DNA Condensation in Bacteria
- Authors: Krupyanskii Y.F.1, Generalova A.A.1, Kovalenko V.V.1, Loiko N.G.1,2, Tereshkin E.V.1, Moiseenko A.V.1,3, Tereshkina K.B.1, Sokolova O.S.3, Popov A.N.4
- 
							Affiliations: 
							- Semyonov Federal Research Center for Chemical Physic, Russian Academy of Science
- Federal Research Center “Fundamentals of Biotechnology” Russian Academy of Sciences
- Moscow State University
- European Synchrotron Radiation Facility
 
- Issue: Vol 42, No 6 (2023)
- Pages: 3-20
- Section: К 100-ЛЕТИЮ СО ДНЯ РОЖДЕНИЯ АКАДЕМИКА В.И. ГОЛЬДАНСКОГО
- URL: https://journal-vniispk.ru/0207-401X/article/view/139885
- DOI: https://doi.org/10.31857/S0207401X23060067
- EDN: https://elibrary.ru/UILPBU
- ID: 139885
Cite item
Full Text
Abstract
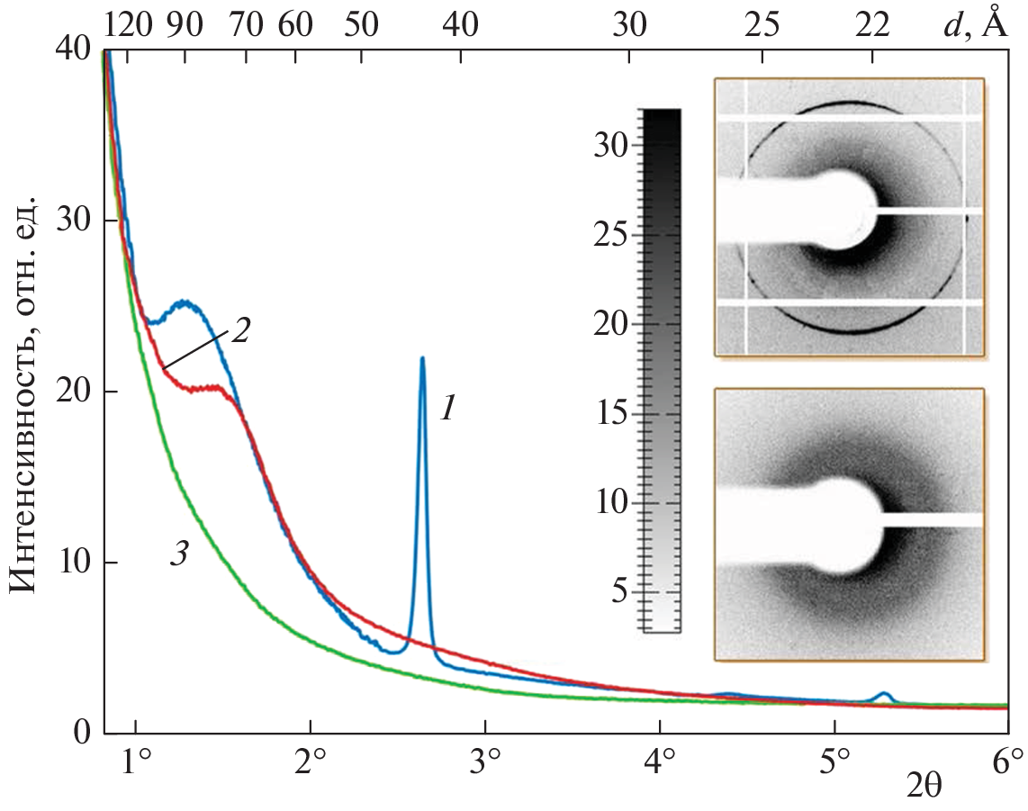
Deoxyribonucleic acid (DNA) is organized hierarchically in the nucleoid of an actively growing cell, with three levels of DNA compaction. The lower level (small scale ≥1 kb base pairs (bps)) is provided by the interaction with DNA-bound proteins. Actively growing cells maintain a dynamic, far from equilibrium order through metabolism. When cells enter a dormant state (almost complete absence of metabolism), the usual biochemical methods of protecting DNA cease to work, and the cells, adapting to the new conditions, are forced to use the physical mechanisms of DNA protection. The structure of DNA in the nucleoid of dormant cells formed during starvation stress is studied using synchrotron radiation diffraction and transmission electron microscopy (TEM). The experimental results make it possible to visualize the structures of the lower hierarchical level of DNA compaction in the nucleoid of dormant cells. A series of diffraction experiments conducted for the first time indicate the presence of a periodic ordered organization of DNA in all the studied bacteria. The TEM method made it possible to extract fine visual information about the type of DNA condensation in the nucleoid of the bacterium Escherichia coli (E. coli). Intracellular nanocrystalline, as well as liquid-crystalline and folded nucleosome-like, structures of DNA are found. The folded nucleosome-like structure was observed for the first time and is the result of the multiple folding of long DNA molecules around the DNA-binding protein (Dps) of starved cells and its associates. The different types of condensed state of DNA found by us in the studied dormant E. coli cells (DNA condensation heterogeneity) provide additional arguments in favor of the concept that considers a microbial population as a multicellular organism. The study of changes in the DNA architecture under the effect of the chemical analog of the autoinducer of anabiosis 4-hexylresorcinol (4-HR) is studied. An increase in the 4-HR concentration induces the transition of a part of the cells of the population to anabiotic dormant state, and then to a mummified state. The studies of the structure of DNA in the anabiotic and mummified states show the spectroscopic identity of the DNA structure in the dormant anabiotic state and in the dormant state formed during starvation stress. Studies of the structure of DNA in the mummified state show a strong difference from the structure of DNA in the anabiotic state.
About the authors
Yu. F. Krupyanskii
Semyonov Federal Research Center for Chemical Physic, Russian Academy of Science
														Email: yufk@chph.ras.ru
				                					                																			                												                								 Moscow, Russia
						
