Aerobic decomposition of dimethylthiourea nitrosyl iron complex in the presence of albimin and glutathione
- Authors: Kormukhina A.Y.1,2, Kusyapkulova A.B.1,2, Emel’yanova N.S.1, Pokidova O.V.1, Sanina N.A.1,2,3
- 
							Affiliations: 
							- Federal Research Center Problem of Chemical Physics and Medical Chemistry of the Russian Academy of Sciences
- Lomonosov Moscow State University
- Moscow State Regional University
 
- Issue: Vol 43, No 2 (2024)
- Pages: 62-72
- Section: Chemical physics of biological processes
- URL: https://journal-vniispk.ru/0207-401X/article/view/259898
- DOI: https://doi.org/10.31857/S0207401X24020078
- EDN: https://elibrary.ru/WHOAEF
- ID: 259898
Cite item
Full Text
Abstract
Nitrosyl iron complexes (NICs) are natural “depots” of NO. NICs forms by the interaction of endogenous nitric oxide (NO) and non‒heme [2Fe-2S] proteins. Their synthetic analogues are promising compounds in medicines for the treatment of socially significant diseases. In this paper, the effect of bovine serum albumin (BSA) and reduced glutathione (GSH) on the decomposition of a nitrosyl iron complex with N,N′-dimethylthiourea ligands [Fe(SC(NHCH3)2)2(NO)2]BF4 (complex 1) under aerobic conditions have been investigated. In the absorption spectra complex 1 in the presence of albumin a wide band at 370–410 nm appears, which indicates the coordination of the aerobic decay product of the complex in the hydrophobic pocket of the protein with Cys34 and His39. The quenching of albumin intrinsic fluorescence during titration with complex 1 was studied by fluorescence spectroscopy. The Stern-Vollmer constant K = (2.3 ± 0.2) ∙ 105 М-1 and the Förster radius 22.4 Å were calculated. The UV-spectrum complex 1 in presence of GSH has two peaks at 312 and 363 nm, which respond glutathione binuclear NICs.
Full Text
Введение
Многочисленные исследования в области биологии, химии и медицины показали, что монооксид азота (NO) участвует в различных физиологических процессах in vivo, таких как регуляция кровяного давления, ингибирование агрегации тромбоцитов, нейротрансмиссия и др. Применение препаратов-доноров NO относится к одному из основных подходов, направленных на снижение смертности от ряда социально значимых заболеваний [1‒4]. Однако используемые на данный момент лекарственные средства обладают рядом существенных недостатков, связанных с развитием толерантности, необходимостью увеличения продолжительности действия, высокой токсичностью, неэффективностью на поздних стадиях лечения и т.д [5, 6]. Поэтому актуальной задачей современной науки является синтез новых соединений, экзогенных доноров NO, обладающих минимумом отмеченных недостатков и способных при этом эффективно доставлять NO к биологическим мишеням.
Нитрозильные комплексы железа (НКЖ) представляют собой гибридные молекулы, содержащие в своем составе два фармакозначимых фрагмента: серосодержащие лиганды и NO-группы. Важными преимуществами НКЖ перед другими классами экзогенных NO-доноров являются их способность самопроизвольно генерировать NO в водных растворах без дополнительной активации и действие при низких терапевтических дозах [7‒10].
В ФИЦ проблем химической физики и медицинской химии РАН проводятся синтез и исследование катионных моноядерных НКЖ с алифатическими производными тиомочевины и биядерных НКЖ с тиоаминами, которые являются перспективными представителями синтетических низкомолекулярных НКЖ благодаря их хорошей растворимости в воде и широкому спектру фармакологической активности, включая цитотоксическую, цитопротекторную, кардиотропную, антибактериальную и т.д. [11‒15].
