CsVO3–Cs2MoO4–Cs2O TRINARY OXIDE SYSTEM
- Authors: Gasanaliev A.M.1, Israilov M.A.1, Gamataeva B.Y.1
-
Affiliations:
- Dagestan State Pedagogical University, Research Institute of General and Inorganic Chemistry
- Issue: No 2 (2023)
- Pages: 182-189
- Section: Articles
- URL: https://journal-vniispk.ru/0235-0106/article/view/138588
- DOI: https://doi.org/10.31857/S0235010623020056
- EDN: https://elibrary.ru/MEFVAF
- ID: 138588
Cite item
Full Text
Abstract
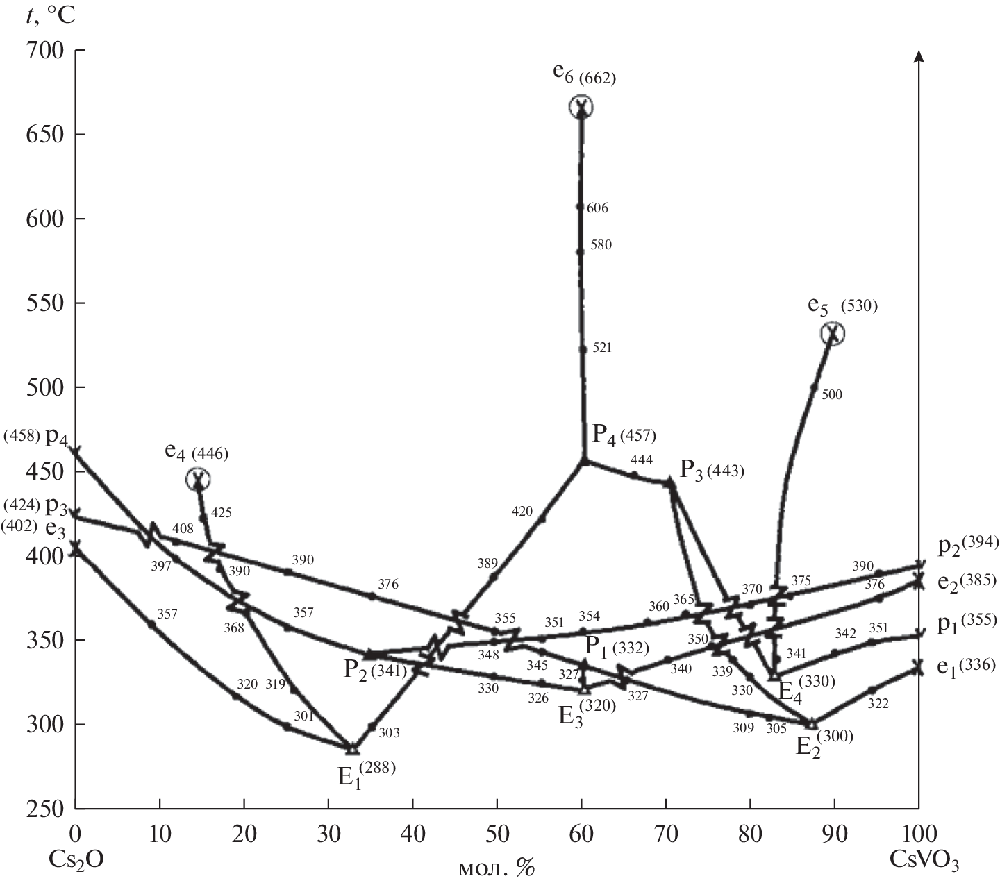
The aim of this paper is a physicochemical analysis of phase formation processes in the trinary oxide system CsVO3–Cs2MoO4–Cs2O. The given system was studied using a complex of methods of physico-chemical analysis, in particular, differential thermal analysis (DTA), visual polythermal analysis (VPTA), X-ray phase analysis (XRPA) and synchronous thermal analysis STA 409 PC Luxx by Netsch company. As a result, the nature of the phase reactions of the CsVO3–Cs2MoO4–Cs2O interaction in the melts of the system was revealed, the results of seventeen internal sections were studied on the basis of which the melting diagram of the system was constructed, the fields of crystallizing phases were outlined. It is established that in the triple oxide system, according to the thermochemical and structural analysis of topology and phase formation, an unlimited consistency of high-temperature modifications is realized.
Keywords
About the authors
A. M. Gasanaliev
Dagestan State Pedagogical University,Research Institute of General and Inorganic Chemistry
Author for correspondence.
