Photochemistry of IrCl63– complex in aqueous solutions
- Authors: Zhdankin G.I.1,2, Grivin V.P.1, Plyusnin V.F.1,2, Tsentalovich Y.P.3, Glebov E.M.1
-
Affiliations:
- Voevodsky Institute of Chemical Kinetics and Combustion, Siberian Branch of the Russian Academy of Sciences
- Novosibirsk State University
- International Tomography Center, Siberian Branch of the Russian Academy of Sciences
- Issue: Vol 43, No 2 (2024)
- Pages: 45-55
- Section: ФИЗИЧЕСКИЕ МЕТОДЫ ИССЛЕДОВАНИЯ ХИМИЧЕСКИХ РЕАКЦИЙ
- URL: https://journal-vniispk.ru/0207-401X/article/view/259896
- DOI: https://doi.org/10.31857/S0207401X24020053
- EDN: https://elibrary.ru/WHZGPH
- ID: 259896
Cite item
Full Text
Abstract
The photochemistry of the [IrIIICl6]3- complex in aqueous solutions was studied by the methods of stationary and laser flash photolysis. As the result of a light quantum absorption, parallel processes of photoaquatation and photoionization occur. The aquated electron ea–q, which is formed with a quantum yield of 0.12 (excitation at 266 nm), is predominantly decayed in reactions with the initial complex and dissolved oxygen. The rate constant of ea–q capture by the [IrIIICl6]3- complex was measured. The main final photolysis products are Ir(III) complexes with different compositions of ligands, as well as several percents of Ir(IV) complexes. The formation of final products occurs in the time range from milliseconds to seconds.
Full Text
Введение
В экспериментах по лазерному импульсному фотолизу часто бывает необходимым регистрировать короткоживущие промежуточные частицы, не имеющие поглощения в доступном спектральном диапазоне. Для этого используют в качестве ловушек соединения, реагирующие с целевыми интермедиатами с образованием легко регистрируемых продуктов. При этом существенным моментом является регистрация не только самого продукта, но и кинетики его образования. Иллюстрацией такого подхода было использование в качестве ловушки дикатиона метилвиологена MV2+, который применялся для регистрации гидроксильного радикала [1, 2] и радикалов-восстановителей [3, 4]. В реакции с целевыми радикалами метилвиологен образует имеющие характерные спектры поглощения радикалы •MV(OH)2+ и MV•+ соответственно.
Метилвиологен не может, однако, быть использован в качестве ловушки на радикалов, обладающих окислительным свойствами (кроме •OH). В частности, одной из труднодоступных в экспериментах по лазерному импульсному фотолизу частиц является азидильный радикал N3•. Этот интермедиат представляет большой интерес, поскольку он предположительно возникает при фотолизе диазидных комплексов платины(IV), перспективных для использования в фотохимиотерапии злокачественных опухолей [5, 6]. Радикал N3• имеет полосу поглощения с максимумом на длине волны λ = 274 нм, полушириной 20 нм и коэффициентом молярного поглощения, равным 2025 М–1 ‧ см–1 [7, 8]. Зарегистрировать такой интермедиат на фоне большого поглощения исходных соединений чаще всего невозможно. В частности, в наших работах по фотохимии диазидных комплексов платины(IV) сделать это не удалось [9, 10]. Образование азидильного радикала при фотолизе подобных комплексов было доказано методом спиновых ловушек [11], однако эксперименты со спиновыми ловушками не являются кинетическими.
Для регистрации труднодоступных радикалов-окислителей (в частности, радикала N3•) в экспериментах по лазерному импульсному фотолизу представляется перспективным использовать анион [IrIIICl6]3–. Он реагирует с N3•:
(1)
с высокой константой скорости (в литературе имеются две ссылки: k1 = 5.5 · 108 M–1 · с–1 [12] и k1 = 4.6 ‧ 108 M–1 ‧ с–1 [13]). Продуктом реакции является анион [IrIVCl6]2–, имеющий интенсивное поглощение в видимой области спектра [14]. Регистрация кинетики его образования в экспериментах по лазерному импульсному фотолизу диазидных комплексов платины должна позволить сделать количественные выводы о процессах с участием радикала N3· в соответствующих системах.
