Lipid-mediated effect of glycyrrhizin on the properties of the transmembrane domain of the E-protein of the SARS-CoV-2 virus
- Authors: Kononova P.A.1,2, Selyutina O.Y.1,3, Polyakov N.E.1,3
-
Affiliations:
- Voevodsky Institute of Chemical Kinetics and Combustion, Russian Academy of Sciences, Siberian Branch of the Russian Academy of Sciences
- Novosibirsk State University
- Institute of Solid State Chemistry and Mechanochemistry, Siberian Branch of the Russian Academy of Sciences
- Issue: Vol 43, No 2 (2024)
- Pages: 56-61
- Section: Chemical physics of biological processes
- URL: https://journal-vniispk.ru/0207-401X/article/view/259897
- DOI: https://doi.org/10.31857/S0207401X24020065
- EDN: https://elibrary.ru/WHQXFH
- ID: 259897
Cite item
Full Text
Abstract
The interaction of glycyrrhizin with the transmembrane domain of the E-protein of the SARS-CoV-2 virus (E-protein Trans-Membrane domain, ETM) in a homogeneous aqueous solution and in a model lipid membrane was studied using the selective nuclear Overhauser effect (selective NOESY) and NMR relaxation methods. The selective NOESY showed the presence of the interaction of glycyrrhizin with ETM in an aqueous solution, which is consistent with the literature modeling data, which indicate the possibility of penetration of the glycyrrhizin molecule into the channel formed by the ETM molecules. However, this conclusion is not confirmed by NOESY experiments in model lipid membranes, DMPC/DHPC bicelles. At the same time, the NMR relaxation method revealed the effect of glycyrrhizin on the mobility of both lipids and ETM molecules in bicelles. This suggests that GA affects the activity of the coronavirus E-protein indirectly through lipids.
Keywords
Full Text
Введение
В связи с серьезной эпидемической ситуацией в настоящее время по всему миру исследовательскими группами ведется поиск перспективных лекарственных препаратов, активных против вируса SARS-CoV-2. Ряд исследований указывают на перспективность использования различных ингибиторов слияния вирусных частиц с плазматической мембраной клетки [1, 2]. Хотя большая часть этих исследований посвящены S-белку вируса, который связывается с клеточной мембраной носителя, наличие у коронавирусов липидной оболочки позволяет предполагать, что ингибиторы липид-опосредованного слияния мембран также могут быть перспективными противовирусными агентами.
Вирион коронавируса представляет собой сферическую частицу, которая содержит в своей структуре булавовидные отростки (шипы, S-белок), белки оболочки (E-белки), мембранный белок (M-белок), нуклеокапсидный белок (N-белок). При этом, хотя ингибирование синтеза E-белка приводит к 20-ти — 200-кратному снижению выхода вирусных частиц из клетки, роль его в функционировании вирусных частиц остается не ясна [3]. Некоторые результаты показывают, что E-белки коронавирусов выполняют свои функции на внутриклеточных мембранах, где происходит сборка вируса [3]. Во время репликации E-белок в избытке экспрессируется внутри инфицированной клетки, но в оболочку вириона включается лишь небольшая часть. Бóльшая часть белка локализована в месте внутриклеточного переноса, где он участвует в сборке и создании вирионов коронавирусов [4]. Клетки, инфицированные коронавирусом, часто имеют деформации мембранных структур, такие как искривления мембраны и двухмембранные везикулы [4]. Предполагается, что такие перестройки мембраны связаны с функциями E-белка, который, встраиваясь в мембрану клетки-хозяина, индуцирует искривление мембраны и слипание двух мембранных структур с образованием, соответственно, двухмембранных везикул [4].
