Энергетические возможности гидроксиламмониевых солей нитроаминных производных некоторых полиазотистых конденсированных гетероциклов как компонентов смесевых топлив
- Авторы: Зюзин И.Н.1, Гудкова И.Ю.1, Лемперт Д.Б.1
-
Учреждения:
- Институт проблем химической физики Российской академии наук
- Выпуск: Том 42, № 5 (2023)
- Страницы: 20-29
- Раздел: Горение, взрыв и ударные волны
- URL: https://journal-vniispk.ru/0207-401X/article/view/139891
- DOI: https://doi.org/10.31857/S0207401X23050151
- EDN: https://elibrary.ru/PDHQXT
- ID: 139891
Цитировать
Полный текст
Аннотация
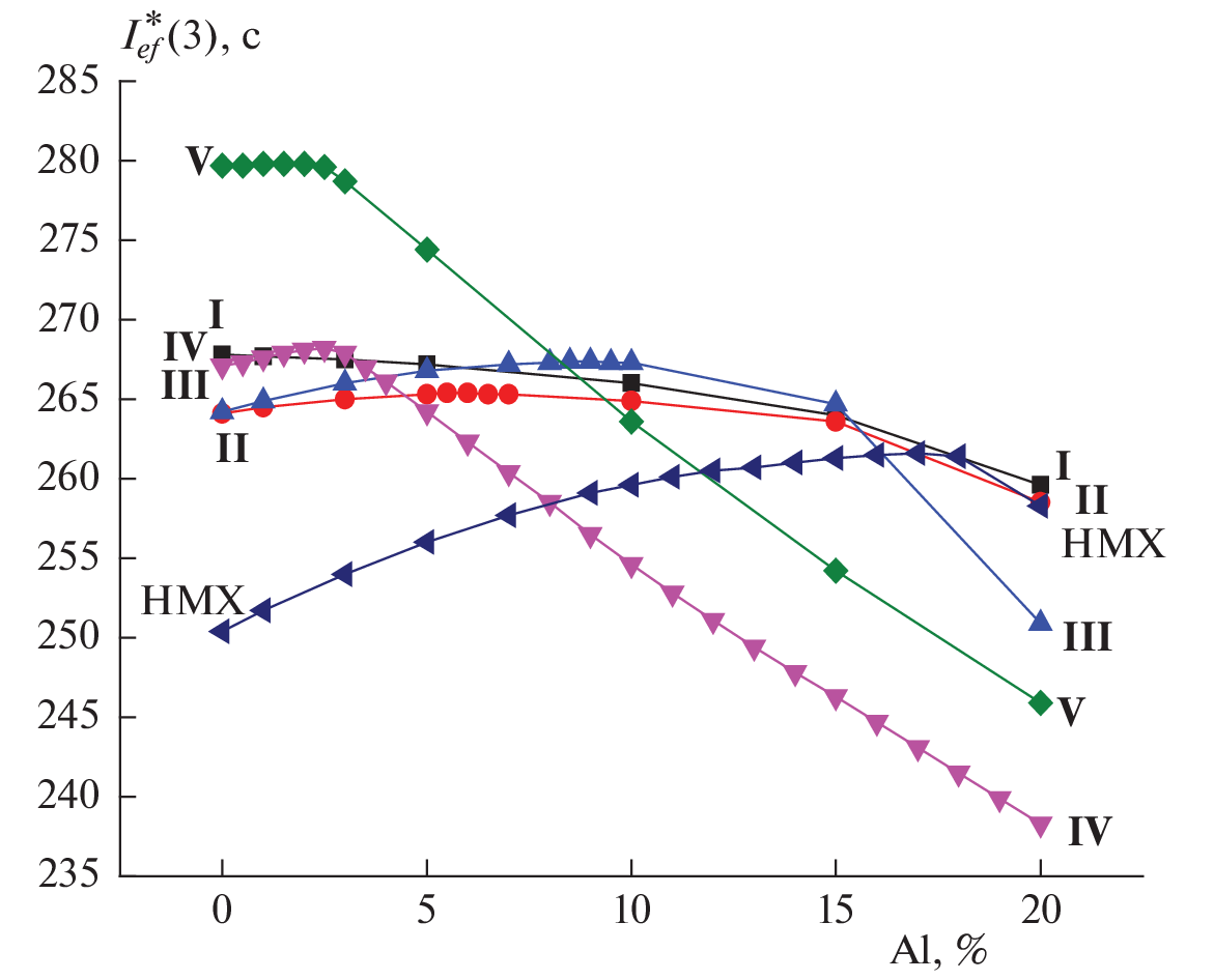
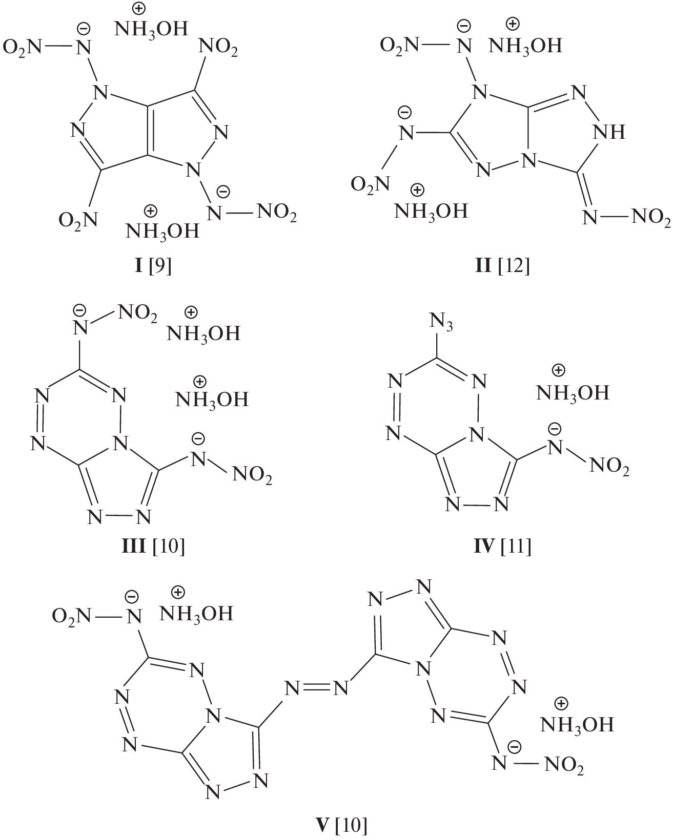
Рассмотрены баллистические характеристики энергетических систем на основе гидроксиламмониевых солей нитроаминных производных некоторых полиазотистых конденсированных гетероциклов. Установлены количественные зависимости энергетических параметров таких систем от свойств изучаемого соединения (основного наполнителя), доли алюминия, наличия дополнительных окислителей в композиции и от типа связующего. Все рассмотренные соединения (I–V) превосходят классические энергетические компоненты в классе составов смесевых топлив без конденсированных продуктов сгорания. Наиболее эффективным компонентом оказалась дигидроксиламмониевая соль (E)-1,2-бис-(3-нитроамино-[1,2,4]триазоло[4,3-b][1,2,4,5]тетразин-6-ил)диазена (V), которая существенно превосходит по величине эффективного импульса на третьей ступени (Ief(3) = 279.7 с) многие из известных компонентов. Однако при использовании в расчетах более реалистичного значения энтальпии образования V (по нашей оценке) этот показатель для состава на основе соединения V снизился до 266.8 с, а на первое место вышла дигидроксиламмониевая соль 1,4-бис(нитроамино)-3,6-динитропиразоло[4,3-c]пиразола (I) с Ief(3) = 267.8 с.
Об авторах
И. Н. Зюзин
Институт проблем химической физики Российской академии наук
Email: zyuzin@icp.ac.ru
Россия, Черноголовка
И. Ю. Гудкова
Институт проблем химической физики Российской академии наук
Email: zyuzin@icp.ac.ru
Россия, Черноголовка
Д. Б. Лемперт
Институт проблем химической физики Российской академии наук
Автор, ответственный за переписку.