Однако применение комплекса [IrIIICl6]3– в качестве ловушки радикалов-окислителей осложняется наличием фотохимической активности самого комплекса и ее слабой изученностью. Если фотохимия и фотофизика комплекса [IrIVCl6]2– в водных растворах исследована достаточно подробно (см. обзоры [15, 16] и ссылки в них), то имеющиеся в литературе сведения о фотохимии [IrIIICl6]3– носят фрагментарный характер. Было показано [17], что фотолиз комплекса [IrIIICl6]3– в растворах концентрированной соляной кислоты приводит к окислению иридия до состояния со степенью окисления +4 и выделению молекулярного водорода. Квантовый выход фотоокисления сильно зависит от длины волны возбуждения и pH среды. Авторы работы [17] предположили, что реакционным интермедиатом является возбужденное состояние протонированной формы комплекса с внутримолекулярным переносом заряда на ион металла. Предложенный в [17] механизм фотолиза представлен следующими уравнениями:
(2)
(3)
(4)
(5)
(6)
(7)
Имеются данные о том, что комплекс [IrIIICl6]3– фотоактивен не только в кислых растворах, но и при значении pH, близком к нейтральному, однако механизм фотолиза кардинально меняется. Сообщалось [18], что облучение водных растворов [IrIIICl6]3– в области λ = 254 нм приводит к фотоионизации. В эксперименте по ламповому импульсному фотолизу был зарегистрирован акватированный электрон [18]. В экспериментах по стационарному фотолизу [IrIIICl6]3– в присутствии N2O авторы работы [18] квантовый выход молекулярного азота, φ, оценили равным квантовому выходу акватированного электрона: φ = 0.03. Схема процессов описывается уравнениями
(8)
(9)
В работе [18], выполненной более 50 лет назад на экспериментальной базе того времени, не было проведено полное исследование фотохимии комплекса [IrIIICl6]3–. В данной работе мы представляем подробное исследование фотохимии водных растворов этого комплекса методами стационарного и лазерного импульсного фотолиза.
Экспериментальная часть
Источником анионов [IrIIICl6]3– была соль Na3IrCl6 · H2O производства компании Sigma-Aldrich (USA). Для приготовления растворов использовалась деионизированная вода. При необходимости растворы продували аргоном для удаления растворенного кислорода.
Электронные спектры поглощения (ЭСП) регистрировали на спектрофотометрах Agilent 8453 производства компании Agilent Technologies (USA) и Varian Cary 50 производства Varian Inc. (USA). В экспериментах по стационарному фотолизу в качестве источника света использовалась ртутная лампа низкого давления (95% излучения приходится на полосу с максимумом при λ = 254 нм).
Большинство экспериментов по наносекундному лазерному импульсному фотолизу проводили на установке с возбуждением четвертой гармоникой неодимового лазера (рабочая длина волны — 266 нм, длительность импульса — 5 нс, энергия лазерных импульсов 1–10 мДж). Световые пучки лазера и зондирующего источника под небольшим углом (~2°) сходятся на кювете с исследуемым веществом; диаметр облучаемой области образца равен 3 мм. Детальное описание установки приведено в работе [19]. В ряде экспериментов использовалась аналогичная установка лазерного импульсного фотолиза Центра коллективного пользования “Масс-спектрометрические исследования” СО РАН, описанная в работах [20, 21]. Энергию лазерных импульсов измеряли с помощью измерителя мощности и энергии светового излучения SOLO 2 (Gentec).
Результаты и их обсуждение
Лазерный импульсный фотолиз
Основное состояние комплекса [IrIIICl6]3– имеет симметрию 1A1g(2t2g)6. Электронный спектр поглощения комплекса в водном растворе (рис. 1) совпадает с представленными в литературе [14, 17, 22]. Справедливость выполнения закона Ламберта–Бэра была проверена в рабочем диапазоне концентраций 10–3—10–2 М. Малоинтенсивные полосы с максимумами при 416 и 358 нм соответствуют разрешенным по спину d–d-переходам 1A1g → 1T1g и 1A1g → 1T2g [17]. Очень слабое поглощение в области 500–700 нм обусловлено запрещенными по спину d–d-переходами 1A1g → 3T1g и 1A1g → 3T2g [17]. Поглощение в синей области является хвостом интенсивной полосы переноса заряда лиганд–металл (ПЗЛМ) p(Cl) → 2e2g с максимумом при λ = 206 нм [14]. Облучение в экспериментах по лазерному импульсному фотолизу (266 нм) соответствовало именно этой полосе.
Результаты эксперимента по лазерному импульсному фотолизу проиллюстрированы на рис. 2. Кинетические кривые промежуточного поглощения в видимой области (рис. 2a) содержат быстрый участок с характерным временем спада промежуточного поглощения <1 мкс и постоянное поглощение, не меняющееся во временной шкале эксперимента (до 1 мс).
Рис. 1. УФ-спектр комплекса [IrIIICl6]3– в водном растворе.
