Influence of Impurities on the Stability of the Ti5Si3 and TiSi Phases
- Авторлар: Chumakova L.S.1, Bakulin A.V.1, Kulkova S.E.1,2
- 
							Мекемелер: 
							- Institute of Strength Physics and Materials Science, Siberian Branch, Russian Academy of Sciences
- National Research Tomsk State University
 
- Шығарылым: Том 42, № 7 (2023)
- Беттер: 78-85
- Бөлім: XXXIV СИМПОЗИУМ “СОВРЕМЕННАЯ ХИМИЧЕСКАЯ ФИЗИКА” (СЕНТЯБРЬ 2022 г., ТУАПСЕ)
- URL: https://journal-vniispk.ru/0207-401X/article/view/139962
- DOI: https://doi.org/10.31857/S0207401X23070051
- EDN: https://elibrary.ru/YBMCSE
- ID: 139962
Дәйексөз келтіру
Толық мәтін
Аннотация
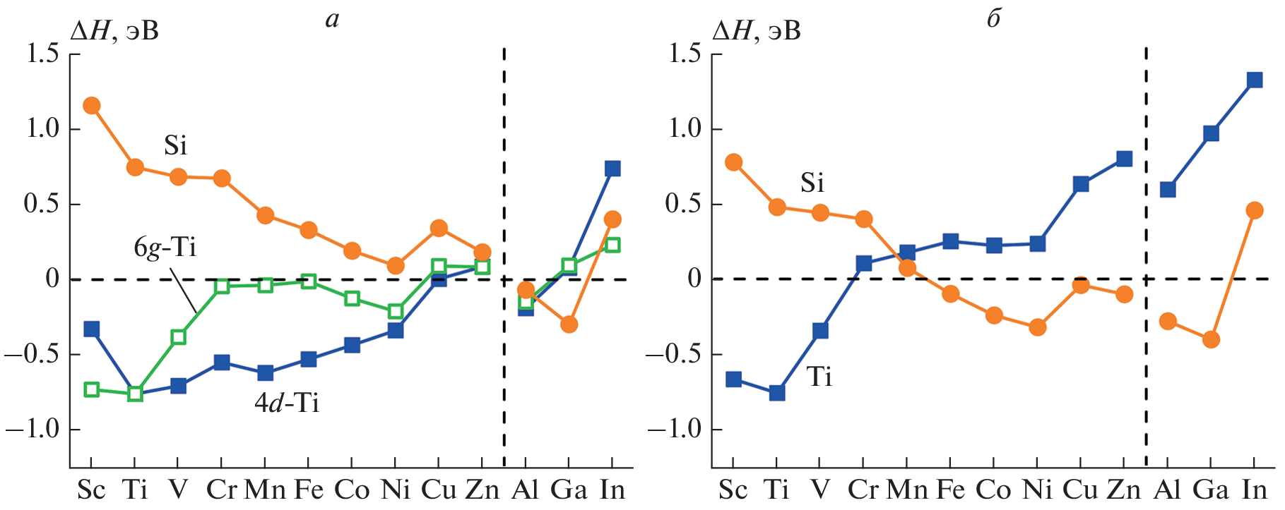
The total energies of a number of Ti–Si intermetallic phases are calculated by the projector augmented-wave method. It is shown that the formation enthalpies of Ti5Si3 and TiSi are almost equal. The peculiarities of the density of electronic states of the considered titanium silicides and its evolution with increasing silicon content are discussed. The formation energies of doped titanium silicides Ti5Si3 and TiSi are calculated depending on the position of the impurity on different sublattices. It is established that the elements of the 3d-period prefer to replace titanium in Ti5Si3, while the elements of the second half of the 3d‑period substitute silicon in TiSi. The effect of impurities on the relative stability of compounds is studied. It is shown that almost all the considered elements except Cu, Zn, Al, and Ga increase the stability of the Ti5Si3 phase with respect to TiSi. The obtained results agree with the available experimental data.
Негізгі сөздер
Авторлар туралы
L. Chumakova
Institute of Strength Physics and Materials Science, Siberian Branch, Russian Academy of Sciences
														Email: bakulin@ispms.tsc.ru
				                					                																			                												                								Tomsk, Russia						
A. Bakulin
Institute of Strength Physics and Materials Science, Siberian Branch, Russian Academy of Sciences
														Email: bakulin@ispms.tsc.ru
				                					                																			                												                								Tomsk, Russia						
S. Kulkova
Institute of Strength Physics and Materials Science, Siberian Branch, Russian Academy of Sciences;National Research Tomsk State University
							Хат алмасуға жауапты Автор.
							Email: bakulin@ispms.tsc.ru
				                					                																			                												                								Tomsk, Russia; Tomsk, Russia						
