Lithium-Conducting Nafion Membrane Plasticized with a DMSO–Sulfolane Mixture
- Authors: Kayumov R.R.1, Radaeva A.P.1, Krupina A.A.1,2, Tarusina K.A.1, Lapshin A.N.1, Shmygleva L.V.1
- 
							Affiliations: 
							- Federal Research Center of Problems of Chemical Physics and Medicinal Chemistry, Russian Academy of Sciences
- Moscow Institute of Physics and Technology
 
- Issue: Vol 42, No 7 (2023)
- Pages: 23-32
- Section: XXXIV СИМПОЗИУМ “СОВРЕМЕННАЯ ХИМИЧЕСКАЯ ФИЗИКА” (СЕНТЯБРЬ 2022 г., ТУАПСЕ)
- URL: https://journal-vniispk.ru/0207-401X/article/view/139932
- DOI: https://doi.org/10.31857/S0207401X23070099
- EDN: https://elibrary.ru/YCALKG
- ID: 139932
Cite item
Full Text
Abstract
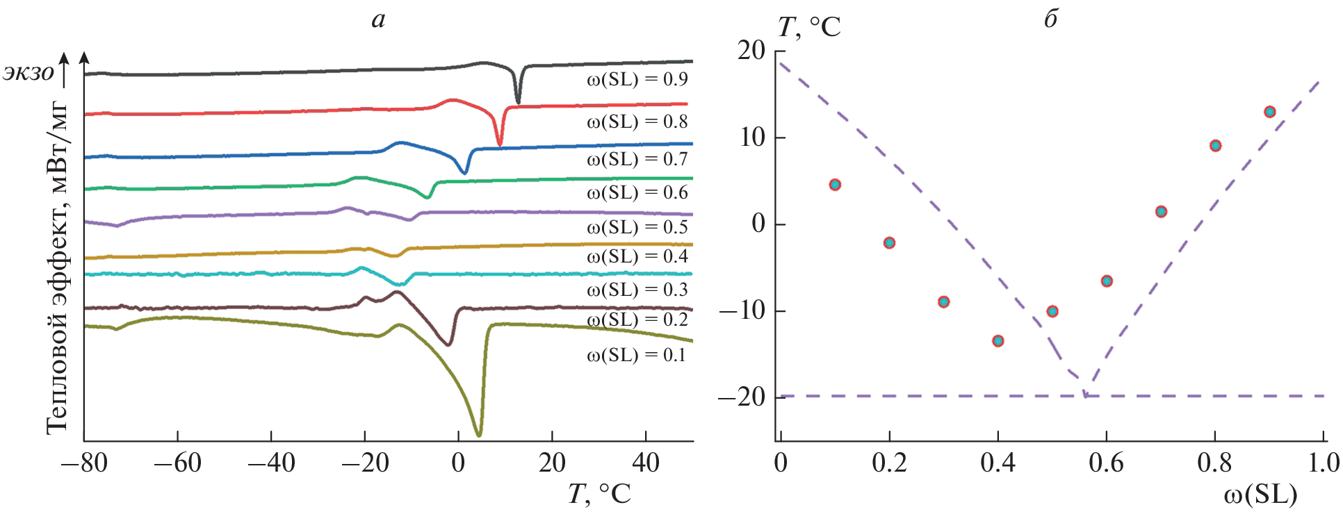
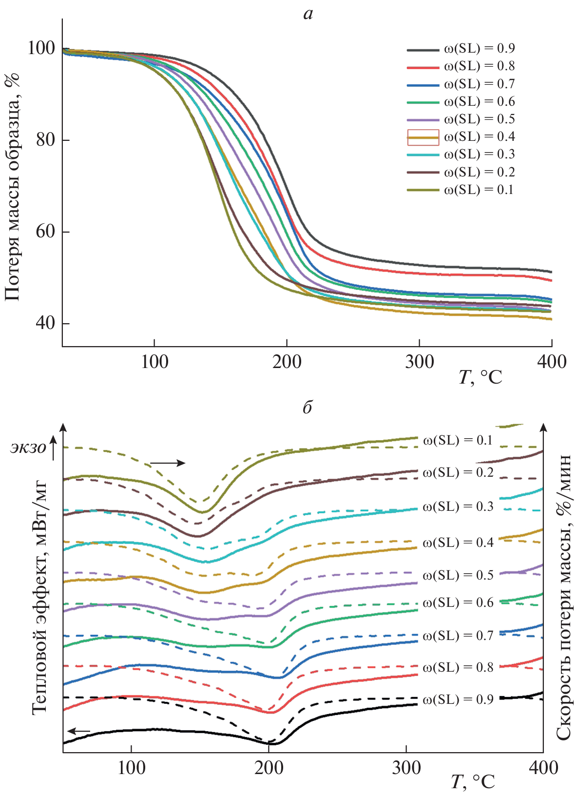
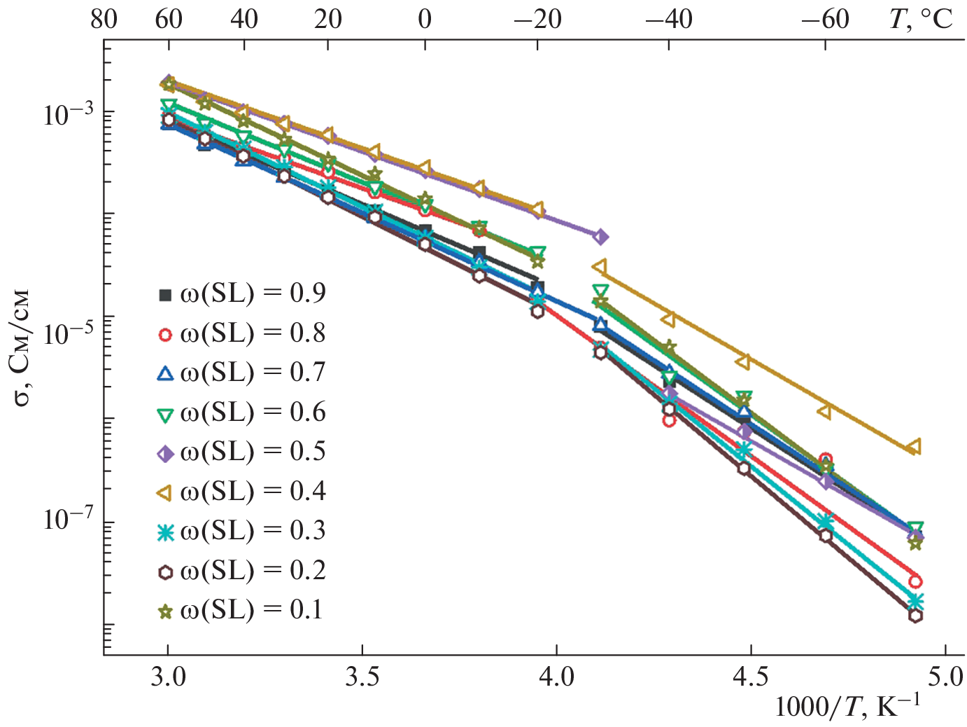
The effect of the composition of a binary plasticizing mixture based on dimethyl sulfoxide and sulfolane on the physicochemical properties of the lithium form of the Nafion membrane is studied. To explain the behavior of the electrotransport properties of membranes, experimental studies of intermolecular interactions, thermal behavior, and the ion-transport properties of the obtained lithium-conducting polyelectrolytes are carried out using IR spectroscopy, simultaneous thermal analysis, and impedance spectroscopy. A relationship is found between the shift of the eutectic point to the region of a lower content of sulfolane compared to bulk solvents and the composition of the plasticizer, in which the samples had the best conductivity of 0.76 mS/cm at 30°C.
About the authors
R. R. Kayumov
Federal Research Center of Problems of Chemical Physics and Medicinal Chemistry, Russian Academy of Sciences
														Email: kayumov@icp.ac.ru
				                					                																			                												                								 Chernogolovka, Russia						
A. P. Radaeva
