Kinetics of the Thermal Decomposition of N-Allyl Derivatives of 7H-Difurazanofuxanoazepine and 7H-Trifurazanoazepine
- Authors: Kazakov A.I.1, Lempert D.B.1, Nabatova A.V.1, Ignatieva E.L.1, Dashko D.V.2, Raznoschikov V.V.1, Yanovskiy L.S.3,1
-
Affiliations:
- Federal Research Center of Problems of Chemical Physics and Medicinal Chemistry, Russian Academy of Sciences
- Special Design and Technological Bureau “Technolog”
- National Research University, Moscow Power Engineering Institute (MPEI)
- Issue: Vol 42, No 5 (2023)
- Pages: 3-10
- Section: Kinetics and mechanism of chemical reactions, catalysis
- URL: https://journal-vniispk.ru/0207-401X/article/view/139883
- DOI: https://doi.org/10.31857/S0207401X23050047
- EDN: https://elibrary.ru/GCPUWH
- ID: 139883
Cite item
Full Text
Abstract
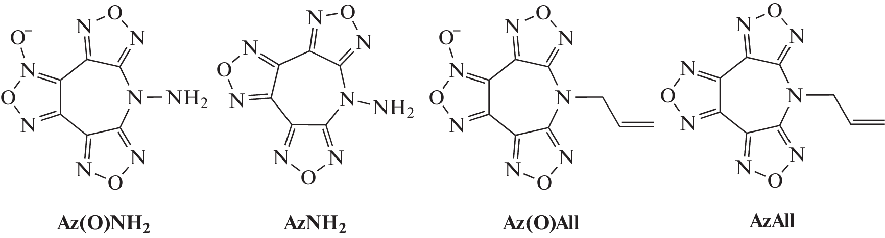
The thermal stability of N-allyl derivatives 7H-difurazanofuroxanoazepine and 7H-trifurazanoazepine in the nonisothermal and isothermal modes is studied. The formal kinetic patterns of decay and the temperature dependences of the reaction rate constants are determined. The thermal stability of allyl and amine derivatives of azepines is compared.
About the authors
A. I. Kazakov
Federal Research Center of Problems of Chemical Physics and Medicinal Chemistry, Russian Academy of Sciences
Email: akazakov@icp.ac.ru
142432, Chernogolovka, Russia
D. B. Lempert
Federal Research Center of Problems of Chemical Physics and Medicinal Chemistry, Russian Academy of Sciences
Email: akazakov@icp.ac.ru
142432, Chernogolovka, Russia
A. V. Nabatova
Federal Research Center of Problems of Chemical Physics and Medicinal Chemistry, Russian Academy of Sciences
Email: akazakov@icp.ac.ru
142432, Chernogolovka, Russia
E. L. Ignatieva
Federal Research Center of Problems of Chemical Physics and Medicinal Chemistry, Russian Academy of Sciences
Email: akazakov@icp.ac.ru
142432, Chernogolovka, Russia
D. V. Dashko
Special Design and Technological Bureau “Technolog”
Email: akazakov@icp.ac.ru
192076, St. Petersburg, Russia
V. V. Raznoschikov
Federal Research Center of Problems of Chemical Physics and Medicinal Chemistry, Russian Academy of Sciences
Email: akazakov@icp.ac.ru
142432, Chernogolovka, Russia
L. S. Yanovskiy
National Research University, Moscow Power Engineering Institute (MPEI); Federal Research Center of Problems of Chemical Physics and Medicinal Chemistry, Russian Academy of Sciences
Author for correspondence.
Email: akazakov@icp.ac.ru
Moscow, Russia; 142432, Chernogolovka, Russia
References
- Klapötke T.M. Chemistry of High-Energy Materials. 3rd ed. Berlin: De Gruyter, 2015.
- Churakov A.M., Ioffe S.L., Tartakovsky V.A. // Mendeleev Commun. 1995. V. 5. № 6. P. 227; https://doi.org/10.1070/MC1995v005n06ABEH000539
- Klenov M.S., Guskov A.A., Anikin O.V. et al. // Angew. Chem. Intern. Ed. 2016. V. 55. № 38. P. 11472; https://doi.org/10.1002/anie.201605611
- Sheremetev A.B., Kulagina V.O., Aleksandrova N.S. et al. // Propellants Explos. Pyrotech. 1998. V. 23. P. 142.
