Numerical Simulation of the Effect of Additives on Autoignition of Lean Hydrogen–Air Mixtures
- Authors: Tereza A.M.1, Agafonov G.L.2, Anderzhanov E.K.2, Betev A.S.2, Medvedev S.P.2, Khomik S.V.2, Cherepanova T.T.2
- 
							Affiliations: 
							- Semenov Federal Research Center for Chemical Physics, Russian Academy of Sciences
- Semenov Federal Research Center for Chemical Physics, Russian Academy of Sciences, Moscow, Russia
 
- Issue: Vol 42, No 3 (2023)
- Pages: 70-78
- Section: Combustion, explosion and shock waves
- URL: https://journal-vniispk.ru/0207-401X/article/view/139919
- DOI: https://doi.org/10.31857/S0207401X23030172
- EDN: https://elibrary.ru/NCWLUS
- ID: 139919
Cite item
Full Text
Abstract
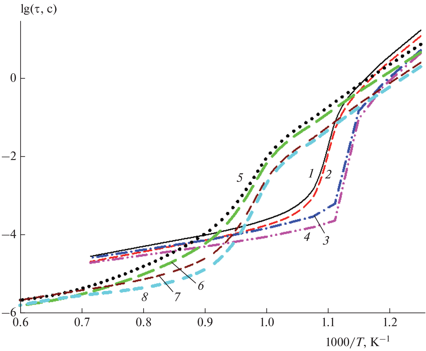
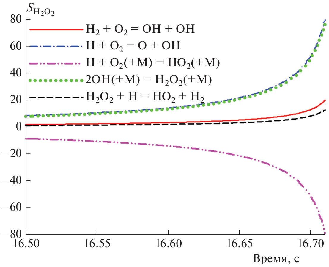
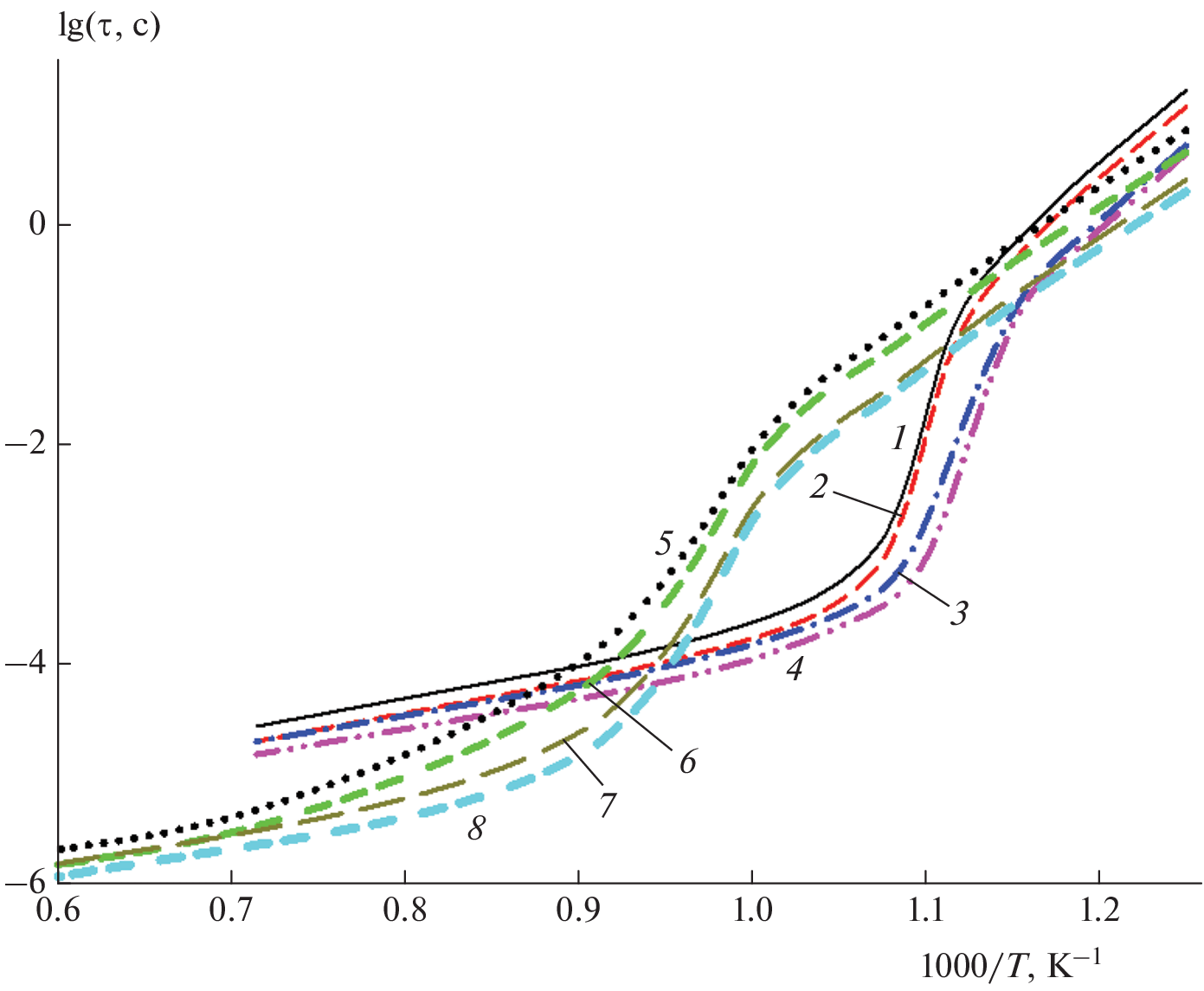
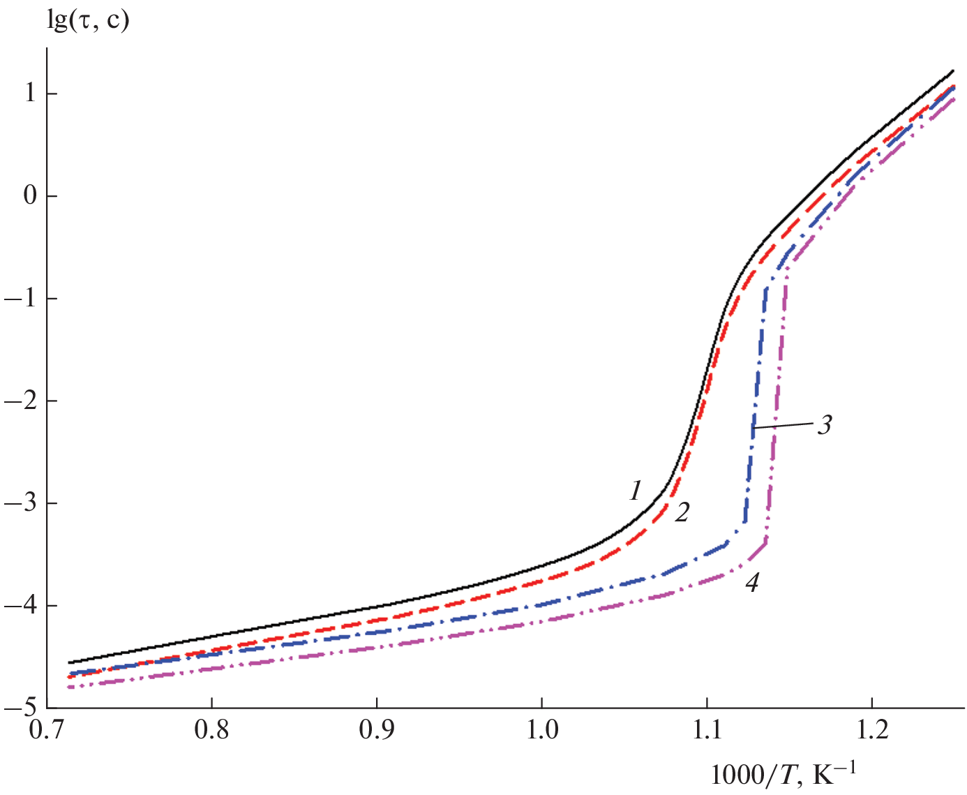
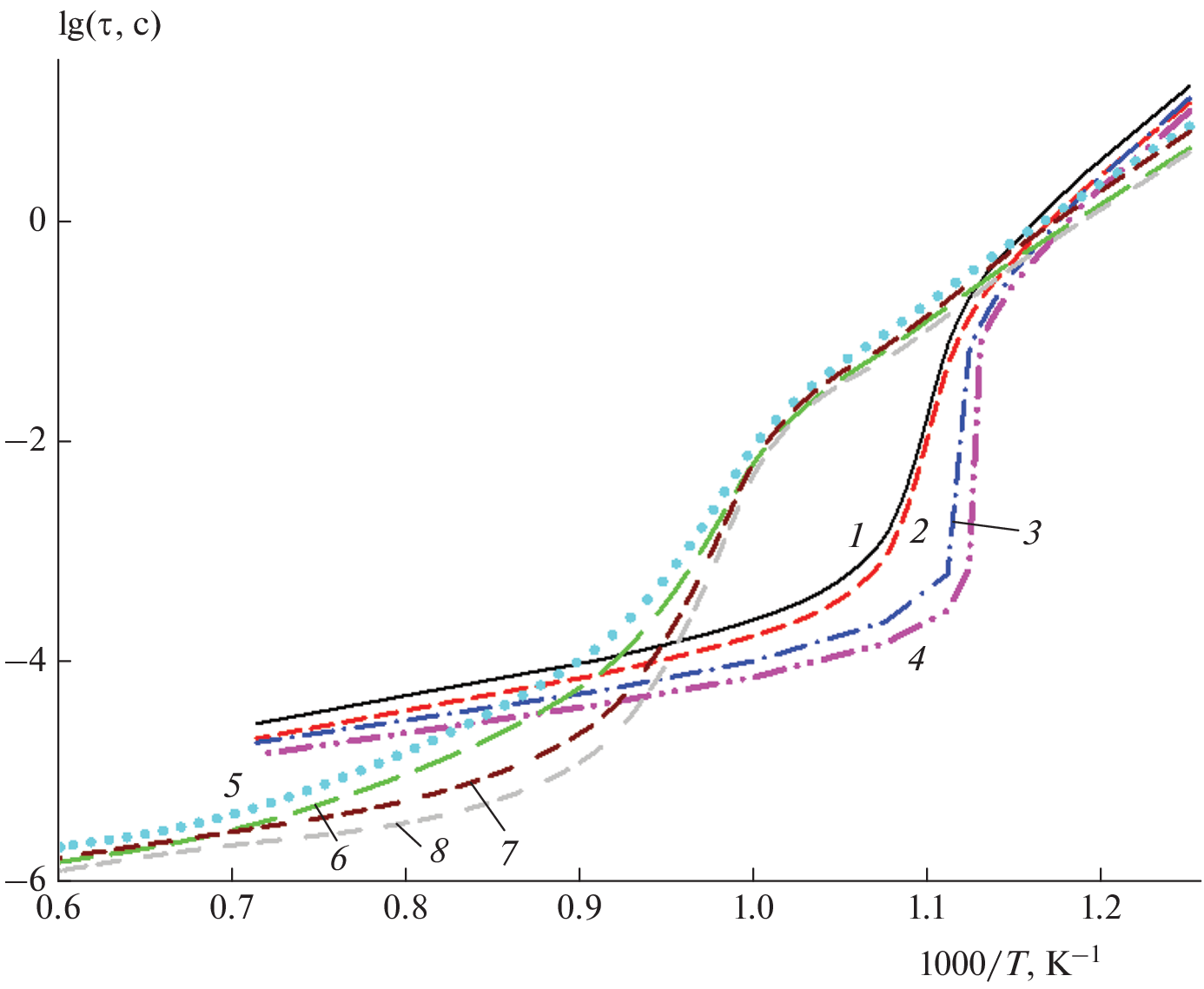
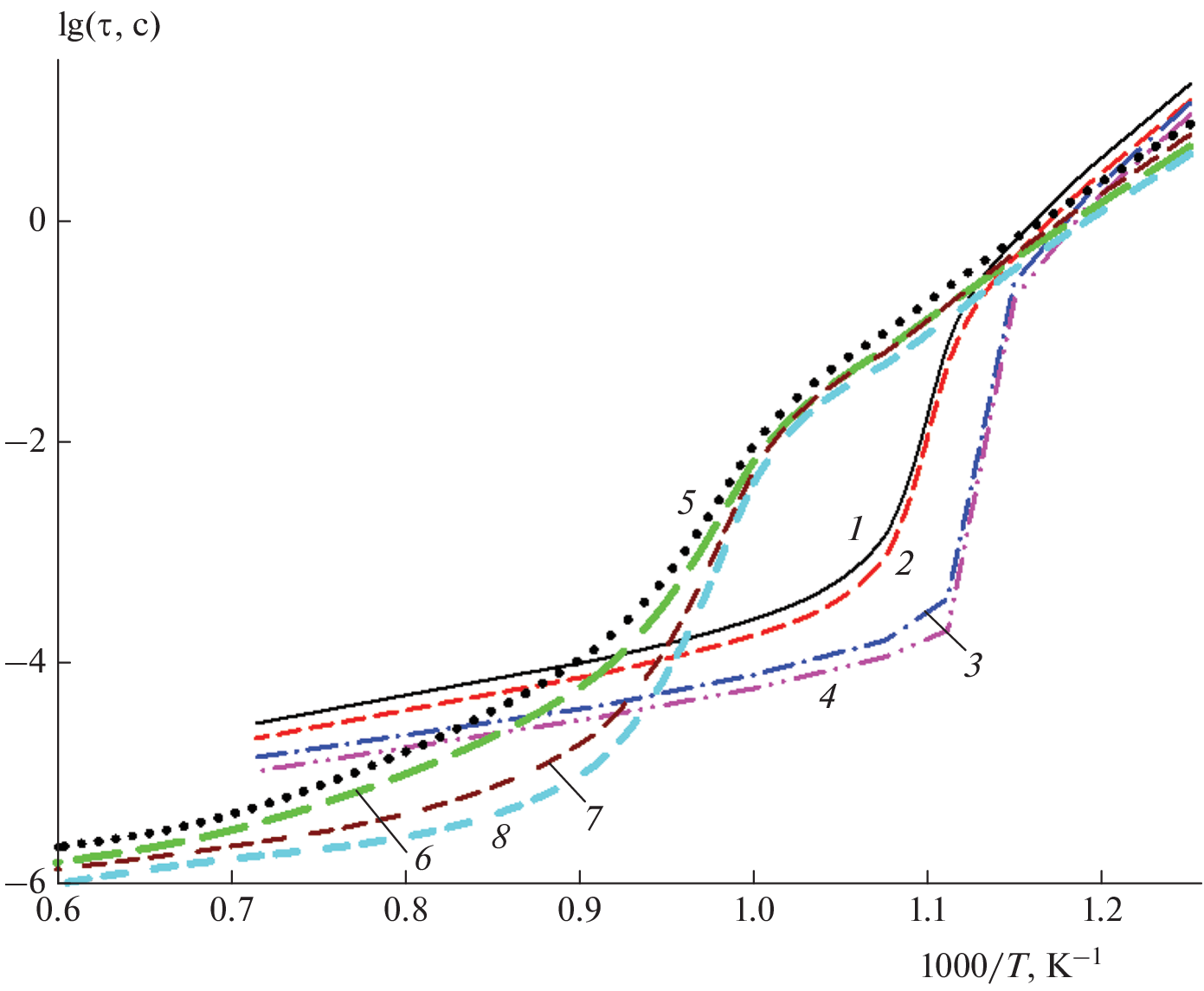
Simulations of the effect of addition of atoms, molecules, and radicals on autoignition of lean (14%) and ultra-lean (6%) hydrogen–air mixtures are performed in the temperature range of 800 to 1700 K at initial pressures of 1 and 6 bar. Computed results demonstrate that adding H, O, OH, HO2, and H2O2 reduces ignition delay time τ. Common tendencies are revealed in the temperature-dependent effects of the added species. For each additive, the corresponding effect is found to be the strongest at temperatures near 900 and 1100 K at pressures of 1 and 6 bar, respectively. It is shown that the effects of addition of O and H are similar in magnitude. The effect of НО2 is much weaker compared to other additives, and its temperature dependence is qualitatively analogous to that of Н2О2. While the extent of ignition-delay reduction decreases towards the endpoints of the temperature interval explored for all additives, significant effects persist in its high-temperature part for OH and in the low-temperature one for HO2 and H2O2. Addition of water up to 1% does not affect the value of τ.