Federal Research Center of Problems of Chemical Physics and Medicinal Chemistry, Russian Academy of Sciences
														Email: kayumov@icp.ac.ru
				                					                																			                												                								 Chernogolovka, Russia						
A. A. Krupina
Federal Research Center of Problems of Chemical Physics and Medicinal Chemistry, Russian Academy of Sciences; Moscow Institute of Physics and Technology
														Email: kayumov@icp.ac.ru
				                					                																			                												                								 Chernogolovka, Russia; Dolgoprudny, Moscow oblast, Russia						
K. A. Tarusina
Federal Research Center of Problems of Chemical Physics and Medicinal Chemistry, Russian Academy of Sciences
														Email: kayumov@icp.ac.ru
				                					                																			                												                								 Chernogolovka, Russia						
A. N. Lapshin
Federal Research Center of Problems of Chemical Physics and Medicinal Chemistry, Russian Academy of Sciences
														Email: kayumov@icp.ac.ru
				                					                																			                												                								 Chernogolovka, Russia						
L. V. Shmygleva
Federal Research Center of Problems of Chemical Physics and Medicinal Chemistry, Russian Academy of Sciences
							Author for correspondence.
							Email: kayumov@icp.ac.ru
				                					                																			                												                								 Chernogolovka, Russia						
References
- Fan X., Wang C. // Chem. Soc. Rev. 2021. V. 50. P. 10 486.
- Gibbs H.H., Griffin R.N. // Patent 3041317A US. 1962.
- Connolly D.J., Gresham W.F. // Patent 3282875 US. 1966.
- Kusoglu A., Weber A.Z. // Chem. Rev. 2017. V. 117. P. 987.
- Zhu L.Y., Li Y.C., Liu J. et al. // Pet. Sci (China). 2021. V. 19. P. 1371.