Недавние исследования в модельных мембранах подтвердили гипотезу влияния E-белка на кривизну липидного бислоя [5]. Кроме того, данный белок относится к виропоринам, которые, встраиваясь в мембрану инфицированной клетки, образуют олигомеры, которые, в свою очередь, формируют поры в мембране. Блокирование ионных каналов, которые формируют олигомеры E-белка, связывают со снижением репликации коронавирусов [6–8]. В настоящее время уже ведутся работы по исследованию структуры и функций E-белка вируса SARS-CoV-2, а также его взаимодействия с различными ингибиторами растительного происхождения [7]. В том числе, проверяется и гипотеза таргетного воздействия тритерпенового гликозида глицирризина на E-белок коронавируса [9].
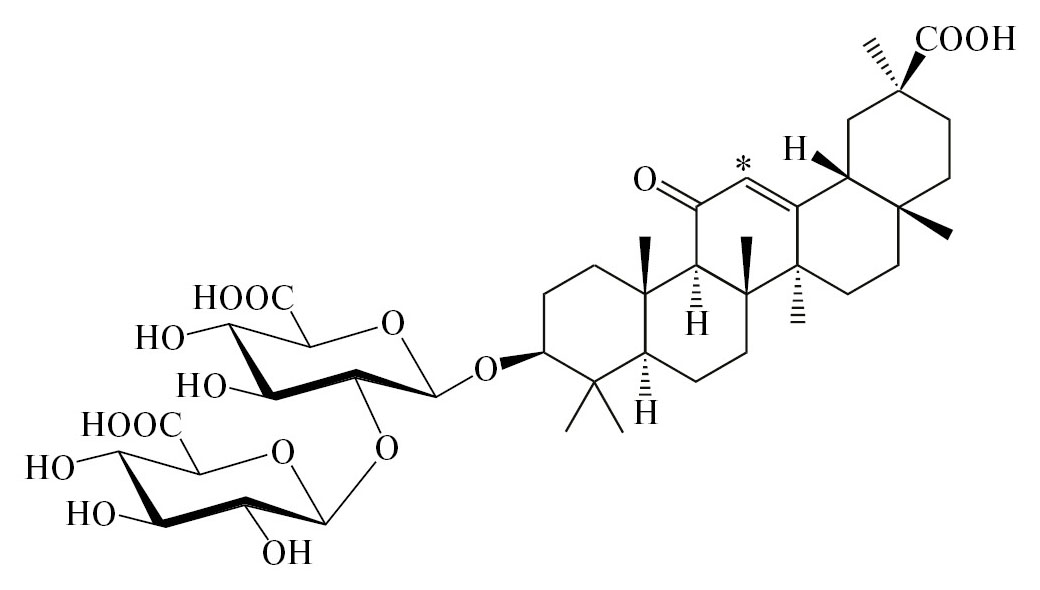
Глицирризин (глицирризиновая кислота (ГК), рис. 1) — главный биологически активный компонент экстракта корня солодки [10–12]. Существует множество данных о ее противовирусной активности [13–15], в том числе активности против вируса SARS-CoV-1 [16]. В последнее время появился ряд работ, указывающих на перспективность применения ГК для терапии SARS-CoV-2 [17, 18]. Кроме того, имеются данные об активности производных ГК, моно-, ди- и триникотинатов, в отношении вируса SARS-CoV-2 in vitro [19]. Несмотря на обилие исследований активности ГК против различных ДНК- и РНК-вирусов, механизм ее противовирусного действия остается неясным. Было показано, что влияние ГК на вирус герпеса, ассоциированного с саркомой Капоши, связан с ингибированием синтеза вирусных РНК [20].
Рис. 1. Структурная формула глицирризина. Звездочкой отмечен протон, возбуждение которого проводилось в экспериментах sNOESY.
