Еffect of light spectrum on elastic-mechanical properties of sclera and myopia development
- Authors: Trofimova N.N.1, Khramtsova E.A.1, Petronyuk Y.S.1, Antipova K.G.1, Krupnin A.E.2, Ratnovskaya A.V.1, Sokolova V.V.1, Mednikova E.I.3, Guryeva T.S.3
- 
							Affiliations: 
							- Emanuel Institute of Biochemical Physics, Russian Academy of Sciences
- NRC “Kurchatov Institute”
- Institute of Biomedical Problems, Russian Academy of Sciences
 
- Issue: Vol 43, No 11 (2024)
- Pages: 79-87
- Section: Chemical physics of biological processes
- URL: https://journal-vniispk.ru/0207-401X/article/view/281890
- DOI: https://doi.org/10.31857/S0207401X24110105
- ID: 281890
Cite item
Abstract
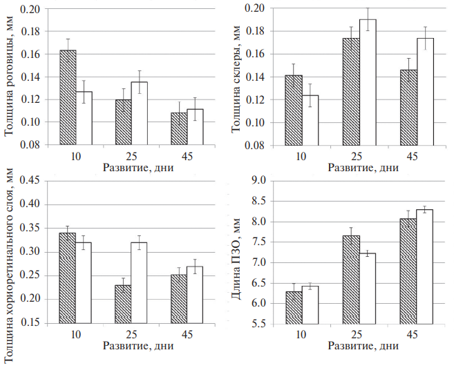
The paper presents the results of a study of spectrum-induced myopia using a model of quail maturation. Using acoustic microscopy methods in the native state, the geometric dimensions of the structural elements of the eye involved in focusing the optical system were determined, and the patterns of their changes as the body grew and during emmetropization were identified. Particular emphasis was placed on the composition, structure and mechanical properties of the sclera, as the main supporting tissue of the eye, responsible for its shape and size.
Keywords
Full Text
 