Катионный нитрозильный комплекс железа с N,N′-диметилтиомочевиными лигандами — [Fe(SC(NHCH3)2)2(NO)2]BF4 (комплекс 1) снижает жизнеспособность клеток множественной миеломы на 70.8%. Также данный комплекс увеличивает уровень активных форм кислорода в раковых клетках в 4 раза и понижает уровень внутриклеточного глутатиона, что приводит к уменьшению роста опухолевых клеток. В связи с этим комплекс 1 представляет собой перспективное соединение для терапии онкологических заболеваний [16, 17].
Ранее было показано, что НКЖ в условиях in vivo будут взаимодействовать со множеством мишеней: с тиол- и гемсодержащими белками, а также с низкомолекулярными тиолами [18]. Поэтому для дальнейшего изучения механизмов действия этих комплексов необходимо четко понимать, как будет происходить их биотрансформация и какие продукты при этом могут образоваться. В работе [19] установлено, что при введении в кровь НКЖ основная их часть будет связана с альбумином — белком плазмы крови, ключевой функцией которого является перенос свободных жирных кислот, различных метаболитов, билирубина, гормонов, лекарств, и металлов [20‒25]. Связывание НКЖ, как было показано ранее [26], будет происходить по единственной свободной SH-группе цистеина (Cys34), расположенной в субдомене Ia и по гистидиновым остаткам.
Рассматривая биологически важные тиолы, которые могут играть существенную роль в процессе трансформации НКЖ, следует выделить восстановленный глутатион (GSH), который является самым распространенным небелковым тиолом в живых организмах и выполняет множество функций. Установлено, что развитие рака, нейродегенеративных заболеваний, кистозного фиброза может быть связано с нарушением метаболизма GSH [27], а соотношение GSH/GSSG (дисульфид глутатиона) составляет основу клеточного окислительно-восстановительного гомеостаза [28].
Исходя из вышеизложенного, целью данной работы является изучение трансформации комплекса 1 в присутствии бычьего сывороточного альбумина (BSA) и GSH в аэробных условиях in vitro. Полученные результаты также позволят оценить роль кислорода, поскольку он способен реагировать с НКЖ [29] и, следовательно, может существенно влиять на процессы взаимодействия НКЖ с BSA и GSH. Проводимые исследования обладают фундаментальной и прикладной значимостью, так как помогут расширить существующие знания о процессах биотрансформации НКЖ.
Экспериметнтальная часть
В настоящем исследовании были использованы трис(гидроксиметил)аминометана производства компании Serva (Germany), бычий сывороточный альбумин (5 фракция, BIOCLOT, Germany), диметилсульфоксид (“ЛенРеактив”, Россия), L‒глутатион в востановленной форме (Sigma-Aldrich, USA).
Техника работы в атмосфере аргона
Перед проведением опытов комплекс 1 растворяли в атмосфере аргона в анаэробном диметилсульфоксиде (ДМСО). Аргон высокой чистоты из баллона пропускали через колонку с хром-никелевым катализатором при 23 °C для дополнительной очистки. Затем удаляли воздух из рабочих растворов путем пропускания через них очищенного аргона при перемешивании на магнитной мешалке в течение 30 мин. Таким образом, создавали анаэробную среду внутри сосуда. Вся посуда, используемая для рабочих растворов, была герметично закрыта с помощью резиновых затворов RubberSepta производства компании Sigma-Aldrich (USA). Для перенесения раствора из одного сосуда в другой использовали шприцы с припаянными иглами. Избыточное давление сбрасывали с помощью иглы, для чего вводили иглы через резиновый затвор, набирали газ в шприц, выносили его из сосуда и спускали из шприца лишний газ.
Исследование кинетики распада комплекса 1 в буфере Трис-HCl
Чтобы избежать распада комплекса в присутствии кислорода, его исходный раствор готовили в анаэробных условиях путем растворения в анаэробном абсолютном ДМСО. Растворение проводили при интенсивном перемешивании на магнитной мешалке в течение 9 мин при 23 °С. Затем 0.3 мл раствора комплекса отбирали и вводили в опытную кювету объемом 4 мл с длиной оптического пути 1 см, которая содержала 2.7 мл 0.05 M Трис-HCl буфер с pH 7.0. Конечный объем раствора комплекса в экспериментальной кювете составлял 3 мл, концентрация комплекса в конечном растворе была равна 2 ∙ 10–4 М. Контрольная кювета содержала 3 мл буфера Трис-HCl с рН 7.0.
