Composite Aerogels Based on Reduced Graphene Oxide Decorated with Iron Oxide Nanoparticles: Synthesis, Physicochemical and Sorption Properties
- Авторлар: Neskoromnaya E.A.1, Babkin A.V.2, Zakharchenko E.A.1, Morozov Y.G.3, Kabachkov E.N.4, Shulga Y.M.4
- 
							Мекемелер: 
							- Vernadsky Institute of Geochemistry and Analytical Chemistry, Russian Academy of Sciences
- Department of Chemistry, Moscow State University
- Merzhanov Institute of Structural Macrokinetics and Materials Science, Russian Academy of Sciences
- Federal Research Center of Problems of Chemical Physics and Medicinal Chemistry, Russian Academy of Sciences
 
- Шығарылым: Том 42, № 7 (2023)
- Беттер: 41-49
- Бөлім: XXXIV СИМПОЗИУМ “СОВРЕМЕННАЯ ХИМИЧЕСКАЯ ФИЗИКА” (СЕНТЯБРЬ 2022 г., ТУАПСЕ)
- URL: https://journal-vniispk.ru/0207-401X/article/view/139941
- DOI: https://doi.org/10.31857/S0207401X23070130
- EDN: https://elibrary.ru/YFHLEQ
- ID: 139941
Дәйексөз келтіру
Толық мәтін
Аннотация
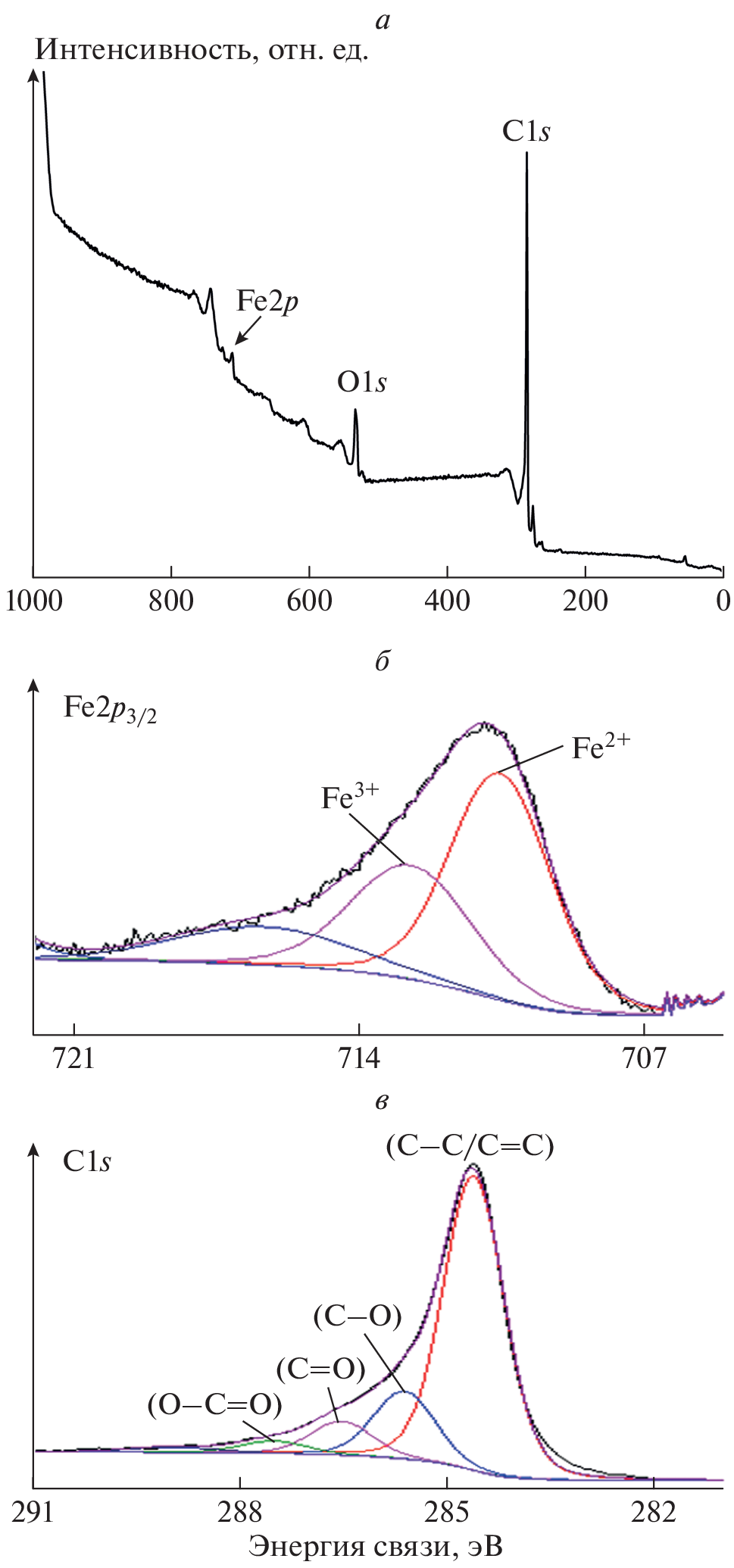
In this study, aerogels based on graphene oxide decorated with iron oxide nanoparticles are obtained by drying in supercritical isopropanol. For the synthesized samples with the calculated initial iron contents of 9, 18 and 36 wt %, the morphology and structure of the graphene matrix and iron-containing nanoparticles are studied using the scanning electron microscopy (SEM) and transmission electron microscopy (TEM) methods. Comparative investigations are conducted to analyze the carbon and hydrogen composition within the synthesized aerogels structure, followed by an assessment of their magnetic properties at ambient temperature. Sorption experiments are carried out for the extraction of heavy and rare earth elements from multicomponent aqueous solutions of a complex composition.
Негізгі сөздер
Авторлар туралы
E. Neskoromnaya
Vernadsky Institute of Geochemistry and Analytical Chemistry, Russian Academy of Sciences
														Email: A.V.Babkin93@yandex.ru
				                					                																			                												                								Moscow, Russia						
A. Babkin
Department of Chemistry, Moscow State University
														Email: A.V.Babkin93@yandex.ru
				                					                																			                												                								Moscow, Russia						
E. Zakharchenko
