Сенсорные слои на основе полупроводниковых наночастиц и их электронная структура
- Авторы: Трахтенберг Л.И.1,2
-
Учреждения:
- Федеральный исследовательский центр химической физики им. Н.Н. Семёнова Российской академии наук
- Московский государственный университет им. М.В. Ломоносова
- Выпуск: Том 42, № 5 (2023)
- Страницы: 87-94
- Раздел: Химическая физика наноматериалов
- URL: https://journal-vniispk.ru/0207-401X/article/view/139914
- DOI: https://doi.org/10.31857/S0207401X2305014X
- EDN: https://elibrary.ru/PCONYX
- ID: 139914
Цитировать
Полный текст
Аннотация
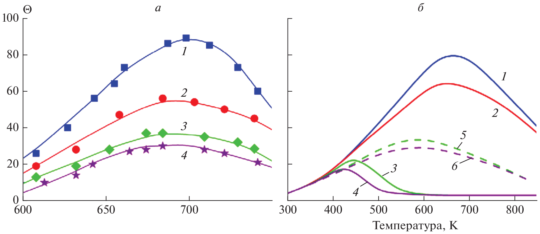
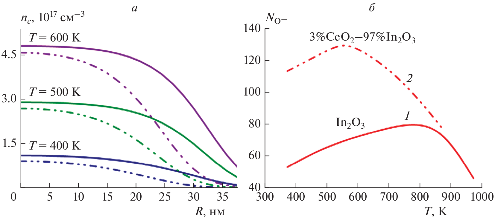
Анализируются работы по моделированию распределения заряда в полупроводниковых наночастицах. Распределение заряда во многом зависит от вида наночастиц и концентрации электронов проводимости. В случае наночастиц с высоким содержанием электронов в зоне проводимости большую роль играет отрицательно заряженный слой, от которого зависят проводимость и сенсорный эффект. Показано, что как распределение электронов, так и сенсорный эффект существенно различаются в одно- и двухкомпонентных системах. Обсуждаются причины этого различия.
Об авторах
Л. И. Трахтенберг
Федеральный исследовательский центр химической физики им. Н.Н. Семёнова Российской академии наук; Московский государственный университет им. М.В. Ломоносова
Автор, ответственный за переписку.
Email: litrakh@gmail.com
Россия, Москва; Россия, Москва
Список литературы
- Barsan N., Weimar U. // J. Electroceram. 2001. V. 7. P. 143.
- Yamazoe N., Shimanoe K. // Sens. Actuators, B. 2008. V. 128. P. 566.
- Gerasimov G.N., Gromov V.F., Ilegbusi O.J., Trakhtenberg L.I. // Sens. Actuators, B. 2017. V. 240. P. 613.
- Герасимов Г.Н., Громов В.Ф., Иким М.И., Трахтенберг Л.И. // Хим. физика. 2021. Т. 40. С. 65.
- Prathap P., Gowri Devi G., Subbaiah Y.P.V., Ramakrishna Reddy K.T., Ganesan V. // Curr. Appl. Phys. 2008. V. 8. P. 120.
- Jimenez L.C., Mendez H.A., Paez B.A., Ramirez M.E., Rodriguez H. // Brazilian J. Phys. 2006. V. 36. P. 1017.
- Kozhushner. M.A., Lidskii B.V., Oleynik I.I., Posvyanskii V.S., Trakhtenberg L.I. // J. Phys. Chem. C. 2015. V. 119. 16 286.
- Bodneva V.L., Ilegbusi O.J., Kozhushner M.A et al. // Sens. Actuators, B. 2019. V. 287. P. 218.
- Kurmangaleev K.S., Ikim M.I., Kozhushner M.A., Trakhtenberg L.I. // Appl. Surf. Sci. 2021. V. 546. 149 011.
- Gerasimov G.N., Gromov V.F., Ikim M.I., Ilegbusi O.J., Trakhtenberg L.I. // Sens. Actuators, B. 2019. V. 279. P. 22.
- Курмангалеев К.С. Дис. … канд. физ.-мат. наук. М.: ИХФ РАН, 2022.
- Kozhushner M.A., Trakhtenberg L.I., Landerville A.C., Oleynik I.I. // J. Phys. Chem. C. 2013. V. 117. 1 1562.
- Kozhushner M.A., Trakhtenberg L.I., Bodneva V.L. et al. // Ibid. 2014. V. 118. P. 11444.
- Белышева Т.В., Герасимов Г.Н., Громов В.Ф. и др. // ЖФХ. 2010. Т. 84. С. 1706.
- Trakhtenberg L.I., Gerasimov G.N., Gromov V.F., Belysheva T.V., Ilegbusi O.J. // Sens. Actuators, B: Chemical. 2012. V. 169. P. 32.
- Trakhtenberg L.I., Gerasimov G.N., Gromov V.F., Belysheva T.V., Ilegbusi O.J. // Ibid. 2013. V. 187. P. 514.
- Trakhtenberg L.I., Astapenko V.A., Sakhno S.V. et al. // J. Phys. Chem. C. 2016. V. 120. 23 851.
- Kozhushner M.A., Bodneva V.L., Oleynik I.I., Belysheva T.V., Ikim M.I., Trakhtenberg L.I. // Ibid. 2017. V. 121. P. 6940.
- Ahlers S., Miller G., Doll T. // Sens. Actuators, B. 2005. V. 107. P. 587.
- Xu C., Tamaki J., Miura N., Yamazoe N. // Ibid. 1991. V. 3. P. 147.
- Gerasimov G.N., Ikim M.I., Gromov V.F., Ilegbusi O.J., Trakhtenberg L.I. // J. Alloys Compd. 2021. V. 883. 160 817.
- Нагаев Э.Л. // Успехи физических наук. 1992. Т. 162. С. 49.
- Dey A. // Mat. Sci. Eng. B. 2018. V. 229. P. 206.
- Yamazoe N., Kurorawa Y., Seiyama T. // Sens. Actuators, B. 1983. V. 4. P. 283.
- Trakhtenberg L.I., Gerasimov G.N., Gromov V.F., Belysheva T.V., Ilegbusi O.J. // Sens. Actuators, B. 2015. V. 209. P. 562.
- Xu L., Song H., Dong B. // Inorg. Chem. 2010. V. 49. 10590.
- Jiang F., Zhao H., Chen H., Xu C., Chen J. // RSC Advances. 2016. V. 6. 72015.
- Громов В.Ф., Иким М.И., Герасимов Г.Н., Трахтенберг Л.И. // Хим. физика. 2021. Т. 40. № 12. С. 76.
- Yang F., Graciani J., Evans J. et al. // J. Amer. Chem. Soc. 2011. V. 133. P. 3444.
Дополнительные файлы