В ряде работ было обнаружено влияние ГК на репликацию различных вирусов [21, 22]. Однако тот факт, что противовирусная активность глицирризиновой кислоты обнаруживается в отношении различных слабовзаимосвязанных ДНК- и РНК-вирусов позволяет предположить, что этот эффект связан не только с влиянием ГК на синтез РНК. Было установлено, что при добавлении ГК через 6 ч после заражения клеток вирусом Эпштейна–Барра, противовирусного действия не наблюдается [23]. В то же время при добавлении ГК сразу после заражения и последующем промывании клеток спустя 5 ч противовирусный эффект остается необратимым. Исходя из этого делают вывод, что ГК избирательно блокирует проникновение вируса в клетку, поскольку этот процесс происходит примерно в первые 5 ч после заражения. В случае вируса респираторного синдрома свиней было показано, что действие ГК связано в основном со стадией проникновения вируса и мало влияет на стадии его поглощения и высвобождения [24].
В ряде исследований было показано, что ГК и ее производные предотвращают проникновение ряда вирусов через плазматическую мембрану [16, 23, 25–27]. Кроме того, было установлено, что действие ГК приводит к снижению текучести клеточных мембран [25, 28]. Также установлено, что ГК способна ингибировать высвобождение вирусных частиц из зараженной клетки [29]. Таким образом, одним из возможных механизмов противовирусного действия глицирризина является препятствование слияния липидной оболочки вируса с плазматической мембраной клетки хозяина. Мы полагаем, что мембраномодифицирующая способность ГК может опосредованно влиять и на активность Е-белка, встроенного в липидную оболочку вируса. Поэтому, в связи с неясной до конца ролью E-белка в функционировании и патогенезе коронавирусов в целом и SARS-CoV-2, в частности, требуются комплексные исследования как взаимодействия самого белка с липидной мембраной, так и влияния различных ингибиторов на эти взаимодействия и на активность E-белка in vitro.
В представленной работе мы попытались показать наличие прямого, либо липид-опосредованного взаимодействия ГК с трансмембранным доменом E-белка коронавируса (E-protein Trans-Membrane domain, (ETM)) в гомогенном водном растворе и в модельной липидной мембране, используя методы селективного ядерного эффекта Оверхаузера и ЯМР-релаксации.
Материалы и методы
Исследования проводили в бицеллах 1,2-димиристоил-sn-глицеро-3-фосфохолина (ДМФХ)/ /1,2-дигексаноил-sn-глицеро-3-фосфохолина (ДГФХ), оба производства компании Avanti (USA) и чистоты > 99% (рис. 1). Трансмембранный домен E-белка вируса SARS-CoV-2 (ETM, аминокислотная последовательность ETGTLIVNSVLLFLAFVVFLLVTLAILTALR, чистота — 96%) был синтезирован на заказ компанией Pepmic (Suzhou, China; http://www.pepmic.com/). Порошковые компоненты (липиды, ETM) растворяли в хлороформе; растворитель сушили и полученную пленку растворяли в дейтерированной воде (D2O) производства компании Sigma-Aldrich (чистота — 99.9%). Для ускорения образования бицелл проводили три цикла заморозки–разморозки. Соотношение ДМФХ : ДГФХ составляло 1 : 2, при этом общая концентрация липидов была равна 12 мМ. В гидратированные образцы добавляли 1 мМ ГК, pH полученных образцов — 3.8.
Спектры 1H- и 31P-ЯМР, а также селективные NOESY получены на ЯМР-спектрометре Avance HD III производства компании Bruker (USA) с рабочей частотой 500 МГц на ядрах 1H. Времена релаксации T1 были найдены с использованием стандартной последовательности импульсов инверсии–восстановления.
Результаты и их обсуждение
Взаимодействие ГК и ETM в водном растворе
На первом этапе работы взаимодействие молекулы ГК с трансмембранным доменом E-белка было исследовано в гомогенной водной среде методом селективной спектроскопии ядерного эффекта Оверхаузера, (selective Nuclear Overhauser Effect correlation Spectroscopy (sNOESY). Эксперименты показали наличие кросс-пиков между протонами ГК и ETM. Фрагменты 1H-ЯМР-спектров и спектров смеси ГК и ETM в водной среде с pH 3.5 приведены на рис. 2. Проводилось возбуждение протона ГК, обозначенного звездочкой (*) на рис. 1 (сигнал при δ = 5.6 ppm). Кросс-пики наблюдались для протонов остатка фенилаланина (сигнал при δ = 7 ppm). Этот результат говорит о наличии нековалентного взаимодействия молекул ГК с ETM в растворе.