Рис. 2. Результаты эксперимента по лазерному импульсному фотолизу (266 нм, 5.3 мДж/импульс) комплекса [IrIIICl6]3– в водном растворе (1.0 · 10–3 M, кювета с длиной оптического пути 1 см, естественное содержание кислорода): a — примеры кинетических кривых, б — спектр промежуточного поглощения (точки, соединенные сплошной линией) на стационарном участке кинетических кривых (время задержки между возбуждающим и зондирующим импульсами >3 мкс). Штриховая линия — форма спектра комплекса [IrIVCl6]2–.
Быстрый участок (более подробно показанный на рис. 3a) соответствует поглощению акватированного электрона. Последний имеет очень широкую полосу поглощения с максимумом при λ = 720 нм (максимальный молярный коэффициент поглощения e720 = 2.27 ‧ 104 M–1 ‧ см–1 [23]), которая проявляется во всем видимом диапазоне. Разностный спектр, зарегистрированный на участке кинетической кривой, где наблюдалось постоянное поглощение (рис. 2б), соответствует спектру комплекса [IrIVCl6]2– [14] (штриховая линия на рис. 2б); молярный коэффициент поглощения полосы с максимумом при λ = 489 нм составляет 4000 M–1 ‧ см–1 [24]. Таким образом, наблюдаемые в результате фотовозбуждения спектральные изменения соответствуют реакции (8). Зависимость поглощения возникающего комплекса [IrIVCl6]2– от энергии лазерного импульса является линейной (рис. 4), что соответствует одноквантовому процессу фотоионизации (возможные при большой плотности мощности лазерного излучения двухквантовые процессы могут быть исключены). Первичный квантовый выход фотоионизации [IrIIICl6]3– под действием света с λ = 266 нм (реакция (2)), определенный по значению возникающего поглощения комплекса [IrIVCl6]2–, составил j1266 = 0.12 ± 0.1.
Рис. 3. Определение константы скорости реакции eaq– + [IrIIICl6]3– в эксперименте по лазерному импульсному фотолизу: a — примеры кинетических кривых гибели акватированного электрона (начальные участки кривых рис. 2a) — экспериментальные кинетические кривые и их аппроксимация экспоненциальными функциями (гладкие кривые); б — зависимость наблюдаемой константы (первого порядка) скорости гибели промежуточного поглощения от концентрации [IrIIICl6]3– — экспериментальные точки и линейная аппроксимация.
Рис. 4. Результаты эксперимента по лазерному импульсному фотолизу (266 нм) комплекса [IrIIICl6]3 — в водном растворе (1.6 · 10–3 M, кювета с l = 1 см, раствор продут аргоном). Зависимость начального поглощения D0 (490 нм) образующегося комплекса [IrIVCl6]2– от энергии лазерного импульса.
Рассмотрим процесс гибели акватированного электрона. При больших (на уровне миллимолей) концентрациях гексахлороиридата(III) существенной является реакция) с образованием комплекса [IrIICl6]4–:
(10)
Для определения константы скорости реакции (10) начальные участки кинетических кривых, соответствующие гибели акватированного электрона, аппроксимировали экспоненциальной функцией (примеры приведены на рис. 3a). Наблюдаемая константа скорости первого порядка линейно зависит от концентрации комплекса [IrIIICl6]3– (рис. 3б). По тангенсу угла наклона прямой рис. 3б получили значение константы скорости реакции (10): k10 = (2.7 ± 0.2) ‧ 109 M–1 ‧ c–1 (отсечение прямой соответствует каналам гибели eaq– , не связанным с исходным комплексом).
Зависимость константы скорости ионной реакции (10) от ионной силы как правило описывается уравнением Бренстеда–Бьеррума [25]:
(11)
где k и k0 (М–1 ‧ с–1) — значения константы скорости при текущем значении ионной силы I и при ее стремлении к нулю, zA и zВ — заряды реагентов, e — диэлектрическая проницаемость растворителя, T — абсолютная температура (в нашем случае 298 К), f (I ) = I 1/2/(1 + I 1/2) — от ионной силы раствора , z+, z–, с+, с– — заряды и концентрации ионов (в нашем случае — Na+ и [IrIIICl6]3–).
Ионная сила раствора в экспериментах (рис. 3б) менялась в пределах (1.6 — 9.4) ‧ 10-3 M. Из уравнения Бренстеда–Бьеррума (11) следует, что в этом диапазоне концентраций отношение k/k0 находится в пределах 1.31–1.87. Экстраполируя полученное в эксперименте значение k10 на нулевую ионную силу, получаем значение k100 = (1.4 ± 0.4) ‧ 109 M–1 ‧ c–1. Это значение намного меньше имеющихся в литературе данных по константе скорости этой реакции (см. [26–28] и табл. 1), полученных в XX веке методом импульсного радиолиза. Завышение констант скорости, полученных методом импульсного радиолиза, объясняется наличием неучтенных каналов гибели целевой частицы.