- Ng W.W., Thiam H.S., Pang Y.L. et al. // Membranes (Basel). 2022. V. 12. № 5. P. 506.
- Jiang B., Wu L., Yu L. et al. // J. Membr. Sci. 2016. V. 510. P. 18.
- Sanginov E.A., Kayumov R.R., Shmygleva L.V. et al. // Solid State Ionics. 2017. V. 300. P. 26.
- Yaroslavtsev A.B., Novikova S.A., Voropaeva D.Y. et al. // Batteries (Basel). 2022. V. 8. P. 162.
- Doyle M., Lewittes M.E., Roelofs M.G. et al. // J. Phys. Chem. B. 2001. V. 105. P. 9387.
- Doyle M., Lewittes M.E., Roelofs M.G. et al. // J. Membr. Sci. 2001. V. 184. P. 257.
- Sachan S., Ray C.A., Perusich S.A. // Polym. Eng. Sci. 2002. V. 42. P. 1469.
- Su L., Darling R.M., Gallagher K.G. et al. // J. Electrochem. Soc. 2016. V. 163. P. A5253.
- Krupina A.A., Kayumov R.R., Nechaev G.V. et al. // Membranes (Basel). 2022. V. 12. № 9. P. 840.
- Воропаева Д.Ю., Новикова С.А., Ярославцев А.Б. // Успехи химии. 2020. Т. 89. № 10. С. 1132.
- Kulova T., Skundin A., Chekannikov A. et al. // Batteries. 2018. V. 4. № 4. P. 61.
- Voropaeva D.Y., Novikova S.A., Kulova T.L. et al. // Solid State Ionics. 2018. V. 324. P. 28.
- Воропаева Д.Ю., Ярославцев А.Б. // Мембраны и мембр. технологии. 2022. Т. 12. № 4. С. 315.
- Карелин А.И., Каюмов Р.Р., Сангинов Е.А. и др. // Мембр. мембр. технол. 2016. Т. 6. № 4. С. 366.
- Каюмов Р.Р., Шмыглева Л.В., Евщик Е.Ю. и др. // Электрохимия. 2021. Т. 57. № 8. С. 507.
- Kayumov R.R., Sanginov E.A., Shmygleva L.V. et al. // J. Electrochem. Soc. 2019. V. 166. P. F3216.
- Guglielmi M., Aldebert P., Pineri M. // J. Appl. Electrochem. 1989. V. 19. P. 167.
- Voropaeva D.Y., Novikova S.A., Kulova T.L. et al. // Ionics. 2018. V. 24. P. 1685.
- Voropaeva D., Novikova S., Xu T. et al. // J. Phys. Chem. B. 2019. V. 123. № 48. P. 10217.
- Сангинов Е.А., Евщик Е.Ю., Каюмов Р.Р. и др. // Электрохимия. 2015. Т. 51. № 10. С. 1115.
- Istomina A.S., Yaroslavtseva T.V., Reznitskikh O.G. et al. // Polymers (Basel). 2021. V. 13. № 7. P. 1150.