About the authors
A. M. Tereza
Semenov Federal Research Center for Chemical Physics, Russian Academy of Sciences
														Email: tereza@chph.ras.ru
				                					                																			                												                								Moscow, Russia						
G. L. Agafonov
Semenov Federal Research Center for Chemical Physics, Russian Academy of Sciences, Moscow, Russia
														Email: tereza@chph.ras.ru
				                					                																			                												                								Россия, Москва						
E. K. Anderzhanov
Semenov Federal Research Center for Chemical Physics, Russian Academy of Sciences, Moscow, Russia
														Email: tereza@chph.ras.ru
				                					                																			                												                								Россия, Москва						
A. S. Betev
Semenov Federal Research Center for Chemical Physics, Russian Academy of Sciences, Moscow, Russia
														Email: tereza@chph.ras.ru
				                					                																			                												                								Россия, Москва						
S. P. Medvedev
Semenov Federal Research Center for Chemical Physics, Russian Academy of Sciences, Moscow, Russia
														Email: tereza@chph.ras.ru
				                					                																			                												                								Россия, Москва						
S. V. Khomik
Semenov Federal Research Center for Chemical Physics, Russian Academy of Sciences, Moscow, Russia
														Email: tereza@chph.ras.ru
				                					                																			                												                								Россия, Москва						
T. T. Cherepanova
Semenov Federal Research Center for Chemical Physics, Russian Academy of Sciences, Moscow, Russia
							Author for correspondence.
							Email: tereza@chph.ras.ru
				                					                																			                												                								Россия, Москва						
References
- Rogers R.C., Schexnayder C.J. Jr. NASA: Paper 1856. Hampton, VA, 1981.
- Аветисян А.А. Азатян В.В. Калачев В.И. и др. // Кинетика и катализ. 2007. Т. 48. № 1. С. 12.
- Заманский В.М., Борисов А.А. // Итоги науки и техники. Сер. “Кинетика и катализ”. М.: ВИНИТИ, 1989. С. 160.
- Drakon A., Eremin A. // Combust. Sci. Tech. 2018. V. 190. № 3. P. 550.
- Азатян В.В., Ведешкин Г.К., Филатов Ю.М. // Вестн. РАН. 2019. Т. 89. № 3. С. 279.
- Schonborn A., Sayad P., Konnov A.A., Klingmann J. // Intern. J. Hydrogen Energy. 2014. V. 39. № 23. P. 12 166.
- Dryer F.L., Chaos M. // Combust. and Flame. 2008. V. 152. P. 293.
- Chaos M., Dryer F.L. // Combust. Sci. Tech. 2008. V. 180. № 6. P. 1053.
- Павлов В.А., Герасимов Г.Я. // Инж.-физ. журн. 2014. Т. 87. № 6. С. 1238.
- Urzay J., Kseib N., Davidson D.F., Iaccarino G., Hanson R.K. // Combust. and Flame. 2014. V. 161. № 1. P. 1
- Власов П.А., Смирнов В.Н., Тереза А.М. // Хим. физика. 2016. Т. 35. № 6. С. 35.
- Смыгалина А.Е., Киверин А.Д. // Хим. физика. 2021. Т. 40. № 8. С. 49.
- Гельфанд Б.Е., Медведев С.П., Хомик С.В. и др. // ДАН. 1996. Т. 349. № 4. С. 482.
- Gelfand B.E., Popov O.E., Medvedev S.P. et al. // Proc. 21st Sympos. (Intern.) on Shock Waves / Ed. Houwing A.F.P. Brisbane, Canberra, Australia: Queensland University, 1997. Paper № 2400.
- Забайкин В.А., Perkov E.V., Tret’yakov P.K. // Физика горения и взрыва. 1997. Т. 33. № 3. С. 70.
- Козлов С.Н., Александров Е.Н., Кузнецов Н.М., Маркевич Е.А. // Хим. физика. 2013. Т. 32. № 11. С. 75.