A. A. Generalova
Semyonov Federal Research Center for Chemical Physic, Russian Academy of Science
														Email: yufk@chph.ras.ru
				                					                																			                												                								 Moscow, Russia
						
V. V. Kovalenko
Semyonov Federal Research Center for Chemical Physic, Russian Academy of Science
														Email: yufk@chph.ras.ru
				                					                																			                												                								 Moscow, Russia
						
N. G. Loiko
Semyonov Federal Research Center for Chemical Physic, Russian Academy of Science;Federal Research Center “Fundamentals of Biotechnology” Russian Academy of Sciences
														Email: yufk@chph.ras.ru
				                					                																			                												                								 Moscow, Russia;  Moscow, Russia
						
E. V. Tereshkin
Semyonov Federal Research Center for Chemical Physic, Russian Academy of Science
														Email: yufk@chph.ras.ru
				                					                																			                												                								 Moscow, Russia
						
A. V. Moiseenko
Semyonov Federal Research Center for Chemical Physic, Russian Academy of Science; Moscow State University
														Email: yufk@chph.ras.ru
				                					                																			                												                								 Moscow, Russia;  Moscow, Russia						
K. B. Tereshkina
Semyonov Federal Research Center for Chemical Physic, Russian Academy of Science
														Email: yufk@chph.ras.ru
				                					                																			                												                								 Moscow, Russia						
O. S. Sokolova
Moscow State University
														Email: yufk@chph.ras.ru
				                					                																			                												                								 Moscow, Russia						
A. N. Popov
European Synchrotron Radiation Facility
							Author for correspondence.
							Email: yufk@chph.ras.ru
				                					                																			                												                								38043, Grenoble, France						
References
- Stonington O.G., Pettijohn D.E. // Proc. Natl. Acad. Sci. USA. 1971. V. 68. № 1. P. 6
- Verma S.C., Qian Z., Adhya S.L. // PLoS. Genet. 2019. V. 15. № 12. e1008456
- Trun N., Marko J. // Amer. Soc Microbiol. News. 1998. V. 64. № 5. P. 276.
- Бухарин О.В., Гинцбург А.Л., Романова Ю.М., Эль-Регистан Г.И. Механизмы выживания бактерий. М.: Медицина, 2005.
- Ткаченко А.Г. Молекулярные механизмы стрессорных ответов у микроорганизмов. Екатеринбург: Уро РАН, 2012.
- Minsky A., Shimoni E., Frenkiel-Krispin D. // Nat. Rev. Mol. Cell. Biol. 2002. V. 3. P. 50.
- Grosberg A.Y., Khokhlov A.R. Statistical physics of macromolecules. N.Y.: AIP, 1994.
- Bloomfield V.A. // Curr. Opin. Struct. Biol. 1996. V. 6. P. 334.
- Циммер К. Микрокосм. E. coli и новая наука о жизни. Пер. с англ. М.: ООО “Альпина нон-фикшн”, 2013.
- Крупянский Ю.Ф., Гольданский В.И. // УФН. 2002. Т. 172. № 11. С. 1247.
- Крупянский Ю.Ф. // Хим. физика. 2021. Т. 40. № 3. С. 60; https://doi.org/10.31857/S0207401X21030079