- Sanginov E.A., Borisevich S.S., Kayumov R.R. et al. // Electrochim. Acta. 2021. V. 373. P. 137914.
- Cai Z., Liu Y., Liu S. et al. // Energy Environ. Sci. 2012. V. 5. P. 5690.
- Liu Y., Cai Z., Tan L. et al. // Ibid. P. 9007.
- Cao C., Wang H., Liu W. et al. // Intern. J. Hydrogen Energy. 2014. V. 39. P. 16110.
- Simari C., Tuccillo M., Brutti S. et al. // Electrochim. Acta. 2022. V. 410. P. 139936.
- Резницких О.Г., Истомина А.С., Борисевич С.С. и др. // ЖФХ. 2021. Т. 95. № 6. С. 867.
- Fulem M., Růžička K., Růžička M. // Fluid Phase Equilib. 2011. V. 303. № 2. P. 205.
- Ahlers J., Lohmann J., Gmehling J. // J. Chem. Eng. Data. 1999. V. 44. № 4. P. 727.
- Domalski E.S., Hearing E.D. // J. Phys. Chem. Ref. Data. 1990. V. 19. P. 881.
- Jannelli L., Pansini M. // J. Chem. Eng. Data. 1985. V. 30. P. 428.
- Feldheim D.L., Lawson D.R., Martin C.R. // J. Polym. Sci. B. 1993. V. 31. P. 953.
- Thompson E.L., Capehart T.W., Fuller T.J. et al. // J. Electrochem. Soc. 2006. V. 153. P. A2351.
- Lue S.J., Shieh S.J. // J. Macromol. Sci. B. 2009. V. 48. P. 114.
- Смирнов В.А., Дубовицкий В.А., Денисов Н.Н. и др. // Хим. физика. 2018. Т. 37. № 6. P. 72.
- Gruger A., Régis A., Schmatko T. et al. // Vib. Spectrosc. 2001. V. 26. P. 215.
- Karelin A.I., Kayumov R.R., Sanginov E.A. et al. // Spectrochim. Acta, Part A. 2017. V. 178. P. 94.
- Bushkova O.V., Sanginov E.A., Chernyuk S.D. et al. // Membranes and Membr. Technol. 2022. V. 4. № 6. P. 433.
- Bagheri S., Monajjemi M., Ziglari A. et al. // Russ. J. Phys. Chem. B. 2021. V. 15. Suppl. 1. P. S140.
- Chen Z., Shao Z., Siddiqui M.K. et al. // Russ. J. Phys. Chem. B. 2019. V. 13. P. 156.
- Галашева А.Е., Рахманова О.Р., Катиг К.П. и др. // Хим. физика. 2020. Т. 39. № 11. P. 80.
Supplementary files
 
				
			 
					 
						 
						 
						 
						 
				
 
  
  
  Email this article
			Email this article 







