Discrimination of rippled spectra in listeners with hearing loss at two experimental paradigms
- Authors: Nechaev D.I.1, Milekhina O.N.1, Tomozova M.S.1, Supin A.Y.1
-
Affiliations:
- Institute of Ecology and Evolution of The Russian Academy of Sciences
- Issue: Vol 37, No 3 (2023)
- Pages: 269-280
- Section: СЛУХОВАЯ И ВЕСТИБУЛЯРНАЯ СИСТЕМЫ
- URL: https://journal-vniispk.ru/0235-0092/article/view/138235
- DOI: https://doi.org/10.31857/S023500922303006X
- EDN: https://elibrary.ru/UGPERQ
- ID: 138235
Cite item
Full Text
Abstract
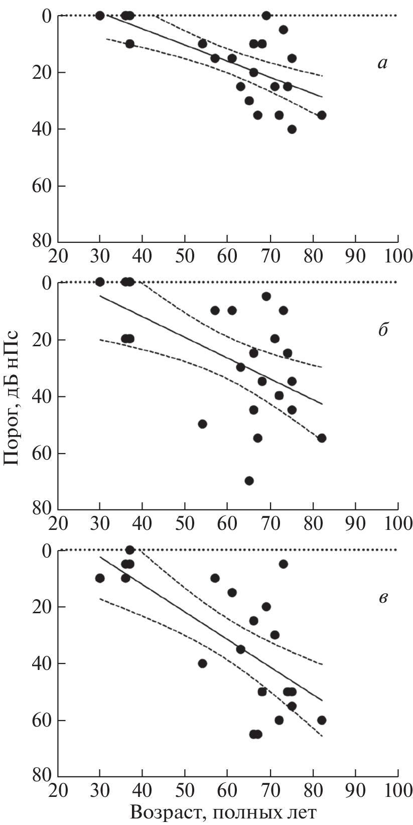
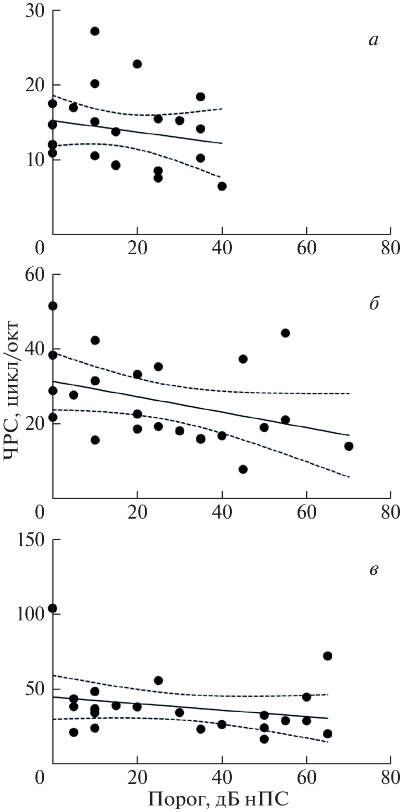
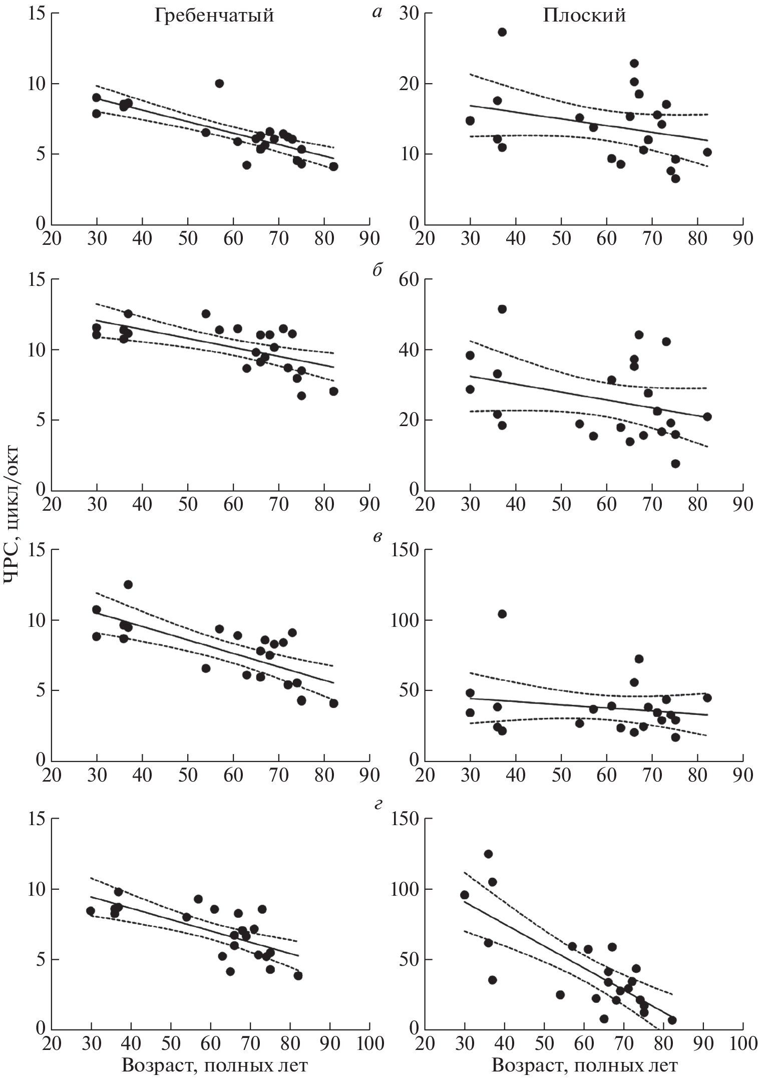
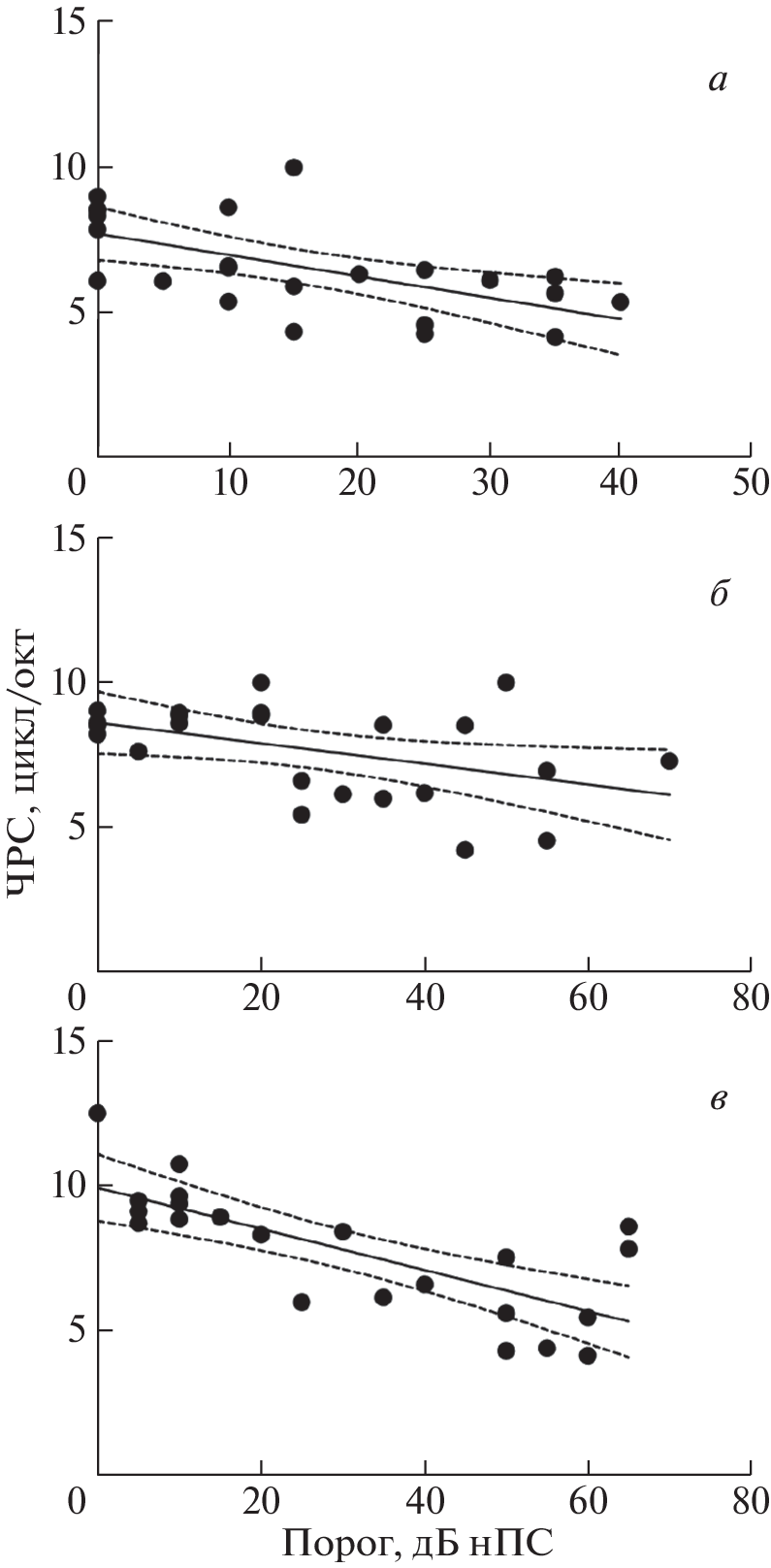
Frequency resolving power (FRP) of hearing was measured in listeners 30 to 82 years old as a maximal resolved ripple density (ripples/oct) of rippled-spectrum signals. The rippled-spectrum signal should be distinguished either from another rippled signal with different positions of ripples on the frequency scale or from a “flat”-spectrum signal with no spectral ripples. Signals had either 2-oct wide frequency band centered at 1, 2, or 4 kHz, or had a wide frequency band 0.125–8 kHz. Listeners older than 60 had substantially increased tonal thresholds (haring loss). If the listener should distinguish a rippled test signal from a rippled reference signal, FRP correlated with the tonal threshold: the higher threshold, the lower FRP. For all the signals, the trend of the dependence was from –0.04 to –0.07 ripples/oct·dB. It is suggested that in this case, the test and reference signals were discriminated by the spectral mechanism and depended on the interrelation between the ripple density and acuteness of the frequency-tuned filters. If the listener should distinguish the ripple test signal from a flat reference signal, the FRP dependence on tonal threshold was not statistically significant for 2-oct-wide signals on condition that the signal level was above threshold. Or the wide-band signal, the FRP dependence on tonal threshold was statistically significant with a trend of –1.23 ripples/oct·dB. It is suggested that in this case, the test and reference signal were discriminated by the temporal-processing mechanism and depended on the perceived frequency range.