Әдебиет тізімі
- Gambino J.P., Colgan E.G. // Mater. Chem. Phys. 1998. V. 52. № 2. P. 99.
- Chen L.J. Silicide technology for integrated circuits. L.: IET, 2009.
- Takasugi T. // Mater. Res. Soc. Sympos. Proc. 1991. V. 213. P. 403.
- Grabke H.J., Meier G.H. // Oxid. Met. 1995. V. 44. P. 147.
- Meyer M.K., Akinc M. // J. Amer. Ceram. Soc. 1996. V. 79. № 4. P. 938.
- Li X.Y., Taniguchi S., Matsunaga Y. et al. // Intermetallics. 2003. V. 11. № 2. P. 143.
- Jiang H.R., Wang Z.L., Ma W.S. et al. // Trans. Nonferrous Met. Soc. China. 2008. V. 18. № 3. P. 512.
- Huang J., Zhao F., Cui X. et al. // Appl. Surf. Sci. 2022. V. 582. P. 152444.
- Massalski T.B. Binary alloy phase diagrams. Materials Park. V. 2. Ohio: ASM, 1986. P. 2054.
- Villars P., Calvert L.D. Pearsons handbook of crystallographic data for intermetallic phases. Metals Park, Ohio: ASM, 1985.
- Colinet C., Tedenac J.C. // Intermetallics. 2010. V. 18. № 8. P. 1444.
- Ekman M., Ozoliņš V. // Phys. Rev. B. 1997. V. 57. № 8. P. 4419.
- Colinet C., Wolf W., Podloucky R. et al. // Appl. Phys. Lett. 2005. V. 87. № 4. P. 041910.
- Shao G. // Acta Mater. 2005. V. 53. № 13. P. 3729.
- Wang T., Chen J.A., Ling X. et al. // Modern Phys. Lett. B. 2006. V. 20. № 7. P. 343.
- Robins D.A., Jenkins I. // Acta Met. 1955. V. 3. № 6. P. 598.
- Savin V.D. // Russ. J. Phys. Chem. 1973. V. 47. P. 1423.
- Golutvin Yu.M. // Russ. J. Phys. Chem. 1959. V. 33. P. 164.
- Маслов В.М., Неганов А.С., Боровинская И.П. и др. // Физика горения и взрыва. 1978. Т. 14. № 6. С. 73.
- Meschel S.V., Kleppa O.J. // J. Alloys Compd. 1998. V. 267. № 1. P. 128.
- Kematick R.J., Myers C.E. // Chem. Mater. 1996. V. 8. № 1. P. 287.
- Topor L., Kleppa O.J. // J. Met. Trans. A. 1985. V. 17. P. 1217.
- Williams J.J., Ye Y.Y., Kramer M.J. et al. // Intermetallics. 2000. V. 8. № 8. P. 937.
- Blöchl P.E. // Phys. Rev. B. 1994. V. 50. № 24. P. 17953.
- Kresse G., Joubert D. // Ibid. 1999. V. 59. № 3. P. 1758.
- Perdew J.P., Burke K., Ernzerhof M. // Phys. Rev. Lett. 1996. V. 77. № 18. P. 3865.
- Чумакова Л.С., Бакулин А.В., Кулькова С.Е. // ЖЭТФ. 2022. Т. 161. Вып. 6. С. 874.
- Manz T.A., Limas N.G. // RSC Adv. 2016. V. 6. P. 47 771.
- Limas N.G., Manz T.A. // RSC Adv. 2016. V. 6. P. 45 727.
- Бакулин А.В., Кулькова С.Е. // ЖЭТФ. 2018. Т. 154. Вып. 6 (12). С. 1136.
Қосымша файлдар
 
				
			 
						 
					 
						 
						 
						 
									
 
  
  
  Мақаланы E-mail арқылы жіберу
			Мақаланы E-mail арқылы жіберу 