Изучение кинетики распада комплекса 1 в присутствии BSA
Навеску BSA растворяли в 0.05 М Трис-HCl-буфере с pH 7.0. Полученный раствор добавляли в сосуд с навеской комплекса. Растворение проводили при интенсивном перемешивании на магнитной мешалке в течение 6 мин при 23 °С. Затем отбирали 0.25 мл полученного раствора белка с концентрацией 2.4 ∙ 10–3 М и вносили в опытную кювету. Концентрация комплекса в исходном растворе анаэробного ДМСО составляла 2 ∙ 10–3 М. Далее отбирали 0.3 мл полученного раствора и вносили в кювету с BSA. Конечная концентрация комплекса составила 2 ∙ 10–4 М.
Изучение кинетики распада комплекса 1 в присутствии GSH
В кварцевую кювету объемом 3 мл с длиной оптического пути 1 см вводили раствор комплекса 1 в ДМСО с концентрацией 3 ∙ 10–3 М и раствор GSH в 0.05 М Трис-HCl-буфере (pH 7.0). Конечная концентрация комплекса 1 в кювете равна 0.8 ∙ 10–4 М, а GSH ‒ 3.2 ∙ 10–4 М.
Регистрация УФ-спектров поглощения
УФ-спектры поглощения регистрировали в диапазоне длин волн 200–600 нм через определенные интервалы времени при комнатной температуре на спектрофотометре Cary 60 UV-Vis производства компании Agilent Tech. (USA).
Изучение взаимодействия BSA с комплексом 1 методом флуоресцентной спектроскопии
Исходный раствор комплекса с концентрацией 1.5 ∙ 10–3 М готовили в анаэробных условиях, как описано выше, путем растворения в анаэробном абсолютном ДМСО. Далее разводили полученный раствор в 1.8 мл анаэробного раствора 0.05 М Трис-HCl-буфера pH 7.0 для получения концентрации комплексов 1.5 ∙ 10–4 М. Аликвоту объемом 2.990 мл аэробного раствора BSA с концентрацией 10–6 М титровали при последовательном добавлении раствора комплекса 1.
Регистрация спектров флуоресценции
Спектры испускания флуоресценции регистрировали в диапазоне длин волн 300–400 нм через определенные интервалы времени при комнатной температуре.Длина волны возбуждения была выбрана равной 290 нм, ширина щели возбуждения и ширина щели испускания устанавливались равными 5 и 10 нм соответственно. Титрование проводили вручную с использованием микрошприца объемом 50 мкл. Эксперимент проводили на спектрофлуориметре Cary Eclipse производства компанииVarian (USA).
Квантовохимические расчеты
Квантовохимические расчеты были выполнены с полной оптимизацией геометрии начального, конечного и промежуточного комплексов с использованием программы Gaussian 09 (версия D) [30] и метагибридного функционала TPSSh и базисного набора 6-311++G**/6– 31G* с учетом сольватации в водном растворе в рамках модели поляризуемого континуума. Электронные спектры были рассчитаны с помощью теории функционала плотности, зависящей от времени (TDDFT).
Результаты и их обсуждение
Распад комплекса 1 в присутствии альбумина
В работах [29, 31] было показано, что кислород играет важную роль в процессе трансформации НКЖ. В спектрах поглощения комплекса 1 в Трис-HCl-буфере появляется широкое плечо при 280–370 нм, которое согласно квантовохимическим расчетам характерно для продуктов взаимодействия кислорода с тиомочевиной и ее производными [32]. Эффективная константа скорости для данного процесса составила (3.7 ± 0.4) ∙ 10–4 с–1 (вставка на рис. 1).
