Композиционные материалы на основе микрогранул политетрафторэтилена и никельсодержащих наночастиц: синтез, состав, магнитные свойства
- Авторы: Кириллов В.Е.1, Юрков Г.Ю.1, Коробов М.С.1, Воронов А.С.2, Солодилов В.И.1, Бузник В.М.3
- 
							Учреждения: 
							- Федеральный исследовательский центр химической физики им. Н.Н. Семёнова Российской академии наук
- Акционерное общество “Государственный научный центр Российской Федерации Троицкий институт инновационных и термоядерных исследований”
- Институт общей и неорганической химии им. Н.С. Курнакова Российской академии наук
 
- Выпуск: Том 42, № 11 (2023)
- Страницы: 39-47
- Раздел: Химическая физика полимерных материалов
- URL: https://journal-vniispk.ru/0207-401X/article/view/233203
- DOI: https://doi.org/10.31857/S0207401X23110043
- EDN: https://elibrary.ru/QBZDTE
- ID: 233203
Цитировать
Полный текст
Аннотация
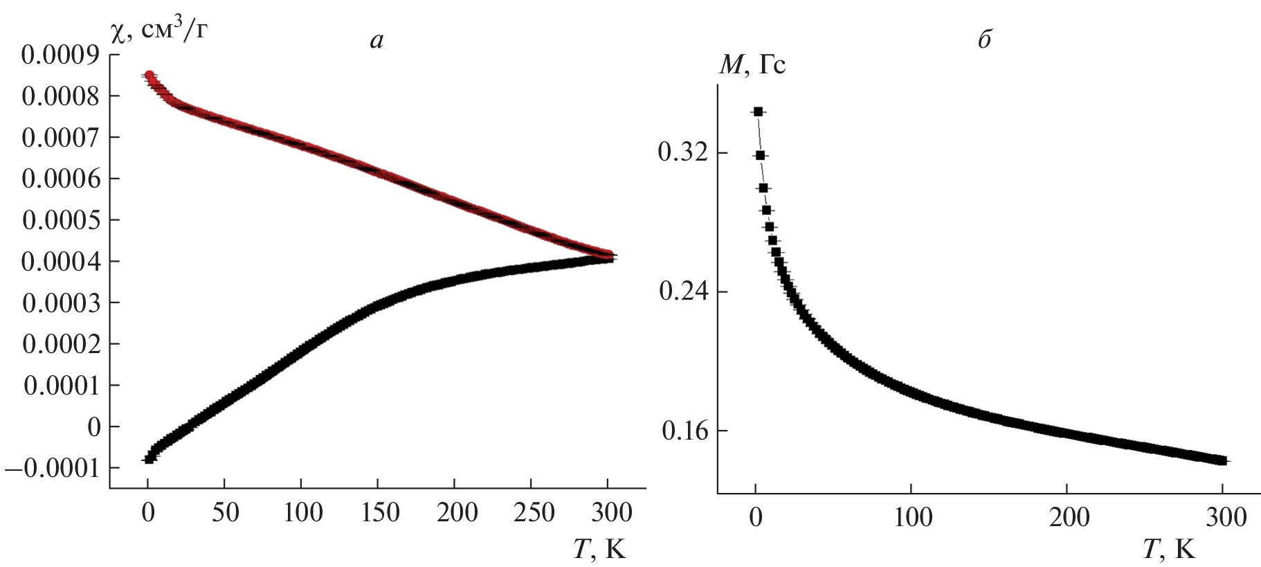
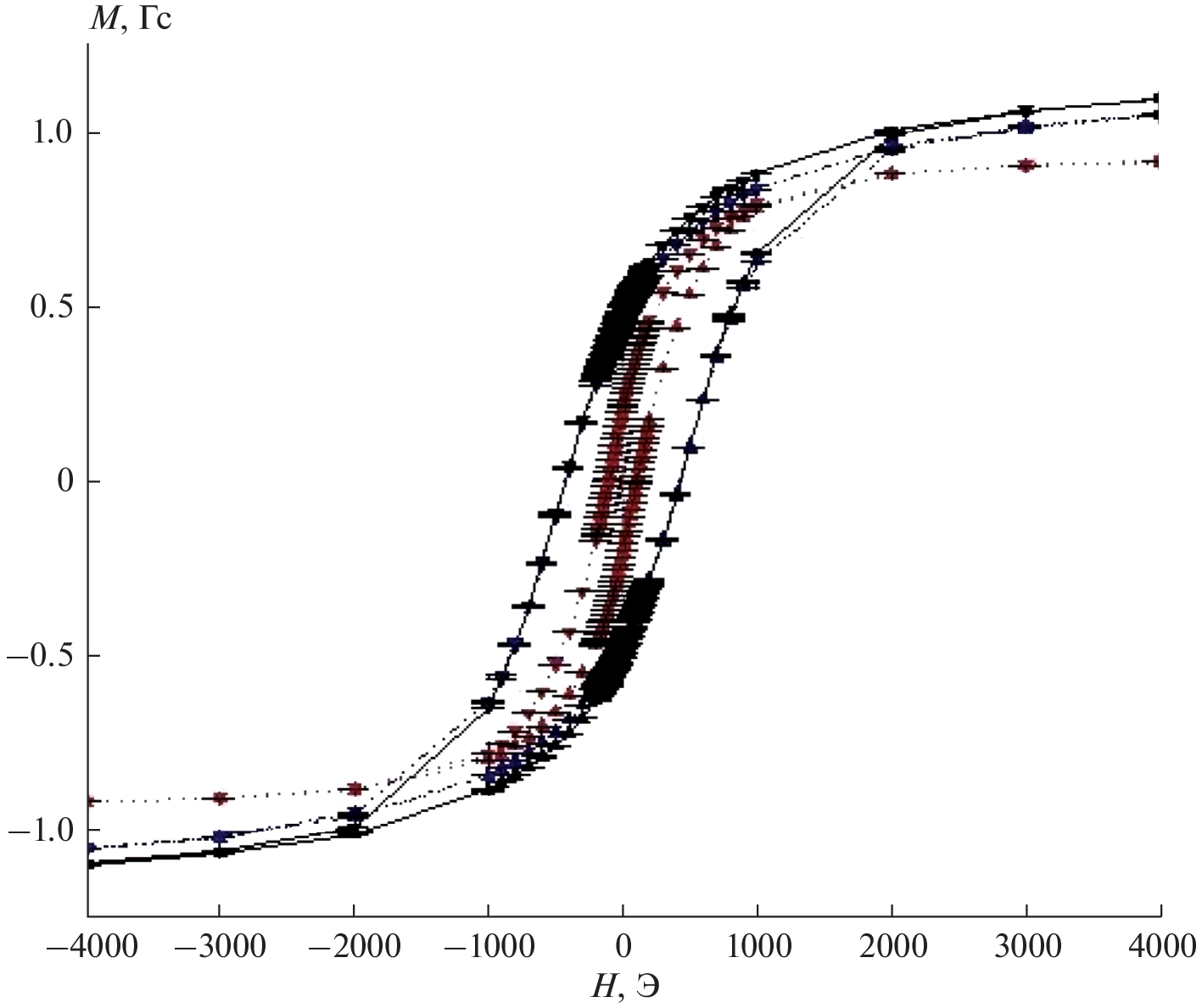
Методом термического разложения металлсодержащих солей никеля синтезированы полимерные композиты с наночастицами, распределенными по поверхности микрогранул политетрафторэтилена. Синтезированные наночастицы охарактеризованы методами просвечивающей электронной микроскопии и рентгенофазового анализа. Размер частиц составил от 3.5 до 8.0 нм. Методом рентгенофазового анализа установлено, что частицы имеют сложный состав. Исследование магнитных свойств показало, что система магнитных никельсодержащих наночастиц в образцах при комнатной температуре находится в ферромагнитном или суперпарамагнитном состоянии. Для каждого образца рассчитаны температура блокировки и коэрцитивная сила.
Об авторах
В. Е. Кириллов
Федеральный исследовательский центр химической физики им. Н.Н. Семёнова Российской академии наук