About the authors
D. I. Nechaev
Institute of Ecology and Evolution of The Russian Academy of Sciences
Author for correspondence.
Email: dm.nechaev@yandex.ru
Russia, 119071, Moscow, Leninsky Prospect, 33
O. N. Milekhina
Institute of Ecology and Evolution of The Russian Academy of Sciences
Email: dm.nechaev@yandex.ru
Russia, 119071, Moscow, Leninsky Prospect, 33
M. S. Tomozova
Institute of Ecology and Evolution of The Russian Academy of Sciences
Email: dm.nechaev@yandex.ru
Russia, 119071, Moscow, Leninsky Prospect, 33
A. Ya. Supin
Institute of Ecology and Evolution of The Russian Academy of Sciences
Email: dm.nechaev@yandex.ru
Russia, 119071, Moscow, Leninsky Prospect, 33
References
- Anderson E.S., Oxenham A.J., Nelson P.B., Nelson D.A. Assessing the role of spectral and intensity cues in spectral ripple detection and discrimination on cochlear-implant users. J. Acoust. Soc. Am. 2012. V. 132. P. 3925–3934. https://doi.org/10.1121/1.4763999
- Bernstein J.G.W., Golbarg M.G., Shamma S., Gallun F.J., Theodoroff S.M., Leek M.R. Spectrotemporal modulation sensitivity as a predictor of speech intelligibility for hearing-impaired listeners. J. Am. Acad. Audiol. 2013. V. 24. P. 293–306. https://doi.org/10.3766/jaaa.24.4.5
- Bilsen F.A., Ritsma R.J. (1970) Some parameters influencing the perceptibility of pitch. J. Acoust. Soc. Am. 1970. V. 47. P. 469–475. https://doi.org/10.1121/1.1911916
- Chi T., Gao Y., Guyton M.C., Ru P., Shamma S. (1999). Spectro-temporal modulation transfer functions and speech intelligibility. J. Acoust. Soc. Am., 1999. V. 106. P. 2719–2732. https://doi.org/10.1121/1.428100
- Davies-Venn E., Nelson P., Souza P. Comparing auditory filter bandwidths, spectral ripple modulation detection, spectral ripple discrimination, and speech recognition: Normal and impaired hearing. J. Acoust. Soc. Am. 2015. V. 138. P. 492–503. https://doi.org/10.1121/1.4922700