Рис. 1. Изменение спектров поглощения комплекса 1 в Трис-HCl-буфере. Условия реакции: концентрация комплекса 1 — 2 ∙ 10–4 M, температура — 23 °C, растворитель — 0.05 M Трис-HCl-буфер pH 7.0. На вставке представлена кинетическая кривая распада комплекса 1 для данного опыта. Константа скорости данного процесса составила (3.7 ± 0.4) ∙ 10–4 с–1.
Ранее с помощью метода квантовохимического моделирования был получен ряд кислородсодержащих НКЖ, являющихся продуктами координации кислорода по различным положениям в исходном комплексе 1 [33]. На рис. 2 приведены теоретические TDDFT-спектры продуктов, имеющих полосы в диапазоне 280–350 нм. Лучше всего с экспериментальным спектром (рис. 1) совпадает теоретический спектр комплекса D ‒ Fe(NO)(O)2(SC(NHCH3)2)2, поэтому можно предположить, что он будет основным продуктом взаимодействия кислорода с исходным комплексом 1.
Рис. 2. TDDFT-спектры продуктов окисления комплекса 1: A, B — продукты присоединения молекулы кислорода по NO-лиганду; С, D — продукты присоединения кислорода к атому железа.
В присутствии альбумина наблюдается иной вид спектров поглощения (рис. 3). В данном случае сразу после смешивания реагентов появляется характерная для моноядерных НКЖ с цистеином и другими алифатическими тиолигандами [34] полоса в области 370–410 нм, что может указывать на образование высокомолекулярного комплекса, связанного с белком. Мы полагаем, что основным продуктом будет являться комплекс Fe(Cys34)(His39)(NO)(O)2, полученный при координации фрагмента [Fe(NO)(O)2] (соединение D без тиолигандов, рис. 2) на Cys34 и His39, находящихся в гидрофобном кармане альбумина. Кроме того, в данном случае нельзя исключать связывание с аминокислоными остатками как самого железодинитрозильного фрагмента, так и других кислородсодержащих продуктов, как это уже было ранее нами описано на примере НКЖ с тиосульфатными и тиомочевинными лигандами [35].
Рис. 3. Изменение спектров поглощения комплекса 1 в присутствии BSA. Условия реакции: концентрация комплекса 1 — 2 ∙ 10-4 M, концентрация BSA — 2 ∙ 10–4 M, температура — 23 °C, растворитель — 0.05 M Трис-HCl-буфер с pH 7.0. Константы скорости данного процесса составили (1.1 ± 0.1) ∙ 10–3 с–1 и (5.7 ± 0.6) ∙ 10–5 с–1.
Как показано на вставке к рис. 3, данный комплекс медленно распадается; при этом кривая не выходит на плато даже спустя 18 ч. Для аппроксимации экспериментальных данных была использована функция y(t) = y0 + A1 · e–k1t + A2 · e–k2t. Рассчитанные эффективные константы скорости составили (1.1 ± 0.1) ∙ 10–3 с–1 и (5.7 ± 0.6) ∙ 10–5 с–1 для двух последовательных процессов. Можно предположить, что быстрый процесс, описываемый первой константой, соответствует именно взаимодействию связанного с белком комплекса с кислородом. Наличие изобестической точки при 349 нм свидетельствует о том, что в растворе присутствует два типа поглощающих центров. При этом можно предположить, что распад комплекса будет сопровождаться нитрозилированием SH-группы Cys34.