Таблица 1. Значения константы скорости реакции (10), литературные данные относятся к нулевой ионной силе I
k100, M–1 ‧ c–1 | Ссылка | Примечание | Метод |
3.0 · 109 | [26] | импульсный радиолиз | |
6.4 · 109 | [27] | ||
2.5 · 109 | [28] | экстраполяция данных авторов к значению I = 0 по уравнению (11) | |
(1.4 ± 0.4) · 109 | данная работа | лазерный импульсный фотолиз |
Спектральных проявлений комплекса [IrIICl6]4– нами не обнаружено. В литературе также нет таких данных. Однако, как будет видно из дальнейшего, реакции этого комплекса, по всей видимости, определяют конечный состав продуктов фотолиза [IrIIICl6]3–.
Стационарный фотолиз нейтральных водных растворов
Изменения ЭСП комплекса [IrIIICl6]3– в водном растворе в результате облучения светом в области λ = 254 нм показаны на рис. 5. Вид спектральных изменений зависит от наличия растворенного кислорода.
Рис. 5. Изменения ЭСП в ходе стационарного фотолиза (254 нм) комплекса [IrIIICl6]3– в водном растворе, концентрация — 1.1 · 10–3 M, кювета l = 1 см: a — раствор, продутый аргоном, кривые 1 — 4 соответствуют 0, 15, 90, 180 мин облучения; б — воздушно-насыщенный раствор, кривые 1–5 соответствуют времени облучения 0, 11, 21, 31, 41 мин. Спектр комплекса [IrIVCl6]2– представлен на обеих панелях жирными (красными) кривыми, соответствующими окислению 10% исходного комплекса.
В обескислороженных растворах (рис. 5a) возникают полосы с максимумами в области λ = 325 и 390 нм (проявляются в виде плеча) и широкая полоса с максимумом в области λ = 580 нм. Исходя из первичного процесса (8), наблюдаемого в эксперименте по лазерному импульсному фотолизу, следовало ожидать появления характерного поглощения комплекса [IrIVCl6]2–. Жирные (красные) кривые на рис. 5 соответствуют поглощению [IrIVCl6]2–, которое возникло бы в результате окисления 10% исходного комплекса. Видно, что в обескислороженных растворах комплекс [IrIVCl6]2– не образуется. Не приходится говорить и об образовании акватированных комплексов Ir(IV) состава IrIV(Cl–)n(H2O/OH–)6–n. Все такие комплексы, подобно [IrIVCl6]2–, имеют интенсивные полосы переноса заряда в видимой области спектра [29–33]. Акватированные комплексы Ir(III), подобно [IrIIICl6]3–, имеют в области 320–400 нм d–d-полосы с молярными коэффициентами поглощения e ~ 70–100 M–1 ‧ см–1 [31, 33]. Поглощение в области λ = 325 и 390 нм, согласно [31], может принадлежать комплексам trans-[IrIII(OH2)2Cl4]–, cis-[IrIII(OH2)2Cl4]–, 1,2,6-[Ir(OH2)3Cl3] и 1,2,3-[Ir(OH2)3Cl3]. Наличие широкой полосы в области 500–600 нм тоже характерно для этих комплексов. Скорее всего, в продуктах фотолиза представлены различные смешанные водно-хлоридные комплексы Ir(III).
При наличии в растворах кислорода (рис. 5б) при глубоком фотолизе образуются полосы поглощения с максимумами в области λ = 305 нм (плечо), 345, 410, 486, 580 и 786 нм. В этом случае в продуктах может присутствовать смесь комплексов Ir(III) и небольшого количества Ir(IV). В частности, моноаквакомплекс [IrIII(OH2)Cl5]2– имеет полосы поглощения с максимумами при λ = 345 и 400 нм (e ~ 100 M–1 ‧ см–1 [31]). Продукты Ir(IV) могут быть представлены как комплексом [IrIVCl6]2–, так и различными акватированными комплексами, но их суммарная доля не может превышать нескольких процентов от количества исходного соединения.
Таким образом, мы видим, что после первичного процесса фотоионизации (8) в системе протекают различные термические реакции, определяющие сложный состав продуктов. Временной диапазон этих реакций — от нескольких миллисекунд до секунд.