Рис. 2. Фрагменты спектров 1H-ЯМР для образцов, содержащих 1 мМ ETM (1), 1 мМ ГК и 1 мМ ETM (2), и sNOESY для образца, содержащего 1 мМ ГК и 1 мМ ETM (3) в D2O; pH 3.5.
Взаимодействие ГК и ETM в модельной липидной мембране
Далее были проведены эксперименты sNOESY по исследованию взаимодействия ГК и ETM с липидной мембраной, а также сделана попытка обнаружить взаимодействие ГК с ETM внутри липидного бислоя. Ранее полученные данные указывали на то, что ГК способна проникать внутрь липидного бислоя [30–32], однако этот вывод основывался преимущественно на косвенных данных (изменение подвижности липидов в присутствии ГК), а также на данных молекулярного моделирования. На рис. 3 приведены фрагменты 1H-ЯМР- и sNOESY-спектров бицелл ДМФХ/ДГФХ в присутствии 1 мМ ГК. Как и в случае водного раствора производилось возбуждение протона ГК при δ = 5.6 ppm. Наблюдаются кросс-пики между протонами ГК и протонами CH3-, CH2- и N+(CH3)3-групп липидов.
Рис. 3. Фрагменты спектров 1H-ЯМР (1) и sNOESY (2) для образца, содержащего 1 мМ ГК в бицеллах ДМФХ/ДГФХ; pH 3.5.
Также наблюдались кросс-пики между протонами фенилаланина ETM и протонами CH3-, CH2- и N+(CH3)3-групп липидов в бицеллах ДГФХ/ДМФХ (рис. 4).
Рис. 4. Фрагменты спектров 1H-ЯМР (1) и sNOESY (2) для образца, содержащего 0.5 мМ ETM в бицеллах ДМФХ/ДГФХ; pH 3.5.
При совместном добавлении ETM и ГК для протона, обозначенного звездочкой на рис. 1, наблюдаются те же кросс-пики, что и в отсутствие ETM (рис. 5). Для протонов фенилаланина ETM в присутствии ГК исчезает кросс-пик с поверхностными N+(CH3)3-группами липидов (3.2 ppm), т.е., вероятно, происходит изменение локализации молекулы ETM в мембране. Для протонов фелилаланина ETM наблюдаются кросс-пики с CH3-, CH2-группами липидов; Это означает, что ETM по-прежнему находится внутри липидного бислоя. При этом кросс-пиков между сигналами ГК и ETM не наблюдается.
Рис. 5. Фрагменты спектров 1H-ЯМР (1) и sNOESY (2, 3) для образцов, содержащих 1 мМ ГК (1, 2) и 1 мМ ГК + + 0.5 мМ ETM (3) в бицеллах ДМФХ/ДГФХ; pH 3.5.
Поэтому для получения дополнительной информации о влиянии ГК на трансмембранный домен E-белка и липидную оболочку данная система была исследована методом ЯМР-релаксации. Были проведены измерения времени спин-решеточной релаксации (T1) для протонов липидов и для фосфора для образцов, содержащих 1 мМ ГК, 0.5 мМ ETM и 1 мМ ГК + 0.5 мМ ETM. Результаты приведены в табл. 1.
