Ф., Казаков С.П. // Изв. АН. Сер. хим. 1998. С. 2366.
- Разумов В.Ф., Казаков С.П., Рябенко А.А. // Оптика и спектроскопия. 1999. Т. 86. № 4. С. 604.
- Казаков С.П., Разумов В.Ф., Алфимов М.В. // Химия высоких энергий. 2004. Т. 38. С. 283.
- G. Weber // Nature. 1961. V. 190. P. 27.
- Warner I.M., Christian G.D., Davidson E.R., Callis J.B. // Anal. Chem. 1977. V. 49. P. 564.
- JiJi R.D., Andersson G.G., Booksh K.S. // J. Chemometrics. 2000. V. 14. P. 171.
- Andersen C.M., Bro R. // J. Chemometrics. 2003. V. 17. P. 200.
- Маслов Н.А., Папаева Е.О. // Письма в ЖТФ. 2016. № 14. С. 7.
- Lee D.D., Seung H.S. // Nature. 1999. V. 401. P. 788.
- Sheck Yu.B., Kovalenko N.P., Alfimov M.V. // J. Lumin. 1977. V. 15. P. 157.
- Разумов В.Ф., Алфимов М.В., Шевченко Г.А., Коваленко Н.П. // Докл. АН СССР. 1978. Т. 238. № 4. С. 885.
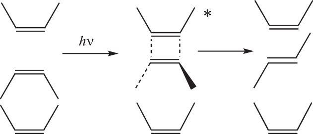
- Mazzucato U., Momicchioli F. // Chem. Rev. 1991. V. 91. P. 1679.
- Разумов В.Ф., Алфимов М.В. // Журн. науч. и прикл. фотографии. 2003. Т. 48. № 6. С. 28.
- Alfimov M.V., Razumov V.F., Rachinsky A.G., Listvan V.N., Scheck Yu.B. // Chem. Phys. Lett. 1983. V. 101. P. 593.
- Sun Ya.-P., Sears D.F., Saltiel J. et al. // J. Amer. Chem. Soc. 1988. V. 110. P. 6974.
- Bartocci G., Spalletti A. // J. Phys. Chem. A. 2002. V. 106. P. 7068.
- Гадомская А.В., Разумов В.Ф., Товстун С.А. // Химия высоких энергий. 2018. Т. 52. С. 267.
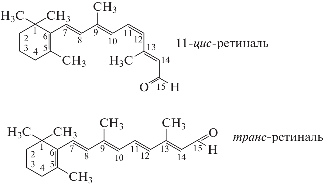
- Wang Q., Schoenlein R.W., Peteanu L.A., Mathies R.A., Shank C.V. // Science. 1994. V. 266. P. 422.
- Warchel A. // Nature. 1976. V. 260. P. 679.
- Liu. R.S.H., Asato A.E. // Proc. Natl. Acad. Sci. USA. 1985. V. 82. P. 259.
- Liu R.S.H., Brown D.T. // Acc. Chem. Res. 1986. V. 19. P. 42.
- Aldoshin S.M., Alfimov M.V., Atovmyan L.O. et al. // Mol. Cryst. Liq. Cryst. 1984. V. 108. P. 1.
- Castel N., Fisher E. // J. Mol. Struct. 1985. V. 127. P. 159.
- Yang L.-Yi., Liu R.S.H. // Photochem. Photobiol. 2007. V. 83. P. 1436.
- Müller A.M., Lochbrunner S., Schmid W.E., Fuß W. // Angew. Chem. Intern. Ed. 1998. V. 37. P. 505.
- Liu R.S.H., Hammond G.S. // Proc. Natl. Acad. Sci. USA. 2000. V. 97. P. 11153.
- Liu R.S.H. // Acc. Chem. Res. 2001. V. 34. P. 555.
- Krishnamoorthy G., Asato A.E., Liu R.S.H. // Chem. Commun. 2003. P. 2170.
- Imamoto Ya., Kuroda T., Kataoka M. et al. // Angewandte Chemie, International Edition. 2003. V. 42. P. 3630.
- Филлипов П.Г., Разумов В.Ф., Рачинский А.Г., Алфимов М.В. // Докл. АН СССР. 1987. Т. 295. С. 434.
- Alfimov M.V., Razumov V.F. // Mol. Cryst. Liq. Cryst. 1978. V. 49. P. 95.
- Алфимов М.В., Разумов В.Ф. // Химия высоких энергий. 1979. Т. 13. С. 561.
- Кварацхелия Т.Г., Разумов В.Ф., Попов Л.С., Алфимов М.В. // Докл. АН СССР. 1981. Т. 259. С. 1389.
- Alfimov M.V., Razumov V.F. // J. Photographic Sci. 1983. V. 31. P. 217.
- Алфимов М.В., Аптекарь И.Л., Галашин А.Е. и др. // Докл. АН СССР. 1984. Т. 276. № 2. С. 360.
- Алфимов М.В., Галашин А.Е., Кварацхелия Т.Г., Разумов В.Ф. // Химия высоких энергий. 1986. Т. 20. С. 378.
- Разумов В.Ф., Кварацхелия Т.Г., Алфимов М.В. // ЖФХ. 1987. Т. 61. С. 1821.
- Разумов В.Ф., Иванченко А.Г., Рачинский А.Г., Алфимов М.В. // Докл. АН СССР. 1987. Т. 293. С. 666.
Supplementary files
