												
	                        About the authors
N. N. Trofimova
Emanuel Institute of Biochemical Physics, Russian Academy of Sciences
							Author for correspondence.
							Email: ntrofimova@mail.ru
				                					                																			                												                	Russian Federation, 							Moscow						
E. A. Khramtsova
Emanuel Institute of Biochemical Physics, Russian Academy of Sciences
														Email: ntrofimova@mail.ru
				                					                																			                												                	Russian Federation, 							Moscow						
Yu. S. Petronyuk
Emanuel Institute of Biochemical Physics, Russian Academy of Sciences
														Email: ntrofimova@mail.ru
				                					                																			                												                	Russian Federation, 							Moscow						
K. G. Antipova
Emanuel Institute of Biochemical Physics, Russian Academy of Sciences
														Email: ntrofimova@mail.ru
				                					                																			                												                	Russian Federation, 							Moscow						
A. E. Krupnin
NRC “Kurchatov Institute”
														Email: ntrofimova@mail.ru
				                					                																			                												                	Russian Federation, 							Moscow						
A. V. Ratnovskaya
Emanuel Institute of Biochemical Physics, Russian Academy of Sciences
														Email: ntrofimova@mail.ru
				                					                																			                												                	Russian Federation, 							Moscow						
V. V. Sokolova
Emanuel Institute of Biochemical Physics, Russian Academy of Sciences
														Email: ntrofimova@mail.ru
				                					                																			                												                	Russian Federation, 							Moscow						
E. I. Mednikova
Institute of Biomedical Problems, Russian Academy of Sciences
														Email: ntrofimova@mail.ru
				                					                																			                												                	Russian Federation, 							Moscow						
T. S. Guryeva
Institute of Biomedical Problems, Russian Academy of Sciences
														Email: ntrofimova@mail.ru
				                					                																			                												                	Russian Federation, 							Moscow						
References
- D. Troilo E. L, Smith 3rd, D. L. Nickla et al., Invest. ophthalmol.vis.sci., 60, M31–M88 (2019). https://doi.org/10.1167/iovs.18-25967
- J. Wallman & J. Winawer, Neuron, 43, 447–468 (2004).
- T. Kusakari, T. Sato, T.Tokoro, Exp Eye Res.. 73, З533-46 (2001). https://doi.org/10.1006/exer.2001.1064
- C.E. Wisely, J.A. Sayed, H. Tamez, Prog. Retin. Eye Res. 61, 72–97 (2017). https://doi.org/10.1016/j.preteyeres.2017.06.004
- P.P. Zak, A.V. Zykova, N.N.Trofimova and A.E.Abu Khamidakh, Dok. Biol. Sci. 10, 2010297-9 (2010). https://doi.org/10.1134/S0012496610050017
- T. Tokoro, Nippon Ganka Gakkai Zasshi. 98, 1213-37 (1994)
- T. Kusakari, T. Sato & T. Tokoro, Exp. eye res., 64(3), 465–476 (1997). https://doi.org/10.1006/exer.1996.0242
- J.R. Phillips, M. Khalaj & N.A. McBrien, Invest. Ophthalmol. & vis. Sci. 41, 2028–2034 (2000). https://doi.org/10.1016/j.neuron.2004.08.008
- R.P. Najjar, J.M. Chao De La Barca, V.A. Barathi et al., Sci Rep . 7, 7586 (2021). https://doi.org/10.1038/s41598-021-87201-2
- F.J. Rucker, J. Wallman, J. of vision. 12, 23 (2012). https://doi.org/10.1167/12.6.23
- M. Pigireva, G. Afanasiev, Quail farming. (М. 1989) (in Russian).
- N.N. Trofimova, Yu.S. Petronyuk, T.S. Guryeva, et al., Neurosc.&Behavioral Physiol. 53, 148–153, (2023). https://doi.org/10.1007/s11055-023-01399-4
- Yu.S. Petronyuk, N.N. Trofimova, P.P. Zak et al., Russian Journal of Phys. Chem. B. 16(1), 97-102 (2022). https://doi.org/10.1134/S1990793122010249
- E. Khramtsova, S. Krasheninnikov, Yu. Petronyuk et al., Current issues in biological physics and chemistry, 5, 2, 331-334 (2020). ISSN 2499-9962.
- Yu. Petronyuk, E. Khramtsova, V. Levin et al., News of the RAS. Physical series. 84, 799-802 (2020).
- C. Passmann and H. Ermert, Proceedings of IEEE Ultrasonics Symposium, Cannes, France, 1994. V. 3. P. 1661–1664. https://doi.org/10.1109/ULTSYM.1994.401909
- K. Hill, G. Ter Haar, J. Bember, Ultrasound in medicine. Ed. O. Sapojnikov (M.: Physmatlit, 2008) (in Russian).
- G. Roskin, L. Levinson, Microscopic technique, 3-ed. (M: Sovetskaya nauka, 1957) (in Russian).
- F. Schaeffel, M. Bartmann, G. Hagel, E. Zrenner, Vis. Res. 35, 1247-64 (1995)
- V. Anisimov, Advances in Physiological Sciences. 39, 40-65 (2008) (in Russian).
- I. K. Larin, Russian Journal of Physical Chemistry B. 17, 244–250 (2023). https://doi.org/10.1134/s1990793123010074
- C. Boote, I.A. Sigal, R. Grytz et al., Prog.in ret.&eye res. 74, 100773 (2020). https://doi.org/10.1016/j.preteyeres.2019.100773
- C. Wildsoet, J.Wallman, et al., Vis. Res. 35, 1175-94 (1995). https://doi.org/10.1016/0042-6989(94)00233-c. PMID: 7610579
- O.A. Bogoslovskaya, I.P. Olkhovskaya, G.S Nechitailo., N.N Glushchenko, Russian Journal of Physical Chemistry B. 16(6), 1141–1146 (2022). https://doi.org/10.1134/S199079312206015X
- M.A. Yakovlevaa A.Sh. Radchenko, A.A. Kostyukov et al., Russian Journal of Physical Chemistry B. 16(1), 90-96 (2022). https://doi.org/10.1134/S199079312201033X
Supplementary files
 
				
			 
					 
						 
						 
						 
						 
				
 
  
  
  Email this article
			Email this article 
 Open Access
		                                Open Access Access granted
						Access granted