- Александров Е.Н., Маркевич Е.А., Козлов С.Н., Частухин Д.С., Кузнецов Н.М. // Физика горения и взрыва. 2013. Т. 49. № 1. С. 3.
- Маркевич Е.А., Козлов С.Н., Александров Е.Н., Кузнецов Н.М. // Хим. физика. 2014. Т. 33. № 6. С. 47.
- Rubtsov N.M. Key Factors of Combustion. From Kinetics to Gas Dynamics. Cham, Switzerland: Springer, 2017.
- Tingas E.Al., Kyritsis D.C., Goussis D.A. // J. Energy Eng. 2019. V. 145. Issue 1. P. 04018074
- Налбандян А.Б., Воеводский В.В. Механизм окисления и горения водорода. М.: Изд-во АН СССР, 1949.
- Кондратьев В.Н., Никитин Е.Е. Кинетика и механизм газофазных реакций. М.: Наука, 1974.
- Crane J., Shi X., Singh A.V., Tao Y., Wang H. // Combust. and Flame. 2019. V. 200. P. 44.
- Hu E., Pan L., Gao Z. et al. // Inter. J. Hydr. Energ. 2016. V. 41. P. 13261.
- Keromnes A., Metcalfe W.K., Heufer K.A. et al. // Combust. Flame. 2013. V. 160. P. 995.
- Mulvihill C.R., Petersen E.L. // Proc. Combust. Inst. 2019. V. 37. Issue 1. P. 259; https://doi.org/10.1016/j.proci.2018.05.024
- Cantwell B.J. // Annu. Rev. Fluid Mech. 1981. V. 13. P. 457.
- Репик Е.У., Соседко Ю.П. Турбулентный пограничный слой. М.: Физматлит, 2007.
- Физическая химия быстрых реакций / Под ред. Левитт Б.П. М.: Мир, 1976.
- Safety standard for hydrogen and hydrogen systems NASA. Washington, DC, 1997. Paper NSS 1740.16.
- Sinev M.Yu. // Rus. J. Phys. Chem. B. 2007. V. 1. № 4. P. 329.
- Долин П.И., Эршлер Б.В. // Доклады, представленные СССР на Междунар. конф. по мирному использованию атомной энергии в Женеве. М.: АН СССР, 1955. С. 293.
- Le Caer S. // Water. 2011. V. 3. № 1. P. 235; https://doi.org/10.3390/w3010235
- Macdonald D.D., Engelhardt G.R., Petrov A.A // Corros. Mater. Degrad. 2022. V. 3. P. 470; https://doi.org/10.3390/cmd3030028
- CHEMKIN-Pro 15112. CK-TUT-10112-1112-UG-1. Reaction Design: San Diego, 2011.
- Grune J., Sempert K., Haberstroh H., Kuznetsov M., Jordan T. // J. Loss Prevention Process Industries. 2013. V. 26. P. 317.
- Тереза А.М., Агафонов Г.Л., Андержанов Э.К. и др. // Хим. физика. 2022. Т. 41. № 8. С. 66.
- Sanchez A.L., Williams F.A. // Progr. Energy Combust. Sci. 2014. V. 41. P. 1.
- Голодец Г.И. Гетерогенно-каталитические реакции с участием молекулярного кислорода. Киев: Наук. думка, 1977.
- Синев М.Ю. Автореф. дис. … д-ра хим. наук. М.: ИХФ РАН, 2011. С. 63.
- Высокореакционные интермедиаты / Под ред. Егорова М.П., Мельникова М.Я. М.: КРАСАНД, 2014.
- Тереза А.М., Агафонов Г.Л., Андержанов Э.К. и др. // Горение и взрыв. 2021.Т. 14. № 4. С. 4
- Азатян В.В. // Кинетика и катализ. 2020. Т. 61. № 3. С. 291.
- Masten D.A., Hanson R.K., Bowman C.T. // J. Phys. Chem. 1990. V. 94. № 18. P. 7119.
Supplementary files
 
				
			 
					 
						 
						 
						 
						 
				
 
  
  
  Email this article
			Email this article 