Vernadsky Institute of Geochemistry and Analytical Chemistry, Russian Academy of Sciences
														Email: A.V.Babkin93@yandex.ru
				                					                																			                												                								Moscow, Russia						
Yu. Morozov
Merzhanov Institute of Structural Macrokinetics and Materials Science, Russian Academy of Sciences
														Email: A.V.Babkin93@yandex.ru
				                					                																			                												                								Chernogolovka, Russia						
E. Kabachkov
Federal Research Center of Problems of Chemical Physics and Medicinal Chemistry, Russian Academy of Sciences
														Email: A.V.Babkin93@yandex.ru
				                					                																			                												                								Chernogolovka, Russia						
Yu. Shulga
Federal Research Center of Problems of Chemical Physics and Medicinal Chemistry, Russian Academy of Sciences
							Хат алмасуға жауапты Автор.
							Email: A.V.Babkin93@yandex.ru
				                					                																			                												                								Chernogolovka, Russia						
Әдебиет тізімі
- Häder D.-P., Banaszak A.T., Villafañe V.E. et al. // Sci. Total Environ. 2020. V. 713. P. 136586; https://doi.org/10.1016/j.scitotenv.2020.136586
- Thompson L.A., Darwish W.S. // J. Toxicol. 2019. V. 2019. P. 2345283; https://doi.org/10.1155/2019/2345283
- Boretti A., Rosa L. // npj Clean Water. 2019. V. 2. P. 15; https://doi.org/10.1038/s41545-019-0039-9
- Конькова Т.В., Гордиенко М.Г., Меньшутина Н.В. и др. // Сверхкритические флюиды: теория и практика. 2017. Т. 12. № 3. С. 32.
- Ali I., Neskoromnaya E.A., Melezhik A.V. et al. J. Porous. Mater. 2022. V. 29. P. 545; https://doi.org/10.1007/s10934-021-01175-0
- Liu H., Qiu H. // Chem. Eng. J. 2020. V. 393. P. 124 691; https://doi.org/10.1016/j.cej.2020.124691
- Вальчук Н.А., Бровко О.С., Паламарчук И.А. и др. // Сверхкритические флюиды: теория и практика. 2018. Т. 13. № 3. С. 83; https://doi.org/10.34984/SCFTP.2018.13.3.009
- Zhang X., Zhou J., Zheng Y., Wei H., Su Z. // Chem. Eng. J. 2021. V. 420. Part 1. P. 129700; https://doi.org/10.1016/j.cej.2021.129700
- Neskoromnaya E.A., Burakov A.E., Melezhik A.V. et al. // Inorg. Mater. Appl. Res. 2020. V. 11. № 2. P. 467; https://doi.org/10.1134/S2075113320020264
