Влияние хелата европия на кинетику хемилюминесценции при свободно-радикальном окислении липидных образцов растительного происхождения
- Авторы: Наумов В.В.1, Федорова Г.Ф.1, Вепринцев Т.Л.1, Яблонская О.И.1, Трофимов А.В.1,2
- 
							Учреждения: 
							- Институт биохимической физики им. Н.М. Эмануэля Российской академии наук
- Московский физико-технический институт (Национальный исследовательский университет)
 
- Выпуск: Том 43, № 11 (2024)
- Страницы: 54-61
- Раздел: Химическая физика биологических процессов
- URL: https://journal-vniispk.ru/0207-401X/article/view/281878
- DOI: https://doi.org/10.31857/S0207401X24110072
- ID: 281878
Цитировать
Аннотация
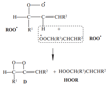
Химически инертный люминофор – усилитель хемилюминесценции 1,10-фенантролин-трис(теноил-трифторацетонат) трехвалентного европия на порядок усиливает интенсивность свечения при инициированном окислении липидных образцов растительного происхождения (подсолнечное масло). Введение в хемилюминесцентную систему усилителя приводит к изменению характера кинетики, убирая характерные пики на кинетических кривых по окончании периода индукции процесса окисления, но неизменяя величины самого периода индукции. При помощи математического компьютерного моделирования на основе кинетической схемы из 23 элементарных реакций показано, что указанные различия можно объяснить непропорциональным увеличением введенным люминофором квантовых выходов хемилюминесценции от нескольких электронно-возбужденных продуктов (эмиттеров света), образующихся в процессе окисления.
Полный текст
 