														Email: kirillovladislav@gmail.com
				                					                																			                												                								Россия, Москва						
Г. Ю. Юрков
Федеральный исследовательский центр химической физики им. Н.Н. Семёнова Российской академии наук
														Email: kirillovladislav@gmail.com
				                					                																			                												                								Россия, Москва						
М. С. Коробов
Федеральный исследовательский центр химической физики им. Н.Н. Семёнова Российской академии наук
														Email: kirillovladislav@gmail.com
				                					                																			                												                								Россия, Москва						
А. С. Воронов
Акционерное общество “Государственный научный центр Российской ФедерацииТроицкий институт инновационных и термоядерных исследований”
														Email: kirillovladislav@gmail.com
				                					                																			                												                								Россия, Москва, Троицк						
В. И. Солодилов
Федеральный исследовательский центр химической физики им. Н.Н. Семёнова Российской академии наук
														Email: kirillovladislav@gmail.com
				                					                																			                												                								Россия, Москва						
В. М. Бузник
Институт общей и неорганической химии им. Н.С. Курнакова Российской академии наук
							Автор, ответственный за переписку.
							Email: kirillovladislav@gmail.com
				                					                																			                												                								Россия, Москва						
Список литературы
- Khandel P., Yadaw R.K., Soni D.K. et al. // J. Nanostruct. Chem. 2018. V. 8. № 3. P. 217.