Стационарный фотолиз кислых растворов
В сильнокислых растворах реакция восстановления Ir(III) акватированным электроном (9) не является существенной ввиду перехвата электрона протонами по реакции 12.
(12)
Большинство имеющихся в литературе значений константы скорости этой реакции лежит в интервале (2.2–2.4) ‧ 1010 М–1 ‧ с–1 [25]. Поэтому фотолиз кислых растворов комплекса [IrIIICl6]3– должен протекать по-другому.
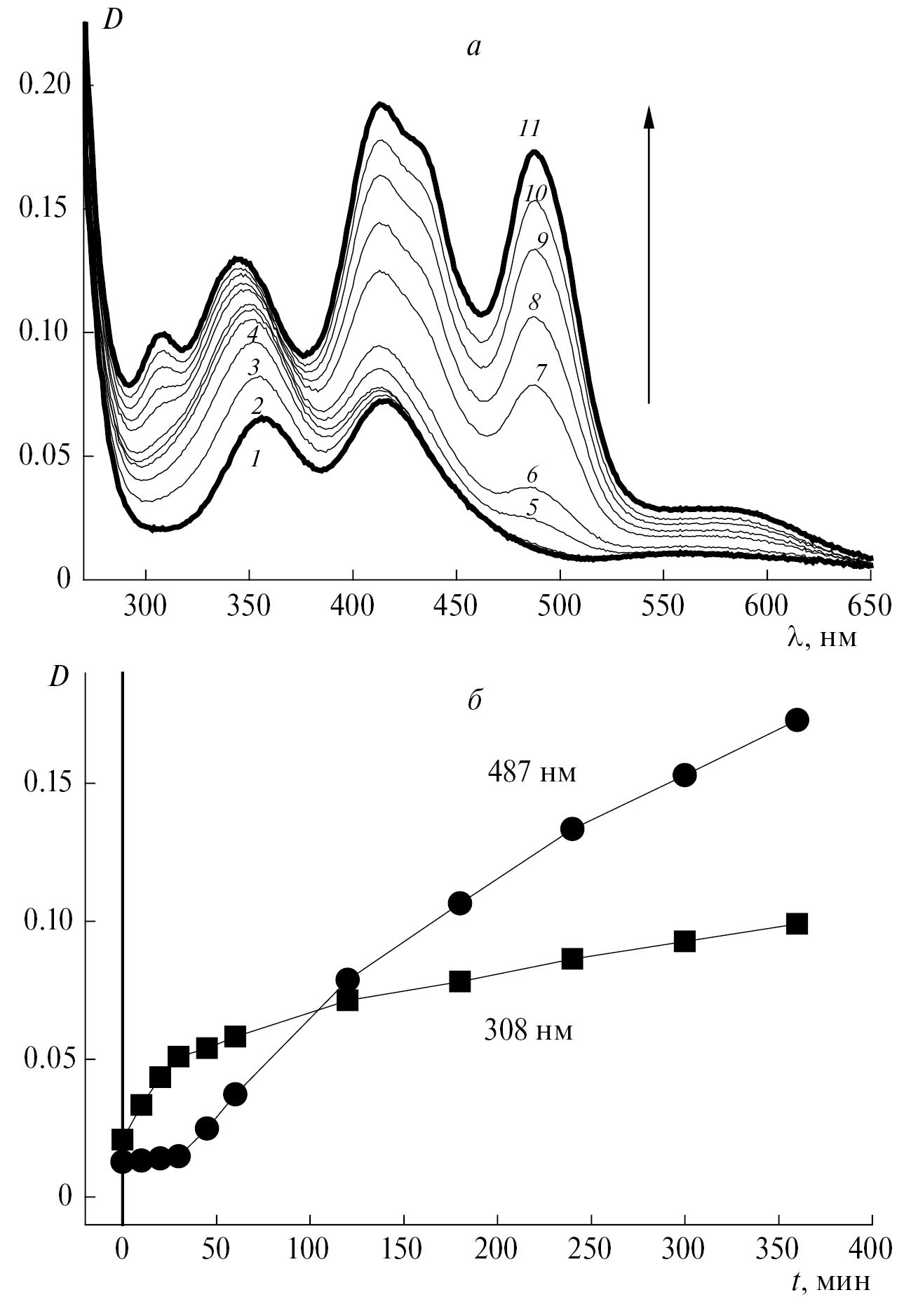
Изменения ЭСП в ходе фотолиза [IrIIICl6]3– в 2.5 М растворе HClO4 показаны на рис. 6а. Фотокинетические кривые на характерных длинах волн (308 и 487 нм) приведены на рис. 6б. При небольших глубинах фотореакции наблюдается рост поглощения в области λ = 300–420 нм, что характерно для продуктов акватации комплекса [IrIIICl6]3–. Далее начинается рост поглощения в видимой области, являющегося характерным для комплексов Ir(IV); соответствующая фотокинетическая кривая при λ = 487 нм является S-образной. Однако доля образовавшихся комплексов Ir(IV), как и в случае фотолиза растворов с нейтральным значением pH, не превышает нескольких процентов от количества исходного комплекса. Из этого следует, что механизм фотолиза кислых растворов [IrIIICl6]3– лишь в небольшой степени может быть описан уравнениями (2)–(7) из работы [17].
