Становление адгезионной прочности систем эпоксиангидридная матрица – волокно
- Authors: 1, 1, 1, 1
- 
							Affiliations: 
							- Федеральный исследовательский центр химической физики им. Н.Н. Семёнова Российской академии наук
 
- Issue: Vol 42, No 11 (2023)
- Pages: 16-22
- Section: Chemical physics of polymeric materials
- URL: https://journal-vniispk.ru/0207-401X/article/view/233193
- DOI: https://doi.org/10.31857/S0207401X23110110
- EDN: https://elibrary.ru/OGXJXM
- ID: 233193
Cite item
Full Text
Abstract
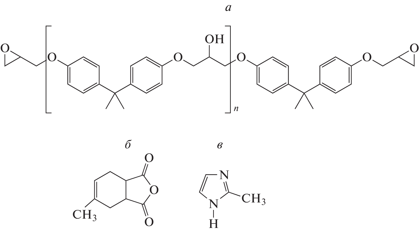
Изучено становление сдвиговой адгезионной прочности систем эпоксиангидридная матрица – волокно при разных режимах отверждения. Показано, что становление прочности происходит в несколько этапов. Также исследовано изменение степени отверждения и температуры стеклования матрицы в процессе отверждения.
About the authors
Федеральный исследовательский центр химической физики им. Н.Н. Семёнова Российской академии наук
							Author for correspondence.
							Email: maria26396@gmail.com
				                					                																			                												                								Россия, Москва						
Федеральный исследовательский центр химической физики им. Н.Н. Семёнова Российской академии наук
														Email: maria26396@gmail.com
				                					                																			                												                								Россия, Москва						
Федеральный исследовательский центр химической физики им. Н.Н. Семёнова Российской академии наук
														Email: maria26396@gmail.com
				                					                																			                												                								Россия, Москва						
Федеральный исследовательский центр химической физики им. Н.Н. Семёнова Российской академии наук
														Email: maria26396@gmail.com
				                					                																			                												                								Россия, Москва						
References
- Корнеева Н.В., Кудинов В.В., Крылов И.К. и др. // Хим. физика. 2019. Т. 38. № 9. С. 67.
- Petrova T.V., Solodilov V.I., Kabantseva V.E. et al. // Proc. IOP Conf. Ser.: Mater. Sci. and Eng. V. 683. IOP Publishing, 2019. № 1. P. 012070.
- Zhang Y., Chu L., Dai Z. et al. // Prog. Org. Coat. 2022. V. 171. P. 107060.
- Горбаткина Ю.А., Иванова-Мумжиева В.Г. Адгезия модифицированных эпоксидов к волокнам. Торус-Пресс, 2018.
- Krawczuk A., Domińczuk J. // Adv. Sci. Technol. Res. J. 2018. V. 12. № 1. P. 19.
- Prakash V.R.A., Rajadurai A. // Composites Part A. 2019. V. 122. P. 875.
- Ghiyasi S., Sari M.G., Shabanian M. et al. // Progr. Org. Coat. 2018. V. 120. P. 100.
- Huskić M., Bolka S., Vesel A. et al. // Eur. Polym. J. 2018. V. 101. P. 211.
- Рудакова Н.А., Костромина Н.В. // Успехи в хим. и хим. технол. 2020. Т. 34. № 7. С. 108.
- Куперман А.М., Сергеев А.Ю., Турусов Р.А. и др. // Хим. физика. 2022. Т. 41. № 11. С. 79.
- Shapagin A.V., Budylin N.Yu., Chalykh A.E. et al. // Polymers. 2020. V. 13. № 1. P. 35.
- Tretyakov I.V., Vyatkina M.A., Cherevinsky A.P. et al. // Bull. Russ. Acad. Sci.: Phys. 2021. V. 85. № 8. P. 876.
- Sun Z., Xu L., Chen Z. et al. // Polymers. 2019. V. 11. № 3. P. 461.
- Ma H., Aravand M.A., Falzon B.G. // Polym. J. 2019. V. 179. P. 121640.
- Симбирцева Г.В., Пивень Н.П. и др. // Хим. физика. 2020. Т. 39. № 12. С. 60.
- Ma H., Aravand M.A., Falzon B.G. // Compos. Sci. Technol. 2020. V. 201. P. 108523.
- Surendran A., Pionteck J., Vogel R. et al. // Polym. Testing. 2018. V. 70. P. 18.
- Кочергин Ю.С., Григоренко Т.И., Wang N. // Клеи. Герметики. Технологии. 2019. № 10. С. 11.
- Кочергин Ю.С., Григоренко Т.И., Wang N. // Там же. 2020. № 3. С. 16.
- Vyatkina M.A., Gorbatkina Yu.A., Gorbunova I.Yu. et al. // Mech. Compos. Mater. 2023. V. 58. № 6. P. 857.
- Муранов А.Н., Александров И.А., Капитанов А.В. и др. // Хим. физика. 2021. Т. 40 № 1. С. 73.
- Горбаткина Ю.А. Адгезионная прочность в системах волокно–полимер // M.: Химия, 1987.
- Abali B.E., Zecchini M., Daisse G. et al. // Materials. 2021. V. 14. № 4. P. 3853.
- Горбаткина Ю.А., Горбунова И.Ю., Кербер М.Л. и др. // Высокомолекуляр. соединения. А. 2005. Т. 47. № 7. С. 1160.
Supplementary files
 
				
			 
					 
						 
						 
						 
						 
				
 
  
  
  Email this article
			Email this article 