												
	                        Об авторах
В. В. Наумов
Институт биохимической физики им. Н.М. Эмануэля Российской академии наук
														Email: avt_2003@mail.ru
				                					                																			                												                	Россия, 							Москва						
Г. Ф. Федорова
Институт биохимической физики им. Н.М. Эмануэля Российской академии наук
														Email: avt_2003@mail.ru
				                					                																			                												                	Россия, 							Москва						
Т. Л. Вепринцев
Институт биохимической физики им. Н.М. Эмануэля Российской академии наук
														Email: avt_2003@mail.ru
				                					                																			                												                	Россия, 							Москва						
О. И. Яблонская
Институт биохимической физики им. Н.М. Эмануэля Российской академии наук
														Email: avt_2003@mail.ru
				                					                																			                												                	Россия, 							Москва						
А. В. Трофимов
Институт биохимической физики им. Н.М. Эмануэля Российской академии наук; Московский физико-технический институт (Национальный исследовательский университет)
							Автор, ответственный за переписку.
							Email: avt_2003@mail.ru
				                					                																			                												                	Россия, 							Москва; Долгопрудный						
Список литературы
- Vassil’ev R.F. // Progress in Reaction Kinetics / Ed. Porter G. V. 4. Oxford: Pergamon Press, 1967. P. 305.
- Chemical and Biological Generation of Excited States / Eds. Adam W., Cilento G. N.Y.: Acad. Press, 1982.
- Adam W., Trofimov A.V. // The Chemistry of Peroxides Ed. Rappoport Z. V. 2. Part 2. Patai Series: The Chemistry of Functional Groups. 2006. Chichester: John Wiley & Sons Ltd.Chapter 15. P. 1171.
- Васильев Р.Ф., Трофимов А.В., Цаплев Ю.Б. // Успехи химии. 2010. Т. 79. С. 91; https://doi.org/10.1070/RC2010v079n02ABEH004064
- Цаплев Ю.Б., Трофимов А.В. // Изв. АН. Cер. хим. 2023. № 1. С. 73; https://doi.org/10.1007/s11172-023-3715-3
- Fedorova G.F., Menshov V.A., Trofimov A.V. et al. // Photochem. Photobiol. 2017. V. 93. P. 579; https://doi.org/10.1111/php.12689
- Fedorova G.F., Menshov V.A., Trofimov A.V., Vasil’ev R.F. // Analyst. 2009. V. 134. P. 2128; https://doi.org/10.1039/B905059K
- Русина И.Ф., Вепринцев Т.Л., Васильев Р.Ф. // Хим. физика. 2022. Т. 41. № 2. С. 12; https://doi.org/10.31857/S0207401X22020108
- Меньшов В.А., Кънчева В.Д., Яблонская О.И., Трофимов А.В. // Хим. физика. 2021. Т. 40. № 2. С. 49; https://doi.org/10.31857/S0207401X21020114
- Naumov V.V., Trofimov A.V., Fedorova G.F. et al. // Intern. J. Mol. Sci. 2023. V. 24. 8486; https://doi.org/10.3390/ijms24108486
- Zhigacheva I.V., Rusina I.F., Krikunova N.I. et al. // Ibid. 2023. V. 24. 13172; https://doi.org/10.3390/ijms241713172
- Saha S., Saso L., Trofimov A.V., Yablonskaya O.I. // Biomedicines. 2023. V. 11. 1377; https://doi.org/10.3390/biomedicines11051377
- Balansky R., La Maestra S., Kancheva V.D. et al. // Food Chem. Toxicol. 2021. V. 155. 112383; https://doi.org/10.1016/j.fct.2021.112383
- Разумов В.Ф. // Хим. физика. 2023. Т. 42. № 2. С. 14; https://doi.org/10.31857/S0207401X23020139
- Колыванова М.А., Климович М.А., Дементьева О.В. и др. // Хим. физика. 2023. Т. 42. № 1. С. 64; https://doi.org/10.31857/S0207401X23010065
- Яковлева М.А., Радченко А.Ш., Костюков А.А. и др. // Хим. физика. 2022. T. 41. № 2. С. 20; https://doi.org/10.31857/S0207401X22020169
- Volodyaev I., Trofimov A., Vladimirov Yu.A. // Ultra-Weak Photon Emission from Biological Systems / Eds. Volodyaev I., van Wijk E., Cifra M., Vladimirov Yu.A., AG, Cham: Springer Nature Switzerland, 2023. P. 131; https://doi.org/10.1007/978-3-031-39078-4_10
- Vassil’ev R.F. // Nature. 1962. V. 196. P. 668; https://doi.org/10.1038/196668a0
- Vassil’ev R.F. // Ibid. 1963. V. 200. P. 773; https://doi.org/10.1038/200773b0
- Fedorova G.F., Trofimov A.V., Vasil’ev R.F., Veprintsev T.L. // ARKIVOC. 2007. № 8. P. 163. https://doi.org/10.1002/chin.200709275
- Васильев Р.Ф., Кънчева В.Д., Наумов В.В. и др. // Хим. физика. 2020. Т. 39. № 6. С. 36. https://doi.org/10.31857/S0207401X20060126
- Шляпинтох В.Я., Карпухин О.Н., Постников Л.М. и др. Хемилюминесцентные методы исследования медленных химических процессов. М.: Наука, 1966.
- Беляков В.А., Васильев Р.Ф., Федорова Г.Ф. // Кинетика и катализ. 2004. Т. 45. № 3. С. 355.
- Васильев Р.Ф., Вепринцев Т.Л., Долматова Л.С. и др. // Там же. 2014. Т. 55. № 2. С. 157; https://doi.org/10.7868/S0453881114020154
- Van Hook J.P., Tobolsky A.V. // J. Am. Chem. Soc. 1958. V. 880. P. 779; https://doi.org/10.1021/ja01537a006
- Kancheva V.D., Dettori M.A., Fabbri D. et al. // Antioxidants. 2021. V. 10. P. 624; https://doi.org/10.3390/antiox10040624
- Vasvari G., Kuramshin E.M., Holly S. et al. // J. Phys. Chem. 1988. V. 92. P. 3810; https://doi.org/10.1021/j100324a026
- Dawson W.R., Kropp J.L., Windsor M.W. // Ibid. 1966. V. 45. P. 2410. https://doi.org/10.1063/1.1727955
- Wildes P.D., White E.H. // J. Amer. Chem. Soc. 1971. V. 93. P. 6286; https://doi.org/10.1021/ja00752a058
- Наумов В.В., Федорова Г. Ф., Васильев Р.Ф. и др. // Хим. физика. 2021. Т. 40. № 2. С. 24; https://doi.org/10.31857/S0207401X21020126
- Fedorova G.F. Lapina V.A., Menshov V.A. et al. // Photochem. Photobiol. 2019. V. 95. P. 780; https://doi.org/10.1111/php.13058
- Belyakov V.A., Vasil’ev R.F. // Ibid. 1970. V. 11. P. 179; https://doi.org/10.1111/j.1751-1097.1970.tb05986.x
- Mendes P. // Comput. Appl. Biosci. 1993. V. 9. P. 563.
- Mendes P. // Trends Biochem. Sci. 1997. V. 22. P. 361; https://doi.org/10.1016/s0968-0004(97)01103-1
- Mendes P., Kell D.B. // Bioinformatics. 1998. V. 14. P. 869; https://doi.org/10.1093/bioinformatics/14.10.869
- Hoops S., Sahle S., Gauges R. et al. // Ibid. 2006. V. 22. P. 3067. https://doi.org/10.1093/bioinformatics/btl485
- Denisov E.T. Liquid-Phase Reaction Rate Constants. N.Y.: Springer, 2012.
- Denisov E.T., Azatyan V.V. Inhibition of Chain Reactions. Boca Raton: CRC Press, 2000.
- Denisov E.T., Afanas’ev I.B. Oxidation and Antioxidants in Organic Chemistry and Biology. Boca Raton: CRC Press, 2005.
- Беляков В.А., Филиппова Т.В., Заседателев С.Ю., Блюмберг Э.А. // Изв. АН СССР. Сер. хим. 1979. № 7. С. 1485.
- Беляков В.А., Васильев Р.Ф., Федорова Г.Ф. // Там же. 1983. № 12. С. 2709.
- Timmins G.S., Dos Santos R.E., Whitwood A.C. et al. // Chem. Res. Toxicol. 1997. V. 10. № 10. P. 1090; https://doi.org/10.1021/tx970075p
- Шарипов Г.Л., Казаков В.П., Толстиков Г.А. Химия и хемилюминесценция 1.2диоксетанов. М.: Наука, 1990.
- Adam W., Beinhauer A., Hauer H. // Handbook of Organic Photochemistry / Ed. Scaiano J.C. V. 2. Boca Raton: CRC Press, Inc, 1989. P. 271.
- Trofimov A.V., Vasil’ev R.F., Mielke K., Adam W. // Photochem. Photobiol. 1995. V. 62. P. 35.
- Рогинский В.А. // Кинетика и катализ. 1990. Т. 31. № 3. С. 546.
- Yanishlieva N., Popov A. // Rev. Franc. Corps Gras. 1973. V. 20. P. 11.
Дополнительные файлы
 
				
			 
						 
						 
						 
					 
						 
									
 
  
  
  Отправить статью по E-mail
			Отправить статью по E-mail 

 Открытый доступ
		                                Открытый доступ Доступ предоставлен
						Доступ предоставлен




