Cardiac troponin I determination by elisa immuno assay on magnetic particles with electrochemical detection
- Authors: Sorokina O.N.1, Konstantinova T.S.1, Vorobyova A.K.1, Vasilyeva A.D.1, Yurina L.V.1, Eremenko A.V.1, Lyzhenkova A.V.2, Minushkina L.O.3, Zateyshchikov D.A.2,3, Kurochkin I.N.1,4
- 
							Affiliations: 
							- Emanuel Institute of Biochemical Physics, Russian Academy of Sciences
- Bauman City Clinical Hospital No.29, Health Department of Moscow
- “Central State Medical Academy” Department of the President of the Russian Federation
- Lomonosov Moscow State University
 
- Issue: Vol 43, No 11 (2024)
- Pages: 71-78
- Section: Chemical physics of biological processes
- URL: https://journal-vniispk.ru/0207-401X/article/view/281885
- DOI: https://doi.org/10.31857/S0207401X24110095
- ID: 281885
Cite item
Abstract
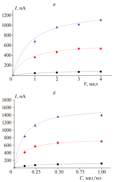
A high sensitive method for the quantitative rapid determination of cardiac Troponin I in human serum has been developed. The method is based on an enzyme-linked immunosorbent assay on magnetic particles in the volume of a blood serum sample, which can significantly reduce the diffusion limits typical for common ELISA. Alkaline phosphatase which is a high-performance enzyme was used as an enzyme label. The enzyme demonstrated a catalytic efficiency (kcat/Km) = 26500 1/(s∙mM) in combination with the substrate 1-naphtyl phosphate monosodium salt. The planar electrochemical sensors manufactured by industrial screen-printing technology were used for signal detection. The detection was carried out in differential pulse voltammetry mode. The calculated limit of detection by the enzymatic reaction product was 0.075 μM which significantly exceeded the sensitivity of colorimetric methods. The combination of the proposed methods and approaches makes it possible to obtain a quantitative analysis for cardiac TnI in human serum within 20 minutes with an estimated detection limit of 7 pg/mL and an upper reference limit of normal analyte concentration (99-th percentile) of 22 pg/mL.
Full Text
 
												
	                        About the authors
O. N. Sorokina
Emanuel Institute of Biochemical Physics, Russian Academy of Sciences
							Author for correspondence.
							Email: alsiona@gmail.com
				                					                																			                												                	Russian Federation, 							Moscow						
T. S. Konstantinova
Emanuel Institute of Biochemical Physics, Russian Academy of Sciences
														Email: alsiona@gmail.com
				                					                																			                												                	Russian Federation, 							Moscow						
A. K. Vorobyova
Emanuel Institute of Biochemical Physics, Russian Academy of Sciences
														Email: alsiona@gmail.com
				                					                																			                												                	Russian Federation, 							Moscow						
A. D. Vasilyeva
Emanuel Institute of Biochemical Physics, Russian Academy of Sciences
														Email: alsiona@gmail.com
				                					                																			                												                	Russian Federation, 							Moscow						
L. V. Yurina
Emanuel Institute of Biochemical Physics, Russian Academy of Sciences
														Email: alsiona@gmail.com
				                					                																			                												                	Russian Federation, 							Moscow						
A. V. Eremenko
Emanuel Institute of Biochemical Physics, Russian Academy of Sciences
														Email: alsiona@gmail.com
				                					                																			                												                	Russian Federation, 							Moscow						
A. V. Lyzhenkova
Bauman City Clinical Hospital No.29, Health Department of Moscow
														Email: alsiona@gmail.com
				                					                																			                												                	Russian Federation, 							Moscow						
L. O. Minushkina
“Central State Medical Academy” Department of the President of the Russian Federation
														Email: alsiona@gmail.com
				                					                																			                												                	Russian Federation, 							Moscow						
D. A. Zateyshchikov
Bauman City Clinical Hospital No.29, Health Department of Moscow; “Central State Medical Academy” Department of the President of the Russian Federation
														Email: alsiona@gmail.com
				                					                																			                												                	Russian Federation, 							Moscow; Moscow						
I. N. Kurochkin
Emanuel Institute of Biochemical Physics, Russian Academy of Sciences; Lomonosov Moscow State University
														Email: alsiona@gmail.com
				                					                																			                												                	Russian Federation, 							Moscow; Moscow						
References
- Hahla M.S., Saeed Y., Razieh H. // Res. J. Pharm. Biol. Chem. Sci. 7 (6), 2013 (2016).
- National Center for Health Statistics. Multiple Cause of Death 2018–2021 on CDC WONDER Database (2023) https://wonder.cdc.gov/wonder/help/mcd-expanded.html
- Federal State Statistics Service (Rosstat). Operational demographic indicators for January – June 2020 (2021). https://rosstat.gov.ru/storage/mediabank/BgjLrP31/demogr_01-06.pdf
- Bogachev R.S., Mikhailova L.V., Shcherbanev K.G., et al. // “Social Aspects of Population Health” scientific e-journal. 69 (2) (2023) http://vestnik.mednet.ru/content/view/1461/30/lang,ru/
- Docherty A.B., Sim M., Oliveira J., et al. // Crit Care. 21, 216 (2017).
- Karibaev K.R., Makhanov D.I., Maidyrov E.S., et al. // Vestnik Novsu. 112 (6), 59 (2018).
- Shaitan K.V. // Russ. J. Phys. Chem. B 17 (3), 550 (2023).
- Katrukha I.A., Katrukha A.G. // Clinical Chem. 67 (1), 124 (2021).
- Thygesen K., Alpert J.S., Jaffe A.S., et al. // Circulation. 138 (20), e618 (2018).
- Babuin L., Jaffe A.S. // CMAJ. 173 (10), 1191 (2005).
- Alymov M.I., Seplyarskii B.S., A. Kochetkov // Russ. J. Phys. Chem. B 17 (4), 1005 (2023).
- Reddy K.K., Bandal H., Satyanarayana M., et al. // Adv. Sci. 7, 1902980 (2020).
- Nechaeva N.L., Sorokina O.N., Konstantinova T.S., et al.// J. Anal. Chem. 77, (5) 531 (2022).
- Nechaeva N.L., Sorokina O.N., Konstantinova T.S., et al. // Talanta. 224, 121860 (2021).
- Vasilyeva A.D., Yurina L.V., Azarova D.Yu., et al. // Russ. J. Phys. Chem. B. 16 (1)118 (2022).
- Khrenova M.G., Polyakov I.V., Nemukhin A.V. // Russ. J. Phys. Chem. B. 16 (3), 455 (2022).
- Misin V.M., Sazhina N.N. // Russ. J. of Phys. Chem. B. 4 (5),797 (2010).
- Sazhina N.N., Misin V.M. // Khim. Fizika (in Russian) 31 (11), 48 (2012).
- Podoynitsyn S.N., Sorokina O.N., Kovarsky A.L. // Russ. J. Phys. Chem. B. 10 (2), 321 (2016).
Supplementary files
 
				
			 
					 
						 
						 
						 
						 
				
 
  
  
  Email this article
			Email this article 
 Open Access
		                                Open Access Access granted
						Access granted