Таблица 1. Времена спин-решеточной релаксации ядер липидов
Образец | Время, мс | |||
CH3 | CH2 | P | N+(CH3)3 | |
Чистый липид | 1370 ± 70 | 1120 ± 40 | 1450 ± 70 | 810 ± 40 |
Липид + 0.5 мМ ETM | 1050 ± 80 | 940 ± 40 | 1320 ± 70 | 750 ± 50 |
Липид + 0.5 мМ ETM+1 мМ ГК | 920 ± 50 | 850 ± 30 | 1270 ± 50 | 745 ± 40 |
При добавлении ГК происходит уменьшение времени спин-решеточной релаксации ядер в “хвостах” липидов, при этом времена релаксации ядер “голов” липидов не изменяются. Согласно литературным данным время спин-решеточной релаксации липидов в липосомах определяется высокочастотными колебаниями ацильной цепи [33, 34]. Кроме того, измерение времени релаксации протонов фенилаланина ETM показало существенное его уменьшение в присутствии ГК
Липид + 0.5 мМ ЕТМ: (585 ± 45) мс
Липид + 0.5 мМ ЕТМ + 1 мМ ГК: (230 ± 60) мс
Таким образом, встраивание ГК в липидную мембрану, содержащую молекулы ETM, приводит к уменьшению подвижности липидов и ETM, что, в свою очередь, может оказывать влияние на активность ETM.
Заключение
Методом селективного NOESY показано наличие взаимодействия ГК с трансмембранным доменом E-белка коронавируса в водном растворе. Данный результат согласуется с литературными данными моделирования, которые указывают на возможность проникновения молекулы глицирризина внутрь канала, образованного молекулами ETM. Однако данный результат не подтверждается экспериментами NOESY в модельных липидных мембранах — не было обнаружено кросс-пиков молекул ГК с молекулами ETM в бицеллах ДМФХ/ДГФХ. При этом методом ЯМР-релаксации обнаружено влияние ГК на подвижность как липидов, так и самих молекул ETM в бицеллах, содержащих 0.5 мМ ETM. Это говорит о том, что ГК может оказывать влияние на активность E-белка опосредованно, через липиды. Еще один результат данной работы полученное методом селективного NOESY доказательство проникновения молекулы ГК внутрь липидного бислоя в дополнение к данным, полученным ранее методом ЯМР-релаксации и молекулярного моделирования [25–27].
Работа выполнена при финансовой поддержке Советом по грантам Президента Российской Федерации (грант № МК-1580.2021.1.3).
About the authors
P. A. Kononova
Voevodsky Institute of Chemical Kinetics and Combustion, Russian Academy of Sciences, Siberian Branch of the Russian Academy of Sciences; Novosibirsk State University
Email: olga.gluschenko@gmail.com
Russian Federation, Novosibirsk; Novosibirsk
O. Yu. Selyutina
Voevodsky Institute of Chemical Kinetics and Combustion, Russian Academy of Sciences, Siberian Branch of the Russian Academy of Sciences; Institute of Solid State Chemistry and Mechanochemistry, Siberian Branch of the Russian Academy of Sciences
Author for correspondence.
Email: olga.gluschenko@gmail.com
Russian Federation, Novosibirsk; Novosibirsk
N. E. Polyakov
Voevodsky Institute of Chemical Kinetics and Combustion, Russian Academy of Sciences, Siberian Branch of the Russian Academy of Sciences; Institute of Solid State Chemistry and Mechanochemistry, Siberian Branch of the Russian Academy of Sciences
Email: olga.gluschenko@gmail.com
Russian Federation, Novosibirsk; Novosibirsk
References
- Baglivo M., Baronio M., Natalini G. et al. // Acta Biomed. 2020. V. 91. № 1. P. 161.
- Tang T., Bidon M., Jaimes J.A., Whittaker G.R., Daniel S. // Antiviral Res. 2020. V. 178. P. 104792.
- Venkatagopalan P., Daskalova S.M., Lopez L.A., Dolezal K.A., Hogue B.G. // Virology. 2015. V. 478. P. 75.
- Schoeman D., Fielding B.C. // Virol. J. 2019. V. 16. № 1. P. 69.
- Mehregan A., Perez-Conesa S., Zhuang Y. et al. // Biochim. Biophys. Acta-Biomembr. 2022. V. 1864. № 10. P. 183994.