Распад комплекса 1 в присутствии GSH
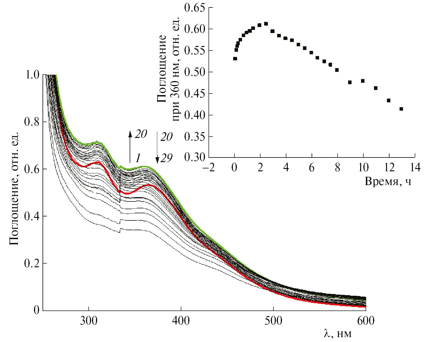
В спектрах поглощения комплекса 1 в среде с GSH наблюдается появление двух максимумов — при 312 и 363 нм (рис. 4), которые отсутствовали в исходном спектре. Такая форма спектра характерна для биядерных НКЖ с глутатионовыми и другими алифатическими лигандами [34]. В данном случае мы предполагаем, что комплекс димеризуется; при этом исходные N,N ′-диметилтиомочевинные тиолиганды замещаются на GSH с образованием нового НКЖ с GSH-лигандами — бис-(глутатион-2-тиолат)тетранитрозилдижелезо [Fe2(GS‒)2(NO)4]2+. Согласно исследованию [36] теоретический спектр комплекса [Fe2(GS‒)2(NO)4]2+ в достаточной мере совпадает с экспериментальным спектром, полученным для реакционной смеси комплекса 1 с GSH.
На вставке к рис. 4 приведена кинетическая зависимость трансформации НКЖ в присутствии GSH, которая имеет сложный характер и обработана с использованием двух функций. В результате аппроксимации начального участка экспериментальных данных уравнением y(t) = y0 + A · e–kt получено следующее значение эффективной константы скорости: k = (5.3 ± 0.6) ∙ 10–4 с–1. Увеличение поглощения, наблюдаемое на начальном участке кинетической кривой, по-видимому, связано с накоплением глутатионового комплекса (спектры 1–20) в реакционной смеси, а дальнейшее падение отражает его распад (спектры 21–29).
Рис. 4. Изменение спектров поглощения комплекса 1 в присутствии GSH. Условия реакции: концентрация комплекса 1 — 0.8 ∙ 10–4 М, концентрация GSH — 3.2 ∙ 10–4 M, температура — 23 °C, растворитель — 0.05 M Трис-HCl-буфер с pH 7.0. Константа скорости начального процесса составила k = (5.3 ± 0.6) ∙ 10–4 с–1.
Спектры флуоресценции BSA в присутствии комплекса 1
Согласно литературным данным собственная флуоресценция BSA обусловлена наличием двух аминокислотных остатков: триптофана Trp 213 и Trp 134, которые флуоресцируют независимо друг от друга с примерно равной интенсивностью [37]. На рис. 5 показано изменение спектров флуоресценции альбумина при титровании его раствором комплекса 1. Исходная интенсивность флуоресценции белка уменьшается на 40% после окончания добавления комплекса 1. Также наблюдается небольшой сдвиг спектра в синюю область.
Рис. 5. Влияние комплекса 1 на спектры флуоресценции BSA. Условия: начальные концентрации комплекса 1 — 0; 0.5 ‧ 10–6; 1 ‧ 10–6; 1.5 ‧ 10–6; 2 ‧ 10–6; 2.47 ‧ 10–6; 2.95 ‧ 10–6; 3.43 ‧ 10–6; 3.91 ‧ 10–6; 4.38 ‧ 10–6; 4.86 ∙ 10–6 М, BSA –1 ∙ 10–6 М, lex = 290 нм, 0.05 M Трис-HCl-буфер pH 7.0, температура — 23 °C. На вставке представлена кривая Штерна–Фольмера системы BSA–комплекс 1.
Согласно литературным данным триптофановые остатки имеют спектры флуоресценции с максимумами в диапазоне 308–355 нм, в зависимости от их локализации [38]. Таким образом, исходя из экспериментальных данных (рис. 5), можно предположить, что Trp 213 и Trp 134 тушатся в разной степени. При этом, как и ранее [35], мы полагаем, что тушение происходит в результате координации продукта аэробного распада комплекса 1 с аминокислотными остатками Cys34 и His39 альбумина.
Экспериментальные данные были обработаны с помощью уравнения Штерна–Фольмера. Полученная кривая характеризуется изгибом вниз к оси x, что связано с наличием недоступных для тушения остатков триптофана. Поэтому для определения константы скорости тушения КSV было использовано модифицированное уравнение Штерна–Фольмера:
,
где I и I0 — интенсивности флуоресценции в отсутствие и в присутствии тушителя, соответственно; fa = 0.66 — часть флуорофора, доступная тушителю (рассчитана из аппроксимации, приведенной на вставке к рис. 5); [Q] — концентрация тушителя.