- Шайтан К.В. // Хим. физика. 2023. Т. 42. № 6. С. 40.
- Dekker J., Rippe K., Dekker M., Kleckner N. // Capturing Chromosome Conform. Sci. 2002. V. 295. P. 1306; https://doi.org/10.1126/science.1067799
- Simonis M., Klous P., Splinter E. et al. // Nat. Genet. 2006. V. 38. P. 1348; https://doi.org/10.1038/ng1896
- Dostie J., Richmond T.A., Arnaout R.A. et al. // Genome Res. 2006. V. 16. P. 1299; https://doi.org/10.1101/gr.5571506
- Gennes P.G.D. Scaling concepts in polymer physics. Ithaca: Cornell University Press, 1979.
- Grosberg A.Y., Nechaev S.K., Shakhnovich E.I. // J. Phys. 1988. V. 49. P. 2095.
- Lieberman-Aiden E., Van Berkum N.L., Williams L. et al. // Science. 2009. V. 326. P. 289.
- Mirny L.A. // Chromosome Res. 2011. V. 19. P. 37.
- Яшина Е.Г., Григорьев С.В. // ЖЭТФ. 2019. Т. 156. Вып. 3. С. 540.
- Zwietering M.H., Jongenburger I., Rombouts F.M., van’t Riet K. // Appl. Environ. Microbiol. 1990. V. 56. № 6. P. 1875.
- Loiko N., Danilova Y., Moiseenko A. et al. // PLOS One. 2020. V. 15. № 10; https://doi.org/10.1371/journal.pone.0231562
- Шрёдингер Э. Что такое жизнь с точки зрения физики? М.: РИМИС, 2009.
- Moiseenko A., Loiko N., Sokolova O.S., Krupyanskii Y.F. // Methods in Molecular Biology. 2022. V. 2516. P. 143; https://doi.org/10.1007/978-1-0716-2413-5_9
- Синицын Д.О., Лойко Н.Г., Гуларян С.К. и др. // Хим. физика. 2017. Т. 36. № 9. С. 59.
- Крупянский Ю.Ф., Лойко Н.Г., Синицын Д.О. и др. // Кристаллография. 2018. Т. 63. № 4. С. 572.
- Reich Z., Wachtel E., Minsky A. // Science. 1994. V. 264. № 5164. P. 1460.
- Frenkiel-Krispin D., Ben-Avraham I., Englander J. et al. // Mol. Microbiol. 2004. V. 51. P. 395.
- Kovalenko V., Popov A., Santoni G. et al. // Acta Cryst. 2020. V. F76. P. 568.
- Moiseenko A., Loiko N., Tereshkina K. et al. // Biochem. Biophys. Res. Commun. 2019. V. 517. № 3. P. 463.
- Tereshkin E., Tereshkina K., Loiko N. et al. // J. Biomol. Struct. Dyn. 2019. V. 37. P. 2600.
- Терешкин Э.В., Терешкина К.Б., Коваленко В.В. и др. // Хим. физика. 2019. Т. 38. № 10. С. 48.
- Tereshkin E.V., Tereshkina K.B., Krupyanskii Y.F. // J. Physics: Conf. Ser. 2021. V. 2056. № 1. P. 012016.
- Blinov V.N., Golo V.L., Krupyanskii Y. // Nanostuctures. Math. Phys. Model. 2015. V. 12. P. 5.
- Vasilevskaya V.V., Khokhlov A.R., Kidoaki S., Yoshikawa K. // Biopolymers. 1997. V. 41. P. 51.
- Loiko N., Danilova Y., Moiseenko A. et al. // bioRxiv. 2020. P. 2020.03.27.011494; https://doi.org/10.1101/2020.03.27.011494
- Shapiro J.A. // Scientific American. 1988. V. 258. № 6. P. 82.
- Shapiro J.A., Dworkin M. // Quarterly Rev. Biol. 1998. V. 73. № 3. P. 352.
- Сузина Н.Е., Мулюкин А.Л., Лойко Н.Г. и др. // Микробиология. 2001. Т. 70. № 5. С. 776.
- Procopio A., Malucelli E., Pacureanu A. et al. // ACS Central Science. 2019. V. 5. P. 1449.
- Santos S., Yang Y., Rosa M. et al. // Scientific Reports. 2019. V. 9. P. 17217.
- Ou H.D., Phan S., Deerinck T.J. et al. // Science. 2017. V. 357. № 6349. eaag0025; https://doi.org/10.1126/science.aag0025
Supplementary files
 
				
			 
					 
						 
						 
						 
						 
				
 
  
  
  Email this article
			Email this article 











