Диэлектрические свойства композитов на основе этиленвинилацетата, наполненного голландитоподобным керамическим материалом K1.5Co0.75Ti7.25O16
- Авторы: Викулова М.А.1, Цыганов А.Р.1, Артюхов Д.И.1, Гороховский А.В.1, Горшков Н.В.1
- 
							Учреждения: 
							- Саратовский государственный технический университет им. Ю.А. Гагарина
 
- Выпуск: Том 42, № 11 (2023)
- Страницы: 3-8
- Раздел: Химическая физика полимерных материалов
- URL: https://journal-vniispk.ru/0207-401X/article/view/233189
- DOI: https://doi.org/10.31857/S0207401X23110092
- EDN: https://elibrary.ru/PZVQJA
- ID: 233189
Цитировать
Полный текст
Аннотация
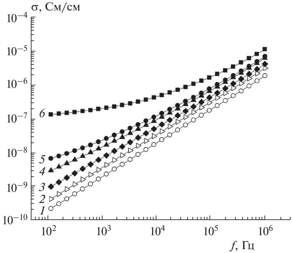
В качестве перспективных материалов для компонентов электронных устройств в работе получены и исследованы полимер-матричные композиты на основе этиленвинилацетата и твердого раствора состава KxCoyTi8–yO16 с голландитоподобной структурой (KCoTO(H)). Синтез наполнителя осуществлен путем модифицирования рентгеноаморфого соединения полититаната калия K2O · nTiO2 (n = 4.3) в растворе CoSO4 · 7H2O в щелочных условиях с последующей температурной обработкой при 900 °С. Структура синтезированного материала и морфология частиц исследованы методами рентгеновского фазового анализа и сканирующей электронной микроскопии соответственно. Введение KCoTO(H) в полимерную матрицу этиленвинилацетата проведено посредством смешения предварительно приготовленных раствора полимера и дисперсии порошка-наполнителя в соответствующем растворителе в количествах 10, 20, 30, 40 и 50 об.%. Методом импедансной спектроскопии исследовано частотное поведение диэлектрической проницаемости, тангенса угла диэлектрических потерь и проводимости полученных композитов. Установлено, что увеличение содержания KCoTO(H) в составе композита способствует росту исследованных диэлектрических характеристик относительно чистой полимерной матрицы этиленвинилацетата во всем частотном диапазоне 0.1 кГц–1 МГц.
Об авторах
М. А. Викулова
Саратовский государственный технический университет им. Ю.А. Гагарина
														Email: algo54@mail.ru
				                					                																			                												                								Россия, Саратов						
А. Р. Цыганов
Саратовский государственный технический университет им. Ю.А. Гагарина
														Email: algo54@mail.ru
				                					                																			                												                								Россия, Саратов						
Д. И. Артюхов
Саратовский государственный технический университет им. Ю.А. Гагарина
														Email: algo54@mail.ru
				                					                																			                												                								Россия, Саратов						
А. В. Гороховский
Саратовский государственный технический университет им. Ю.А. Гагарина
														Email: algo54@mail.ru
				                					                																			                												                								Россия, Саратов						
Н. В. Горшков
Саратовский государственный технический университет им. Ю.А. Гагарина
							Автор, ответственный за переписку.
							Email: algo54@mail.ru
				                					                																			                												                								Россия, Саратов						
Список литературы