На вставке рис. 5 показана линейная зависимость тушения флуоресценции BSA от концентрации комплекса 1 в координатах Штерна–Фольмера. Константа Штерна–Фольмера, рассчитанная по тангенсу угла наклона полученной прямой, равна (2.3 ± 0.2) ∙ 105 М–1 и в нашем случае эквивалентна константе связывания комплекса 1 с BSA.
Для анализа влияния связывания комплекса с белком на эффективность тушения каждого остатка триптофана был определен интеграл спектрального перекрывания J(λ) общей флуоресценции триптофана белка и спектра поглощения полученного высокомолекулярного комплекса связанного с белком, а затем рассчитан радиус Фёрстера R0, который равен расстоянию, при котором происходит 50%-ное тушение флуоресценции [39]:
J(λ)=
где eA — коэффициент экстинкции акцептора; FD(l) — спектр эмиссии донора; k2 — коэффициент, характеризующий относительную ориентацию в пространстве переходных диполей донора и акцептора (для случайной ориентации в жидком растворе k2 = 0.66 [38, 40]); N — средний показатель преломления среды в диапазоне длин волн, где спектральное перекрытие значительно (N = 1.33); Ф — квантовый выход флуоресценции донора (квантовый выход флуоресценции остатков триптофана равен 0.13 [41]).
Рассчитанный радиус Фёрстера равен 22.4 Å. Методом молекулярного моделирования в работе [42] определены расстояния от S (Cys 34) до Trp 134 и до Trp 213, которые равны 21.7 Å и 33.2 Å соответственно. Поэтому в данном случае будет наблюдаться более эффективное тушение флуоресценции именно Trp 134.
Заключение
Установлено, что альбумин и глутатион, подобно кислороду, принимают активное участие в процессе трансформации комплекса 1. Продукт аэробного распада комплекса 1 может координироваться с Cys34 и His39 в гидрофобном кармане BSA с образованием высокомолекулярного НКЖ Fe(Cys34)(His39)(NO)(O)2, поглощающего в области 370–410 нм. В данной системе происходит эффективное тушение собственной флуоресценции белка, а рассчитанная константа Штерна–Фольмера составляет (2.3 ± 0.2) ∙ 105 М–1. Показано, что в присутствии глутатиона в спектрах поглощения появляются новые полосы при 312 и 363 нм, что соответствует образованию нового биядерного НКЖ с GSH-лигандами — бис-(глутатион-2-тиолат)тетранитрозилдижелеза [Fe2(GS‒)2(NO)4]2+. Константа скорости данного процесса составила (5.3 ± 0.6) ∙ 10–4 с–1.
Мы полагаем, что продукты, образующиеся в результате трансформации комплекса 1 в присутствии GSH и BSA, являются фармакологическими активными формами исходного комплекса в организме.
Работа по исследованию трансформации комплекса в модельных биологических системах выполнена за счет гранта президента (№ МК-1634.2021.1.3.), синтез комплекса — по теме госзадания № 124020500019-2.
About the authors
A. Yu. Kormukhina
Federal Research Center Problem of Chemical Physics and Medical Chemistry of the Russian Academy of Sciences; Lomonosov Moscow State University
							Author for correspondence.