- Shwetha U.R., Rajith Kumar C.R., Kiran M.S. et al. // Molecules. 2021. V. 26. № 9. P. 2448.
- Сарвадий С.Ю., Гатин А.К., Гришин М.В. и др. // Хим. безопасность. 2018. Т. 2. № 2. С. 35.
- Sana S.S., Singh R.P., Sharma M. et al. // Curr. Pharmac. Biotechnol. 2021. V. 22. № 6. P. 808.
- Chaudhary R., Tanna J., Gandhare N. et al. // Adv. Mater. Lett. 2015. V. 6. P. 990.
- Ravindhranath K., Ramamoorty M. // Oriental J. Chem. 2017. V. 33 № 4. P. 1603.
- Khan S.A., Shahid S., Ayaz A. et al. // Intern. J. Nanomedicine. 2021. V. 16. P. 1757.
- Гатин А.К., Сарвадий С.Ю., Дохликова Н.В. и др. // Хим. физ. 2021. Т. 40. № 6. С. 3.
- Мамонова И.А., Бабушкина И.В. // Инфекция и иммунитет. Т. 2. № 1–2. С. 225.
- Cioffi N., Torsi L., Ditaranto N. et al. // Chem. Mater. 2005. V. 17. № 21. P. 5255.
- Алымов М.И., Сеплярский Б.С., Вадченко С.Г. и др. // Хим. физ. 2021. Т. 40. № 45.С. 85.
- Сычев А.Е., Вадченко С.Г., Щукин А.С. и др. // Хим. физ. 2022. Т. 41. № 1. С. 69.
- Гришин М.В., Гатин А.К., Дохликова Н.В. и др. // Хим. физ. 2019. Т. 38. № 1. С. 3.
- Дохликова Н.В., Гришин М.В., Сарвадий С.Ю., Шуб Б.Р. // Хим. физ. 2019. Т. 38. № 6. С. 77.
- Chaudhary J., Tailor G., Yadav B.L., Michael O. // Heliyon. 2019. V. 5. № 6. P. e01878.
- Гатин А.К., Гришин М.В., Сарвадий С.Ю., Шуб Б.Р. // Хим. физ. 2018. Т. 37. № 3. С. 48.
- Алымов М.И., Рубцов Н.М., Сеплярский Б.С. и др. // Докл. АН РФ. 2019. Т. 484. С. 48.
- Gubin S.P. // Colloids Surf., A. 2002. V. 202. № 2. P. 155.
- Gubin S.P., Yurkov G.Yu., Korobov M.S. et al. // Acta Materialia. 2005. V. 53. № 5. P. 1407.
Дополнительные файлы
 
				
			 
						 
						 
						 
					 
						 
									
 
  
  
  Отправить статью по E-mail
			Отправить статью по E-mail 