- Wilson L., Gage P., Ewart G. // Virology. 2006. V. 353. № 2. P. 294.
- Gupta M.K., Vemula S., Donde R. et al. // J. Biomol. Struct. Dyn. 2021. V. 39. № 7. P. 2617.
- Pervushin K., Tan E., Parthasarathy K. et al. // PLOS Pathog. 2009. V. 5. № 7. P. e1000511.
- Chernyshev A. Pre-print. 2020. https://doi.org/10.26434/chemrxiv.12286421.v110.
- G.A. Tolstikov, L.A. Baltina, V.P. Grankina et al. Novosibirsk. Geo Publishing (2007) (in russian).
- Shibata S. // Yakugaku Zasshi. 2000. V. 120. № 10. P. 849.
- Selyutina O.Y., Polyakov N.E. // Inten. J. Pharm. 2019. V. 559. P. 271.
- Fiore C., Eisenhut M., Krausse R. et al. // Phytother. Res. 2008. V. 22. № 2. P. 141.
- Sun Z.G., Zhao T.T., Lu N., Yang Y.A., Zhu H.L. // Mini Rev. Med. Chem. 2019. V. 19. № 10. P. 826.
- Pompei R., Pani A., Flore O., Marcialis M.A., Loddo B. // Experentia. 1980. V. 36. № 3. P. 304.
- Hoever G., Baltina L., Michaelis M. et al. // J. Med. Chem. 2005. V. 48. № 4. P. 1256.
- Chrzanowski J., Chrzanowska A., Graboń W. // Phyther. Res. 2021. V. 35. № 2. P. 629.
- Bailly C., Vergoten G. // Pharmacol. Ther. 2020. V. 214. P. 107618.
- Fomenko V.V., Rudometova N.B., Yarovaya O.I. et al. // Molecules. 2022. V. 27. № 1. P. 295.
- Kang H., Lieberman P.M. // J. Virol. 2011. V. 85. № 21. P. 11159.
- Sekizawa T., Yanagi K., Itoyama Y. // Acta Virol. 2001. P. 51.
- Baba M., Shigeta S. // Antiviral Res. 1987. V. 7. № 2. P. 99.
- Lin J.C. // Ibid. 2003. V. 59. № 1. P. 41.
- Duan E., Wang D., Fang L. et al. // Ibid. 2015. V. 120. P. 122.
- Harada S. // Biochem. J. 2005. V. 392. P. 191.
- Crance J.M., Leveque F., Biziagos E. et al. // Antiviral Res. 1994. V. 23. № 1. P. 63.
- Sui X., Yin J., Ren X. // Ibid. 2010. V. 85. № 2. P. 346.
- Wolkerstorfer A., Kurz H., Bachhofner N., Szolar O.H.J. // Ibid. 2009. V. 83. № 2. P. 171.
- Matsumoto Y., Matsuura T., Aoyagi H. et al. // PLoS One. 2013. V. 8. № 7. P. e68992.
- Selyutina O.Y., Shelepova E.A., Paramonova E.D. et al. // Arch. Biochem. Biophys. 2020. V. 686. P. 108368.
- Selyutina O.Y., Apanasenko I.E., Kim A.V. et al. // Coll. Surf. B. Biointerfaces. 2016. V. 147. P. 459.
- Selyutina O.Y., Apanasenko I.E., Polyakov N.E. // Russ. Chem. Bull. 2015. V. 64. № 7. P. 1555.
- Ellena J.F., Lepore L.S., Cafi so D.S. // J. Phys. Chem. 1993. V. 97. № 12. P. 2952.
- Lepore L.S., Ellena J.F., Cafi so D.S. // Biophys. J. 1992. V. 61. № 3. P. 767.34.
Supplementary files
Note
Х Международная конференция им. В.В. Воеводского “Физика и химия элементарных химических процессов” (сентябрь 2022, Новосибирск, Россия).