- Guo H., Jiao T., Zhang Q. et al. // Nanoscale Res. Lett. 2015. V. 10. P. 272; https://doi.org/10.1186/s11671-015-0931-2
- Huong P., Tu N., Lan H. et al. // RSC Adv. 2018. Issue 22. P. 12 376; https://doi.org/10.1039/C8RA00270C
- Wang S., Ning H., Hu N. et al. // Composites, Part B. 2019. V. 163. P. 716; https://doi.org/10.1016/j.compositesb.2018.12.140
- Abd-Elhamid A.I., Kamoun E.A., El-Shanshory A.A. // Mol. Liq. 2019. V. 279. P. 530; https://doi.org/10.1016/j.molliq.2019.01.162
- Губин С.П., Буслаева Е.Ю. // Сверхкритические флюиды: теория и практика. 2009. Т. 4. № 4. С. 73.
- Neskoromnaya E.A., Khamizov R.K., Melezhyk A.V. et al. // Colloids Surf., A. 2022. V. 655. P. 130224; https://doi.org/10.1016/j.colsurfa.2022.130224
- Shul’ga Yu.M., Kabachkov E.N. et al. // Russ. J. Phys. Chem. A. 2019. V. 93(2). P. 296; https://doi.org/10.1134/S0036024419010278
- Thakur A., Kumar S., Rangra V.S. // Proc. AIP Conf. 2015. V. 1661. P. 080032; https://doi.org/10.1063/1.4915423
- Khandare L., Late D.J. // Appl. Surf. Sci. 2017. V. 418. Part A. P. 2; https://doi.org/10.1016/j.apsusc.2016.11.199
- Khamboonrueang D. et al. // Mater. Res. Bull. 2018. V. 107. P. 236.
- Paganin V.A., Ticianelli E.A., Gonzalez E.R. // J. Appl. Elecrochem. 1996. V. 26. P. 297.
- Lv P., Tang X., Zheng R. et al. // Nanoscale Res. Lett. 2017. V. 12. P. 630; https://doi.org/10.1186/s11671-017-2395-z
- Aliahmad M., Nasiri Moghaddam N. // Mater. Sci-Pol. 2013. V. 31. № 264; https://doi.org/10.2478/s13536-012-0100-6
- Shulga Y.M., Melezhik A.V., Kabachkov E.N. et al. // Appl. Phys. A: Mater. Sci. Process. 2019. V. 125. P. 460.
- Ravi T., Sundararaman S. // Russ. J. Phys. Chem. B. 2021. V. 15. P. 462; https://doi.org/10.1134/S1990793121030295
- Lei Y., Chen F., Luo Y. et al. // J. Mater. Sci. 2014. V. 49. P. 4236; https://doi.org/10.1007/s10853-014-8118-2
- Chen W., Li S., Chen C., Yan L. // Adv. Mater. 2011. V. 23. Issue 47. P. 5679; https://doi.org/10.1002/adma.201102838
- Wang T., Zhang L., Wang H. et al. // ACS Appl. Mater. Interfaces. 2013. V. 5. № 23. P. 12449; https://doi.org/10.1021/am403533v
- Kumar S., Nair R.R., Pillai P.B. et al. Ibid. 2014. V. 6. № 20. P. 17426; https://doi.org/10.1021/am504826q
Қосымша файлдар
 
				
			 
						 
					 
						 
						 
						 
									
 
  
  
  Мақаланы E-mail арқылы жіберу
			Мақаланы E-mail арқылы жіберу 