Рис. 6. Результаты эксперимента по стационарному фотолизу (254 нм). Изменение ЭСП в ходе облучения комплекса [IrIIICl6]3– в 2.5 M водном растворе HClO4 с концентрацией 8.9 · 10-4 M (кювета с l = 1 см, воздушно-насыщенный раствор). a — Изменение ЭСП в ходе облучения, кривые 1–11 соответствуют времени облучения 0, 10, 20, 30, 45, 60, 120, 180, 240, 300, 360 мин; б — динамика изменения поглощения на длинах волн 308 и 487 нм.
Необходимо отметить, что использование соли MgClO4 вместо хлорной кислоты не приводило к изменению картины фотолиза, т.е. существенным фактором является именно наличие кислоты, а не увеличение ионной силы раствора.
Предполагаемый механизм фотолиза
На основе данных экспериментов по стационарному и лазерному импульсному фотолизу предлагается следующий механизм фотолиза комплекса [IrIIICl6]3– (для удобства восприятия мы повторяем уравнения первичных процессов).
Обескислороженные растворы
Продуктами фотолиза являются различные акватированные комплексы трехвалентного иридия состава IrIII(Cl–)n(H2O/OH–)6–n. Механизм фотопревращений представлен следующими реакциями:
(8a)
(8б)
(10)
(13)
(14)
(15)
Существование параллельных первичных фотопроцессов фотоионизации и фотоакватации исходного комплекса (8a), (8б) следует соответственно из данных по лазерному импульсному фотолизу и по стационарному фотолизу кислых растворов. В результате захвата акватированного электрона комплексами Ir(III) в реакциях (10), (13) образуются интермедиаты Ir(II). При продолжительном стационарном облучении возможен вторичный процесс фотоакватации [IrIVCl6]2– (реакция (14) [15, 16]). Конечные продукты образуются в результате реакций диспропорционирования, обозначенных схематически уравнением (15), и, возможно, дальнейшей термической акватации некоторых комплексов Ir(III).
Водные растворы при наличии кислорода
При фотолизе водных растворов [IrIIICl6]3– с естественным содержанием кислорода (2.4 · 10–4 M [34]) необходимо учитывать реакции окисления комплексов Ir(III) и Ir(IV) и даже, возможно, Ir(II) супероксид-анионом O2•–, образующимся в реакции
(16)
с высокой константой скорости k16 = (1.8÷2.2) ‧ ‧ 1010 М–1 ‧ с–1 [25]. Это усложняет реакционную схему. К реакциям, протекающим в обескислороженных растворах, нужно добавить следующие процессы:
(17)
(18)
(19)
Уравнения реакций (17)–(19) записаны схематически, без учета состава лигандов (Cl–, H2O, OH–). В литературе нет информации об этих реакциях, однако более сложный состав продуктов фотолиза [IrIIICl6]3– в кислородсодержащих растворах свидетельствует о высокой вероятности их протекания. Кроме того, поглощение в области l > 550 нм может принадлежать биядерным пероксокомплексам Ir(III, III), Ir(III, IV) и Ir(IV, IV) [35]. Возможное образование таких соединений еще более усложняет механизм фотолиза.
Кислые растворы
Подробное исследование фотохимии [IrIIICl6]3– в кислых растворах находится вне рамок данной работы, поэтому приводимые ниже соображения носят предварительный характер. Считая, что в растворе, согласно [17], устанавливается равновесие (2) между протонированной и депротонированной формами комплекса [IrIIICl6]3–, можно предположить наличие нескольких фотохимических реакций, а именно (3), (4) и (8). Акватированный электрон, если и образуется в реакции (8a), быстро конвертируется в атом водорода по реакции (12):
(2)
(3)
(4a)
(4б)
(5)
(8a)
(8б)
(12)
По начальным участкам фотокинетических кривых (рис. 6б) можно сделать вывод о том, что вклад реакций фотоокисления (3), (4a) и (8a) пренебрежимо мал по сравнению с реакциями фотоакватации (3), (4б), (8б). Таким образом, механизм фотолиза кислых растворов [IrIIICl6]3– (реакции (2)–(7), предложенный в работе [17], в наших условиях (2.5 M HClO4) не является основным, а может представлять собой только лишь миноритарный канал фотореакции. Авторы работы [17] наблюдали количественное образование комплекса [IrIVCl6]2– при фотолизе [IrIIICl6]3– в 12 М HCl. Сравнение наших данных с данными работы [17] свидетельствует о малости константы устойчивости комплекса [HIrIIICl6]2–.