- Festen J.M., Plomp R. Relations between auditory functions in impaired hearing. J. Acoust. Soc. Am. 1983. V. 73. P. 652–662. https://doi.org/10.1121/1.388957
- Glasberg B.R., Moore B.C.J. Auditory filter shapes in subjects with unilateral and bilateral cochlear impairments. J. Acoust. Soc. Am. 1986. V. 79. P. 1020–1033. https://doi.org/10.1121/1.393374
- He N., Mills J.H., Ahlstrom J.B., Dubno J.R. Age-related differences in the temporal modulation transfer function with pure-tone carriers. J. Acoust. Soc. Am. 2008. V. 124. P. 3841–3849. https://doi.org/10.1121/1.2998779
- Henry B.A., Turner C.W., Behrens A. Spectral peak resolution and speech recognition in quiet: Normal hearing, hearing impaired, and cochlear implant listeners. J. Acoust. Soc. Am. 2005. V. 118. P. 1111–1121. https://doi.org/10.1121/1.1944567
- Hopkins K., Moore B.C.J. (2011) The effects of age and cochlear hearing loss on temporal fine structure sensitivity, frequency selectivity, and speech reception in noise. J. Acoust. Soc. Am. 2011. V. 130. P. 334–349. https://doi.org/10.1121/1.3585848
- Horbach M., Verhey J.L., Hots J. On the pitch strength of bandpass noise in normal-hearing and hearing-impaired listeners. Trends in Hearing. 2018. V. 22. P. 1–14. https://doi.org/10.1177/2331216518787067
- Krumbholz K., Patterson R.D., Nobbe A. Asymmetry of masking between noise and iterated rippled noise: Evidence for time interval processing in the auditory system. J. Acoust. Soc. Am. 2001. V. 110. P. 2096–2107. https://doi.org/10.1121/1.1395583
- Leek M.R., Summers V. Auditory filter shapes of normal-hearing and hearing-impaired listeners in continuous broadband noise. J. Acoust. Soc. Am. 1993. V. 94. P. 3127–3137. https://doi.org/10.1121/1.407218
- Leek M.R., Summer V. Pitch strength and pitch dominance of iterated rippled noises in hearing-impaired listeners. J. Acoust. Soc. Am. 2001. V. 109. P. 2944–2954. https://doi.org/10.1121/1.1371761
- Levitt H. Transformed up-down methods in psychoacoustics. J. Acoust. Soc. Am. 1971. V. 49. P. 467–477. https://doi.org/10.1121/1.1912375