- Chavez D.E. // Topics in Heterocyclic Chemistry (Eds. Larionov O.V.). Berlin: Springer, 2017. V. 53. P. 1; https://doi.org/10.1007/7081_2017_5
- Churakov A.M., Ioffe S.L., Tartakovsky V.A. // Mendeleev Commun. 1996. V. 6. № 1. P. 20; https://doi.org/10.1070/MC1996v006n01ABEH000560
- Wei H., Gao H., Shreeve J.M. // Chem. Eur. J. 2014. V. 20. № 51. P. 16943; https://doi.org/10.1002/chem.201405122
- Chavez D.E., Parrish D.A., Mitchell L., Imler G.H. // Angew. Chem. Intern. Ed. 2017. V. 56. № 13. P. 3575; https://doi.org/10.1002/anie.201612496
- Наир У.Р., Сибавалан Р., Гор Г.М. и др. // Физика горения и взрыва. 2005. Т. 41. № 2. С. 3.
- Захаров В.В., Чуканов Н.В., Шилов Г.В. и др. // Хим. физика. 2021. Т. 40. № 7. С. 35; https://doi.org/10.31857/S0207401X21070128
- Xia C., Zheng C., Zhang T. et al. // Chin. J. Energetic Mater. 2015. V. 23. № 11. P. 1089; https://doi.org/10.11943/j.issn.1006-9941.2015.11.010
- Zhang J., Zhou J., Bi F., Wang B. // Chin. Chem. Lett. 2020. V. 31. № 9 P. 2375; https://doi.org/10.1016/j.cclet.2020.01.026
- Степанов А.И., Астратьев А.А., Дашко Д.В. и др. // Изв. АН. Сер. хим. 2012. № 5. С. 1019.
- Astrat’ev A.A., Dashko D.V., Stepanov A.I. // Cent. Eur. J. Chem. 2012. V. 10. № 4. P. 1087; https://doi.org/10.2478/s11532-012-0020-7
- Stepanov A.I., Dashko D.V., Astrat’ev A.A. // Cent. Eur. J. Energetic Mater. 2012. V. 9. № 4. P. 329.
- Гончаров Т.К., Алиев З.Г., Алдошин С.М. и др. // Изв. АН. Сер. хим. 2015. № 2. С. 366; https://doi.org/10.1007/s11172-015-0870-1
- Яновский Л.С., Лемперт Д.Б., Разносчиков В.В., Аверьков И.С. // Журн. прикл. химии 2019. Т. 92. № 3. С. 322; https://doi.org/10.1134/S0044461819030071
- Лемперт Д.Б., Игнатьева Е.Л., Степанов А.И. и др. // Хим. физика. 2023. Т. 42. № 2. С. 3.
- Казаков А.И., Лемперт Д.Б., Набатова А.В. и др. // Журн. прикл. химии. 2019. Т. 92. № S13. С. 1657; https://doi.org/10.1134/S0044461819130036
- Зюзин И.Н., Гудкова И.Ю., Лемперт Д.Б. // Хим. физика. 2020. Т. 39. № 9. С. 52; https://doi.org/10.31857/S0207401X20090149
- Гудкова И.Ю., Зюзин И.Н., Лемперт Д.Б. // Хим. физика. 2020. Т. 39. № 3. С. 53; https://doi.org/10.31857/S0207401X20030061
- Сорокин В.А., Яновский Л.С., Арефьев К.Ю. и др. Прямоточные воздушно-реактивные двигатели на энергоемких конденсированных материалах. М.: ЦИАМ, 2020.
- Гальперин Л.Н., Колесов Ю.Р., Машкинов Л.Б., Тернер Ю.Э. // Труды шестой Всесоюзной конференции по калориметрии. Тбилиси: Мецниереба, 1973. С. 539.
- Манелис Г.Б., Назин Г.М., Рубцов Ю.И., Струнин В.А. Термическое разложение и горение взрывчатых веществ и порохов. М.: Наука, 1996.
Supplementary files