- Wu H., Zhuo F., Qiao H. et al. // Energy Environ. Mater. 2022. V. 5. № 2. P. 486.
- Esmaili P., Azdast T., Doniavi A. // J. Polym. Res. 2022. V. 29. № 11. Article 465.
- Fan B., Zhou M., Zhang C. et al. // Prog. Polym. Sci. 2019. V. 97. P. 101143.
- Прусаков В.Е., Максимов Ю.В., Нищев К.Н. и др. // Хим. физика. 2018. Т. 37. № 1. С. 83.
- Shanmugasundram H.P.P.V., Jayamani E., Soon K.H. // Renewable Sustainable Energy Rev. 2022. V. 157. Issue C.
- Мясоедова В.В. // Хим. физика. 2019. Т. 38. № 9. С. 83.
- Залепугин Д.Ю., Тилкунова Н.А., Чернышова И.В. // Сверхкритические флюиды: теория и практика. 2019. Т. 14. № 3. С. 11.
- Raja J.G., Ahamed M.B., Hussain C.M. et al. // J. Mater. Sci. – Mater. Electron. 2022. V. 33. № 29. P. 22883.
- Tan W.K., Matsubara Y., Yokoi A. et al. // Adv. Powder Technol. 2022. V. 33. № 4. P. 103528.
- Kim G.H., Moon Y.I., Jung J.K. et al. // Polymers (Basel). 2022. V. 14. № 1. P. 155.
- Hu C., Zhang H., Neate N. et al. // Ibid. № 18. P. 2583.
- Liu Y., Li L., Shi J. et al. // Chem. Eng. J. 2019. V. 373. P. 642.
- Симбирцева Г.В., Пивень Н.П., Бабенко С.Д. // Хим. физика. 2020. Т. 39. № 12. С. 60.
- Жуков А.М., Солодилов В.И., Третьяков И.В., Буракова Е.А., Юрков Г.Ю. // Хим. физика. 2022. Т. 41. № 9. С. 64.
- Васильев А.А., Дзидзигури Э.Л., Ефимов М.Н., Муратов Д.Г., Карпачева Г.П. // Хим. физика. 2021. Т. 40. № 6. С. 18.
- Ou J., Chen Y., Zhao J. et al. // Polymers (Basel). 2022. V. 14. № 20. P. 4328.
- Deng Q., Huang Y., Chen B. et al. // Colloids Surf. A. Physicochem. Eng. Asp. 2022. V. 632. P. 127763.
- Bu Q., Hu J., Xiang B. et al. // Mater. Res. Bull. 2022. V. 147. P. 111632.
- Zhou Y., Liu Q., Chen F. et al. // Ceram. Intern. 2021. V. 47. № 4. P. 5112.
- Laarsi H.A., Fasquelle D., Tachafine A. // J. Electron. Mater. 2021. V. 50. № 3. P. 1132.
- Besprozvannykh N.V., Sinel’shchikova O.Y., Morozov N.A. et al. // Russ. J. Appl. Chem. 2020. V. 93. № 8. P. 1132.
- Morozov N.A., Sinel’shchikova O.Y., Besprozvannykh N.V. // Glass Phys. Chem. 2021. V. 47. № 6. P. 642.
- Morozov N.A., Sinelshchikova O.Y., Besprozvannykh N.V. et al. // Ibid № 5. P. 481.
- Tsyganov A., Vikulova M., Artyukhov D. et al. // Polymers (Basel). 2022. V. 14. № 19. P. 4010.
- Vikulova M., Nikityuk T., Artyukhov D. et al. // Polymers (Basel). 2022. V. 14. № 3. P. 448.
- Vikulova M., Tsyganov A., Bainyashev A. et al. // J. Appl. Polym. Sci. 2021. V. 138. № 40. P. 51 168.
- Zhang R., Li L., Long S. et al. // Ceram. Intern. 2021. V. 47. № 15. P. 22 155.
- Jena D.P., Mohanty B., Parida R.K. et al. // Mater. Chem. Phys. 2020. V. 243. P. 122 527.
- Jena D.P., Anwar S., Parida R.K. et al. // J. Mater. Sci. – Mater. Electron. 2021. V. 32. № 6. P. 8081.
- Mujal-Rosas R., Marin-Genesca M., Ballart-Prunell J. // Sci. Eng. Compos. Mater. 2015. V. 22. № 3. P. 231.
- Das S., Achary P.G.R., Nayak N.C. et al. // Polym. Compos. 2016. V. 37. № 12. P. 3398.
- Anithakumari P., Mandal B.P., Abdelhamid E. et al. // RSC Adv. 2016. V. 6. № 19. P. 16073.
- Jin Y., Xia N., Gerhardt R.A. // Nano Energy. 2016. V. 30. P. 407.
- Ou R., Gupta S., Parker C.A. et al. // J. Phys. Chem. B. 2006. V. 110. № 45. P. 22365.
Дополнительные файлы
 
				
			 
						 
						 
						 
					 
						 
									
 
  
  
  Отправить статью по E-mail
			Отправить статью по E-mail 