							Email: alex.kormukhina2015@yandex.ru
				                					                																			                												                	Russian Federation, 							Chernogolovka; Moscow						
A. B. Kusyapkulova
Federal Research Center Problem of Chemical Physics and Medical Chemistry of the Russian Academy of Sciences; Lomonosov Moscow State University
														Email: alex.kormukhina2015@yandex.ru
				                					                																			                												                	Russian Federation, 							Chernogolovka; Moscow						
N. S. Emel’yanova
Federal Research Center Problem of Chemical Physics and Medical Chemistry of the Russian Academy of Sciences
														Email: alex.kormukhina2015@yandex.ru
				                					                																			                												                	Russian Federation, 							Chernogolovka						
O. V. Pokidova
Federal Research Center Problem of Chemical Physics and Medical Chemistry of the Russian Academy of Sciences
														Email: alex.kormukhina2015@yandex.ru
				                					                																			                												                	Russian Federation, 							Chernogolovka						
N. A. Sanina
Federal Research Center Problem of Chemical Physics and Medical Chemistry of the Russian Academy of Sciences; Lomonosov Moscow State University; Moscow State Regional University
														Email: alex.kormukhina2015@yandex.ru
				                					                																			                								
Scientific and Educational Center “Medical Chemistry”
Russian Federation, Chernogolovka; Moscow; MytishchiReferences
- Vanin A.F. // Sorosov. Educ. J. 2001. № 11. V. 7. P. 7.
- Ignarro L.J. // Circulation Research. 2002. V. 90. № 1. P. 21.
- Ghimire K., Altmann H.M., Straub A.C. et al. // Amer. J. Physiol. Cell Physiol. 2017. V. 312. P. 254.
- Konstantinova T.S., Shevchenko T.F., Barskov I.V. et al. // Russ. J. Phys. Chem. 2021. V. 15. P. 119.
- Needleman P., Johnson JR. Eu. M. // J. Pharm. Exp. Therap. 1973. V. 184. P. 709.
- Shurshina A.S.,. Galina A.P, Kulish E.I. // Russ. J. Phys. Chem. 2022. V. 16. P. 353.
- Pectol D.C., Khan S., Chupik R.B. et al. // Mol. Pharm. 2019. V. 16. P. 3178.
- Psikha B.L., Neshev N.I., Sokolova E.M. // Russ. J. Phys. Chem. 2020. V. 15. P. 571.
- Saratovskich E.A., Sanina N.A., Martinenko V.M. // Russ. J. Phys. Chem. V. 14. 2020. P. 138.
- Chazov E.I., Rodnenkov O.V., Zorin A.V. et al. // Nitr. Ox. 2012. V. 26. P. 148.
- Sanina N.A., Shmatko N.Y., Korchagin D.V. et al. // J. Coord. Chem. 2016. V. 69. P. 812.
- Sanina N.A., Aldoshin S.M., Shmatko N.Y. et al. // Inorg. Chem. Commun. 2014. V. 49. P. 44.
- Akentieva N.P., Sanina N.A., Prichodchenko T.R. et al. // Dokl. Biochem. Biophys. 2019. V. 486. P. 238.
- Gizatullin A.R., Akentieva N.P., Sanina N.A. et al. // Dokl. Biochem. Biophys. 2018. V. 483. P. 337.
- Mumyatova V.A., Kozub G.I., Kondrat’eva T.A. et al. // Russ. Chem. Bull. 2019. V. 68. P. 1025.
- Shmatko N.Yu., Korchagin D.V., Shilov G.V. et al. // Polyhedron. 2017. V. 137.
- Akent’eva N.P., Sanina N.A., Prihodchenko T.R. et al. // Dokl. Acad. Sc. 2019. V. 486. P. 742.
- Lewandowska H., Kalinowska M., Brzoska K. et al. // Dalt Trans. 2011. V. 33. P. 8273.
- Shumaev K.B., Kosmachevskaya O.V., Timoshin A.A. et al. // Methods. Enzym. 2008. V. 436. P. 445.
- Otagiri M., Chuang V.T.G. / Albumin in Medicine. Singapore: Springer, 2016.
- Peters J.T. // All About Albumin. 1st ed. N.Y.: Acad. Press, 1995.
- Andre C., Guillaume Y.C. // Talanta. 2004. V. 63. P. 503.
- Bal W., Sokołowska M., Kurowska E. et al. // Biochim. Biophys. Acta. 2013. V. 1830. P. 5444.
- Patel S.U., Sadler P.J., Tucker A. // J. Amer. Chem. Soc. 1993. V. 115. P. 9285.