Email: abdulla.gasanaliev@mail.ru
Russia, Makhachkala
M. A. Israilov
Dagestan State Pedagogical University,Research Institute of General and Inorganic Chemistry
Email: abdulla.gasanaliev@mail.ru
Russia, Makhachkala
B. Yu. Gamataeva
Dagestan State Pedagogical University,Research Institute of General and Inorganic Chemistry
Email: abdulla.gasanaliev@mail.ru
Russia, Makhachkala
References
- Berg A.G. Vvedeniye v termografiyu [Introduction to thermography]. M.: Nauka, 1969. [In Russian].
- Bergman A.G. Politermicheskiy metod izucheniya slozhnykh sistem [Polythermal method for studying complex systems] // Trudy IV Men-deleyevskogo s"yezda po teoreticheskoy i prikladnoy khimii. 1932. № 1. P. 631–637. [In Russian].
- Trunov V.K., Kovba A.M. Rentgenofazovyy analiz [X-ray phase analysis]. M.: MGU, 1976. [In Russian].
- Krayeva A.G. Opredeleniye kompleksov triangulyatsii n-mernykh poliedrov. Pri-kladnaya mnogomernaya geometriya [Definition of triangulation complexes of n-dimensional polyhedra. Applied multidimensional geometry] // Sb. nauch. trudov MAI. 1969. № 187. P. 76–82. [In Russian].
- Trunin A.S. Algoritm apriornogo opredeleniya stabil’nogo sekushchego kompleksa vo vzaimnykh sistemakh s kompleksoobrazovaniyem [Algorithm for a priori determination of a stable secant complex in reciprocal systems with complex formation] // Zhurnal prikladnoy khimii. 1983. 56. № 4. P. 965. [In Russian].
- Rasulov A.I., Mamedova A.K., Gasanaliyev A.M., Gamatayeva B.Yu. Apriornoye pro-gnozirovaniye i postroyeniye dreva faz chetyrekhkomponentnoy sistemy LiNO3–KNO3–NaCl–Sr(NO3)2 [A priori prediction and construction of the phase tree of the four-component system LiNO3–KNO3–NaCl–Sr(NO3)2] // Sintez znaniy v yestestvennykh naukakh. Rudnik budushchego: proyekty, tekhnologii, oborudovaniye. Materialy mezhdunarodnoy nauchnoy konferentsii. Perm’, 2011. 2. [In Russian].
- Scrosati B. Acient Advances in lithium ion battery materials // Electronics. 2000. P. 2461–2466.
- Gasanaliyev A.M., Gamatayeva B.Yu., Gasanaliyeva P.N., Gamatayev T.SH. Issledovaniye tipologii mnogokomponentnykh sistem metodami kombinatornoy geometrii [Study of the typology of multicomponent systems using combinatorial geometry] // American Scientific J. 2020. № 36. Р. 33–39. [In Russian].
- Gasanaliev A., Gamataeva B., Gasanalieva P., Gamataev T., Maglaev P. Differentiation of reciprocal salt systems with complexing of eight salts // Scientific discussion. 2020. № 48.
- Gasanaliev A.M., Gamataeva B.Yu., Gasanalieva P.N., Gamataev T.Sh., Amirov A.M. Ternary system of sodium, caesium and calcium sulphates // American Scientific Journal. 2020. № 37. Р. 54–60.
- Gasanaliev A., Akhmedova P. Differentiation of multicomponent systems [Differentiation of multicomponent systems]. Moscow, 2011. [In Russian].
- Mamedova A.K. Fazovyy kompleks i fiziko-khimicheskiye svoystva sistemy L–NO3–NaNO3–NaCl–KNO3–Sr(NO3)2 [Phase complex and physicochemical properties of the L–NO3–NaNO3–NaCl–KNO3–Sr(NO3)2 system] Diss. … kand. khim. nauk. Makhachkala: izd-vo DGPU, 2012. [In Russian].
- Gasanaliyev A.M., Gasanaliyeva B.Yu. Teploakkumiliruyushchiye svoystva rasplavov [Heat storage properties of melts]. Makhachkala: IRTE, 2000. [In Russian].
- Vȁyrynen A., Satminen J. Lithium ion batten producti // Thermodynamics. 2012. 46. P. 80–85.
- Korovin N.V., Skundin A.M. Khimicheskiye istochniki toka [Chemical current sources]. Spravochnik. M.: MEI, 2003. [In Russian].
- Gasanaliyev A.M., Gamatayeva B.Yu. Teploakkumuliruyushchiye svoystva rasplavov [Heat storage properties of melts] // Uspekhi khimii. 2000. 69. № 2. P. 192–200. [In Russian].
- Gasanaliyeva P.N. Fazovyy kompleks i svoystva sistemy LiNO3–NaNO3–NaCl–KNO3–Sr(NO3)2 [Phase complex and properties of the LiNO3–NaNO3–NaCl–KNO3–Sr(NO3)2 system]. Avtoref. diss. … kand. khim. nauk. Makhachkala, DGPU, 2009. [In Russian].
Supplementary files