- Litvak L.M., Spahr A.J., Saoji A.A., Fridman G.Y. Relationship between the perception of spectral ripple and speech recognition in cochlear implant and vocoder listeners. J. Acoust. Soc. Am. 2007. V. 122. P. 982–991. https://doi.org/10.1121/1.2749413
- Mehraei G., Gallun F.J., Leek M.R., Bernstein J.G. Spectrotemporal modulation sensitivity for hearing-impaired listeners: Dependence on carrier center frequency and the relationship to speech intelligibility. J. Acoust. Soc. Am. 2014. V. 136. P. 301–316. https://doi.org/10.1121/1.4881918
- Milekhina O.N., Nechaev D.I., Supin A.Y. Rippled-spectrum resolution dependence on frequency: Estimates obtained by discrimination from rippled and nonrippled reference signals. J. Acoust. Soc. Am. 2019. V. 146. P. 2231–2239. https://doi.org/10.1121/1.5127835
- Moore B.C.J., Vickers D.A., Plack C.J., Oxenham A.J. Inter-relationship between different psychoacoustic measures assumed to be related to the cochlear active mechanism. J. Acoust. Soc. Am. 1999. V. 106. P. 2761–2778. https://doi.org/10.1121/1.428133
- Nambi P.M.A., Sangamanatha A.V., Vikas M.D., Bhat J.S., Shama K. Perception of spectral ripples and speech perception in noise by older adults. Ageing International. 2016. V. 41. https://doi.org/10.1007/s12126-016-9248-4
- Narne V.K., Sharma M., Van Dun B., Bansal S., Prabhu L., Moore B.C.J. Effects of spectral smearing on performance of the spectral ripple and spectro-temporal ripple test. J. Acoust. Soc. Am. 2016. V. 140. P. 4298–4306. https://doi.org/10.1121/1.4971419
- Nechaev D.I., Milekhina O.N., Supin A.Y. Estimates of ripple-density resolution based on the discrimination from rippled and nonrippled reference signals. Trends in Hearing. 2019. V. 23. https://doi.org/10.1177/2331216518824435
- Patterson R.D., Nimmo-Smith I., Weber D.L., Milory R. The deterioration of hearing with age: Frequency selectivity, the critical ratio, the audiogram, and speech threshold. J. Acoust. Soc. Am. 1982. V. 72. P. 1788–1803. https://doi.org/10.1121/1.388652
- Patterson R.D., Handel S., Yost W.A., Datta A.J. The relative strength of the tone and noise components in iterated rippled noise. J. Acoust. Soc. Am. 1996. V. 100. P. 3286–3294. https://doi.org/10.1121/1.417212