- Scott B.J., Bradwell A.R. // Clin. Chem. 1983. V. 29. P. 629.
- Boese M., Mordvintcev P.I., Vanin A.F. et al. // Biol. Chem. 1995. V. 270. P. 29244.
- Townsend D.M., Tew K.D., Tapiero H. // Biomed. Pharm. 2003. V. 57. P. 145.
- Kalinina E.V., Chernov N.N., Novichkov M.D. // Suc. Biolog. Chem. 2014. V. 54. P. 299.
- Pokidova O.V., Emel’yanova N.S., Psikha B.L. et al. // In. Chim. Acta. 2020. V. 502. P. 119369.
- Frisch M.J., Trucks G.W., Schlegel H.B., Scuseria G.E., Robb M.A., Cheeseman J.R., Scalmani G., Barone V., Mennucci B., Petersson G.A., Nakatsuji H., Caricato M., Li X., Hratchian H.P., Izmaylov A.F., Bloino J., Zheng G., Sonnenberg J.L., Hada M., Ehara M., Toyota K., Fukuda R., Hasegawa J., Ishida M., Nakajima T., Honda Y., Kitao O., Nakai H., Vreven T., Montgomery J.A., Jr., Peralta J.E., Ogliaro F., Bearpark M., Heyd J.J., Brothers E., Kudin K.N., Staroverov V.N., Keith T., Kobayashi R., Normand J., Raghavachari K., Rendell A., Burant J.C., Iyengar S.S., Tomasi J., Cossi M., Rega N., Millam J.M., Klene M., Knox J.E., Cross J.B., Bakken V., Adamo C., Jaramillo J., Gomperts R., Stratmann R.E., Yazyev O., Austin A.J., Cammi R., Pomelli C., Ochterski J.W., Martin R.L., Morokuma K., Zakrzewski V.G., Voth G.A., Salvador P., Dannenberg J.J., Dapprich S., Daniels A.D., Farkas O., Foresman J.B., Ortiz J.V., Cioslowski J., Fox D.J. Gaussian 09. Rev. D.01. 2013.
- Banerjee A., Sen S., Paul A. // Chem. A Europ. J. 2018. V. 24. P. 3330.
- Emel.yanova N.S., Gutsev L.G., Pokidova O.V. et al. // In. Chim. Acta. 2021. V. 524. P. 120453.
- Emel’yanova N.S., Gucev L.G., Zagainova E.A. et al. // Rus. Chem. Bull. 2022. V. 9. P. 1. Изв. РАН. 2022. T. 9. C. 1.
- Vanin A.F., Poltorakov A.P., Mikoyan V. D. et al. // Nitr. Ox. 2010. V. 23. P. 136.
- Pokidova О.V., Emel’yanova N.S., Kormukhina A. Yu. et al. // Dalt. Trans. 2022. V. 51. P. 6473.
- Pokidova О.V., Emel’yanova N.S., Psikha B.L. et al. // J. Mol. Str. 2019. V. 1192. P. 264.
- Peterman B.F., Laidler K.J. // Arch. Biochem. Biophys. 1980. V. 199. P. 158.
- Lakowicz J.R., Joseph R. Principles of Fluorescence Spectroscopy. USA: Springer, 2006.
- Forster T. // Ann. Phys. 1948. V. 437. P. 55.
- Chen Y., Barkley M.D. // Biochem. 1998. V. 37. P. 9976.
- Mahammed A., Gray H. B., Weaver J. J. et al. // Bioconj. Chem. 2004. V. 15. P. 738.
- Pokidova O.V., Luzhkov V.B., Emel’yanova N.S. et al. // Dalt. Trans. 2020. V. 49. P. 2674.
Supplementary files
 
				
			Note
Х Международная конференция им. В.В. Воеводского “Физика и химия элементарных химических процессов” (сентябрь 2022, Новосибирск, Россия).
 
					 
						 
						 
						 
						 
				
 
  
  
  Email this article
			Email this article 