В наших условиях продукты окисления Ir(III) до Ir(IV) скорее всего возникают во вторичных фотохимических реакциях.
(20)
(21)
Это объясняет S-образность фотокинетической кривой при λ = 487 нм (рис. 6б). Конечный выход продуктов фотоокисления, как было указано ранее, составляет несколько процентов.
Заключение
На основе данных стационарных и импульсных экспериментов мы предлагаем механизм фотолиза комплекса [IrIIICl6]3– в водных растворах. Показано, что протекают параллельные реакции фотоакватации и фотоионизации исходного комплекса. Акватированный электрон, возникший в результате фотоионизации, в зависимости от условий проведения реакции преимущественно захватывается либо исходным комплексом с образованием интермедиата Ir(II), либо растворенным кислородом с образованием супероксид-аниона. Формирование конечных продуктов фотолиза в реакциях с участием комплексов иридия различной валентности и O2•– происходит во временнóм диапазоне от миллисекунд до секунд. В кислых (~2.5 М хлорной кислоты) растворах тоже протекают параллельные процессы фотоакватации и фотоионизации, однако механизм не соответствует предложенному в ́работе [17] для фотолиза [IrIIICl6]3– в 12 М HCl.
Для верификации предложенного механизма фотолиза требуется проведение дальнейших времяразрешенных экспериментов во временнóм диапазоне от миллисекунд до секунд, а также экспериментов по лазерному импульсному фотолизу в кислых растворах.
Использование комплекса [IrIIICl6]3– в экспериментах по лазерному импульсному фотолизу в качестве ловушки для регистрации труднодоступных радикалов-окислителей, что было побудительным мотивом для написания данной работы, возможно при условии заведомого отсутствия прямого фотолиза [IrIIICl6]3–.
Работа поддержана Российским научным фондом (грант № 22-23-00248).
About the authors
G. I. Zhdankin
Voevodsky Institute of Chemical Kinetics and Combustion, Siberian Branch of the Russian Academy of Sciences; Novosibirsk State University
Email: glebov@kinetics.nsc.ru
Russian Federation, Novosibirsk; Novosibirsk
V. P. Grivin
Voevodsky Institute of Chemical Kinetics and Combustion, Siberian Branch of the Russian Academy of Sciences
Email: glebov@kinetics.nsc.ru
Russian Federation, Novosibirsk
V. F. Plyusnin
Voevodsky Institute of Chemical Kinetics and Combustion, Siberian Branch of the Russian Academy of Sciences; Novosibirsk State University
Email: glebov@kinetics.nsc.ru
Russian Federation, Novosibirsk; Novosibirsk
Yu. P. Tsentalovich
International Tomography Center, Siberian Branch of the Russian Academy of Sciences
Email: glebov@kinetics.nsc.ru
Russian Federation, Novosibirsk
E. M. Glebov
Voevodsky Institute of Chemical Kinetics and Combustion, Siberian Branch of the Russian Academy of Sciences
Author for correspondence.
Email: glebov@kinetics.nsc.ru
Russian Federation, Novosibirsk
References
- Zhang X., Wu F., Deng N. et al. // React. Kinet. Catal. Lett. 2008. V. 94. № 2. P. 207.
- Tyutereva Yu.E., Grivin V.P., Xu J et al. // Environ. Sci. Poll. Res. 2021. V. 47. P. 67891.
- Wu F., Deng N., Glebov E.M. et al. // Russ. Chem. Bull., Int. Edit. 2007. V. 56. № 5. P. 900 (Engl. Transl.).
- Zhang X., Gong Y., Wu F. et al. Russ. Chem. Bull., Int. Edit. 2009. V. 58. № 9. P. 1828 (Engl. Transl.).
- Bednarski P.J., Mackay F.S., Sadler P.J. // Anti-Cancer Agents Med. Chem. 2007. V. 7. № 1. P. 75.
- Gurruchaga-Pereda J., Martínez A., Terenzi A., Salassa L. // Inorg. Chim. Acta. 2019. V. 495. Article 118981.