Email: zyuzin@icp.ac.ru
Россия, Черноголовка
Список литературы
- Гудкова И.Ю., Зюзин И.Н., Лемперт Д.Б. // Хим. физика. 2020. Т. 39. № 3. С. 53; https://doi.org/10.31857/S0207401X20030061
- Зюзин И.Н., Гудкова И.Ю., Лемперт Д.Б. // Хим. физика. 2020. Т. 39. № 9. С. 52; https://doi.org/10.31857/S0207401X20090149
- Зюзин И.Н., Гудкова И.Ю., Лемперт Д.Б. // Хим. физика. 2021. Т. 40. № 7. С. 24; https://doi.org/10.31857/S0207401X2107013X
- Зюзин И.Н., Волохов В.М., Лемперт Д.Б. // Хим. физика. 2021. Т. 40. № 9. С. 18; https://doi.org/10.31857/S0207401X21090107
- Гудкова И.Ю., Зюзин И.Н., Лемперт Д.Б. // Хим. физика. 2022. Т. 41. № 1. С. 34; https://doi.org/10.31857/S0207401X2201006X
- Зюзин И.Н., Гудкова И.Ю., Лемперт Д.Б. // Хим. физика. 2022. Т. 41. № 9. С. 45; https://doi.org/10.31857/S0207401X2209014X
- Зюзин И.Н., Гудкова И.Ю., Лемперт Д.Б. // Хим. физика. 2022. Т. 41. № 12. С. 36; https://doi.org/10.31857/S0207401X22120129
- Gao H., Zhang Q., Shreeve J.M. // J. Mater. Chem. A. 2020. V. 8. № 8. P. 4193; https://doi.org/10.1039/C9TA12704F
- Yin P., Zhang J., Mitchell L.A., Parrish D.A., Shreeve J.M. // Angew. Chem. Intern. Ed. 2016. V. 55. № 41. P. 12895; https://doi.org/10.1002/anie.201606894
- Liu Y., Zhao G., Tang Y., Zhang J. et al. // J. Mater. Chem. A. 2019. V. 7. № 44. P. 7875; https://doi.org/10.1039/c9ta01717h
- Bian C., Feng W., Lei Q. et al. // Dalton Trans. 2020. V. 49. P. 368; https://doi.org/10.1039/c9dt03829a
- Hu L., Yin P., Zhao G. et al. // J. Amer. Chem. Soc. 2018. V. 140. P. 15 001; https://doi.org/10.1021/jacs.8b09519
- Lempert D.B. // Chin. J. Explos. Propellants. 2015. V. 38. № 4. P. 1; https://doi.org/10.14077/j.issn.1007-7812.2015.04.001
- Hечипоренко Г.H., Лемперт Д.Б. // Хим. физика. 1998. Т. 17. № 10. С. 93.
- Meyer R., Kohler J., Homburg A. Explosives. 7th ed. Weinheim (Germany): Wiley, 2016.
- Трусов Б.Г. // Тез. докл. XIV Междунар. конф. по химической термодинамике. СПб: НИИ химии СПбГУ, 2002.
- Павловец Г.Я., Цуцуран В.И. Физико-химические свойства порохов и ракетных топлив. М.: Изд-во Министерства обороны, 2009.
- Дорофеенко Е.М., Лемперт Д.Б. // Хим. физика. 2021. Т. 40. № 3. С. 48; https://doi.org/10.31857/S0207401X21030043
- Кизин А.Н., Дворкин П.Л., Рыжова Г.Л., Лебедев Ю.А. // Изв. АН СССР. Сер. хим. 1986. № 2. С. 372.
- Lempert D.B., Nechiporenko G.N., Manelis G.B. // Cent. Eur. J. Energetic. Mater. 2006. V. 3. № 4. P. 73.
- Li Y., Wang B., Chang P. et al. // RSC Adv. 2018. V. 8. № 25. P. 13755; https://doi.org/10.1039/C8RA02491J
- Konkova T.S., Matyushin Yu.N., Miroshnichenko E.A., Asachenko A.F., Dzhevakov P.B. Proc. 47th Intern. Annu. Conf. Fraunhofer ICT (Karlsruhe, Germany). 2016. P. 90.
- Fischer D., Klapotke T.M., Piercey D.G., Stierstorfer J. // Chem. Eur. J. 2013. V. 19. № 14. P. 4602; https://doi.org/10.1002/chem.201203493
- Sinditskii V.P., Serushkin V.V., Kolesov V.I. // Propellants Explos. Pyrotech. 2021. V. 46. № 10. P. 1504; https://doi.org/10.1002/prep.202100173
- Иноземцев Я.О., Иноземцев А.В., Махов М.Н., Воробьёв А.Б., Матюшин Ю.Н. // Хим. физика. 2021. Т. 40. № 12. С. 39; https://doi.org/10.31857/S0207401X21120074
- Лемперт Д.Б., Нечипоренко Г.Н., Долганова Г.П. // Хим. физика. 1998. Т. 17. № 7. С. 87.
Дополнительные файлы