- Plomp R. Auditory handicap of hearing impairment and the limited benefit of hearing aids. J. Acoust. Soc. Am. 1978. V. 63. P. 533–549. https://doi.org/10.1121/1.381753
- Souza P.E., Boike K.T., Witherell K., Tremblay K.L. Prediction of speech recognition from audibility in older listeners with hearing loss: Effects of age, amplification, and background noise. J. Am. Acad. Audiol. 2007. V. 18. P. 54–65. https://doi.org/10.3766/jaaa.18.1.5
- Stein A., Ewert S.D., Wiegrebe L. Perceptual interaction between carrier periodicity and amplitude modulation in broadband stimuli: A comparison of the autocorrelation and modulation-filterbank model. J. Acoust. Soc. Am. 2005. V. 118. P. 2470–2481. https://doi.org/10.1121/1.2011427
- Supin A.Ya., Popov V.V., Milekhina O.N., Tarakanov M.B. Ripple depth and density resolution of rippled noise. J. Acoust. Soc. Am. 1999. V. 106. P. 2800–2804. https://doi.org/10.1121/1.428105
- Supin A.Ya., Milekhina O.N., Nechaev D., Tomozova M. Ripple density resolution dependence on ripple width. PLoS ONE. 2022. V. 17. e0270296. https://doi.org/10.1371/journal.pone.0270296
- Yost W.A. The dominance region and ripple noise pitch: A test the peripheral weighting model. J. Acoust. Soc. Am. 1982. V. 72. P. 416–425. https://doi.org/10.1121/1.388094
- Yost W.A. Pitch strength of iterated rippled noise. J. Acoust. Soc. Am. 1996. V. 100. P. 3329–3335. https://doi.org/10.1121/1.416973
- Yost W.A., Patterson R.D., Sheft S. (1996). A time domain description for the pitch strength of iterated rippled noise. J. Acoust. Soc. Am. 1996. V. 99. P. 1066–1078. https://doi.org/10.1121/1.414593
- Yost W.A., Patterson R., Sheft S. The role of the envelope in processing iteration rippled noise. J. Acoust. Soc. Am. 1998. V. 104. P. 2349–2361. https://doi.org/10.1121/1.423746
- Zwicker E. Masking and psychophysical excitation as consequences of the ear’s frequency analysis. Frequency analysis and periodicity detection in hearing. Eds. Plomp R., Smoorenburg G.F. Leiden, the Netherlands: Sijthoff, 1970. P. 376–394.
Supplementary files