- Alfassi Z.B., Shuler R.H. // J. Phys. Chem. 1985. V. 89. № 15. P. 3359.
- Neta P., Huie R.E., Ross A.B. // J. Phys. Chem. Ref. Data. 1988. V. 17. № 3. P. 1027.
- Shushakov A.A., Pozdnyakov I.P., Grivin V.P. et al. Dalton Trans. 2017. V. 46. № 29. P. 9440.
- Zhdankin G.I., Grivin V.P., Plyusnin V.F. et al. // Mendeleev Commun. 2022. Accepted.
- Butler J.S., Woods J.A., Farrer N.J. et al. // J. Am. Chem. Soc. 2012. V. 134. № 40. P. 16508.
- Ram M.S., Stanbury D.M. // J. Phys. Chem. 1986. V. 90. № 16. P. 3691.
- DeFelippis M.R., Murthy C.P., Faraggi M., Klapper M.H. // Biochemistry. 1989. V. 28. № 11. P. 4847.
- Jorgensen C.K. // Mol. Phys. 1959. V. 2. № 3. P. 309.
- Glebov E.M., Pozdnyakov I.P., Plyusnin V.F., Khmelinskii I. // J. Photochem. Photobiol. C: Photochem. Rev. 2015. V. 24. P. 1.
- Glebov E.M. // Russ. Chem. Bull. Int. Edit. 2022. V. 71. № 5. P. 858 (Engl. Transl.).
- Eidem P.K., Maverick A.W., Gray, H.B. // Inorg. Chim. Acta. 1981. V. 50. № 1. P. 59.
- Waltz W.L., Adamson A.W. // J. Phys. Chem. 1969. V. 73. № 12. P. 4250.
- Pozdnyakov I.P., Plyusnin V.F., Grivin V.P. et al. // J. Photochem. Photobiol. A: Chem. 2006. V. 182. № 1. P. 75.
- Tsentalovich Y.P., Sherin P.S., Kopylova L.V. et al. // IOVS (Investig. Ophthalmol. Vis. Sci.). 2011. V. 52. № 10. P. 7687.
- Savina E.D., Tsentalovich Yu.P., Sherin P.S. // Free Rad. Biol. Med. 2020. V. 152. P. 482.
- Poulsen I.A., Garner C.S. // J. Am. Chem. Soc. 1962. V. 84. № 10. P. 2032.
- Hare P.M., Price E.A., Bartels D.M. // J. Phys. Chem. A. 2008. V. 112. № 30. P. 6800.
- Glebov E.M., Plyusnin V.F., Tkachenko N.V., Lemmetyinen H. // Chem. Phys. 2000. V. 257. № 1. P. 79.
- Buxton G.V., Greenstock C.L., Philip Helman W., Ross A.B. // J. Phys. Chem. Ref. Data. 1988. V. 17. № 2. P. 513.
- Anbar M., Hart E.J. // Adv. Chem. Ser. 1968. V. 81. P. 79.
- Broszkiewicz R.K. // J. Chem. Soc. Dalton Trans. 1973. № 17. P. 1799.
- Crawford Ch.L., Gholami M.R., Roberts S.L., Hanrahan R.J. // Radiat. Phys. Chem. 1992. V. 40. № 3. P. 205.
- Treinin A., Hayon E. // J. Am. Chem. Soc. 1975. V. 97. № 7. P. 1716.
- Kovalenko N.L., Rogin N.D., Malchikov G.D. // Zhurn. Neorg. Khim. (Russian Journal of Inorganic Chemistry) // 1982. V. 27. № 4. P. 986 (in Russian).
- El-Awady A.A., Bounsall E.J., Garner, C.S. // Inorg. Chem. 1967. V. 6. № 1. P. 79.
- Pelizetti E., Mentasti E., Pramauro E. // J. Chem. Soc. Perkin Trans. 1978. V. 2. № 7. P. 620.
- Bus’ko E.A., Burkov K.A., Kalinin S.K. // Zhurn. Anal. Khim. (Russian Journal of Analytical Chemistry. 1974. V. 29. № 2. P. 340 (in Russian).
- Glebov E.M., Pozdnyakov I.P., Grivin V.P. et al. // Photochem. Photobiol. Sci. 2011. V. 10. № 3. P. 425.
- Pankratov D.A., Komozin P.N., Kiselev Yu.M. // Russ. J. Inorg. Chem. 2011. V. 56. № 11. P. 1794 (Engl. Transl.).
Supplementary files
Note
Х Международная конференция им. В.В. Воеводского “Физика и химия элементарных химических процессов” (сентябрь 2022, Новосибирск, Россия).








