Скорость коррозии стали ЭП-823 в расплавах хлоридов щелочных металлов
- Авторы: Голосов О.А.1, Хвостов С.С.1, Старицын С.В.1, Барыбин А.В.1, Пастухов В.И.1, Глушкова Н.В.1, Зайков Ю.П.2, Никитина Е.В.2, Казаковцева Н.А.2
-
Учреждения:
- АО “Институт реакторных материалов – ИРМ”
- Институт высокотемпературной электрохимии УрО РАН
- Выпуск: № 2 (2023)
- Страницы: 203-218
- Раздел: Статьи
- URL: https://journal-vniispk.ru/0235-0106/article/view/138593
- DOI: https://doi.org/10.31857/S0235010623020068
- EDN: https://elibrary.ru/MHTYUU
- ID: 138593
Цитировать
Полный текст
Аннотация
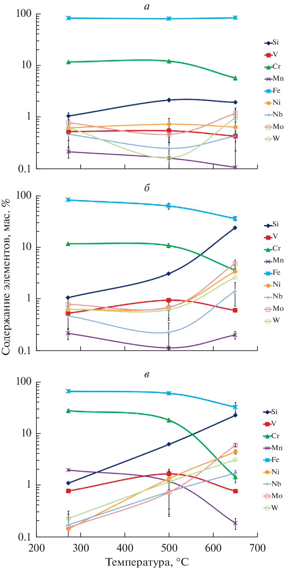
В настоящее время разрабатываются технологии регенерации смешанного нитридного уран-плутониевого отработавшего ядерного топлива (СНУП ОЯТ) для РУ БРЕСТ-ОД-300, в том числе с использованием пирохимического способа мягкого хлорирования в расплавах хлоридов щелочных металлов для отделения топлива от оболочек ТВЭЛов, изготовленных из обладающей высокой радиационной стойкостью ферритно-мартенситной стали ЭП-823. В работе представлены результаты статических коррозионных испытаний стали ЭП-823 в расплавах солей KCl–LiCl и KCl–LiCl–nPbCl2 при 500 и 650°С в течение 24 ч. Метод нейтронно-активационного анализа применен для исследования коррозионного поведения стали ЭП-823 в неоксидированном и термически оксидированном на воздухе состоянии до толщины оксидной пленки ~12.5 мкм. Образцы стали ЭП-823 были предварительно облучены в исследовательском ядерном реакторе ИВВ-2М до набора флюенса нейтронов порядка ~2.9 · 1017 н/см2. Показано, что коррозия стали и переход продуктов коррозии в расплавы солей имеют избирательный характер. Повышение температуры испытаний и введение PbCl2 в расплав солей KCl–LiCl в количестве одного мольного процента приводит к увеличению скорости коррозии и перехода продуктов коррозии стали в расплав почти на два порядка. Выявлено, что наличие предварительно нанесенной оксидной пленки на поверхности стали ЭП-823 не является препятствующим фактором в коррозионном взаимодействии стали с расплавами KCl–LiCl–nPbCl2. Получены выражения для расчета значений средних скоростей коррозии стали ЭП-823 и компонентов, входящих в ее состав, в расплавах солей 2KCl–3LiCl и 2KCl–3LiCl–nPbCl2. Значения констант Ki,o, KЭП,o, Qi и QЭП, приведенные в табл. 6, позволяют производить расчетные оценки значений средних скоростей коррозии стали ЭП-823 и ее компонентов (Fe, Cr, Mn) в расплавах солей 2KCl–3LiCl и 2KCl–3LiCl–nPbCl2 при различных температурах.
Ключевые слова
Об авторах
О. А. Голосов
АО “Институт реакторных материалов – ИРМ”
Email: khvostov_ss@irmatom.ru
Россия, Заречный
С. С. Хвостов
АО “Институт реакторных материалов – ИРМ”
Автор, ответственный за переписку.
Email: khvostov_ss@irmatom.ru
Россия, Заречный
С. В. Старицын
АО “Институт реакторных материалов – ИРМ”
Email: khvostov_ss@irmatom.ru
Россия, Заречный
А. В. Барыбин
АО “Институт реакторных материалов – ИРМ”
Email: khvostov_ss@irmatom.ru
Россия, Заречный
В. И. Пастухов
АО “Институт реакторных материалов – ИРМ”
Email: khvostov_ss@irmatom.ru
Россия, Заречный
Н. В. Глушкова
АО “Институт реакторных материалов – ИРМ”
Email: khvostov_ss@irmatom.ru
Россия, Заречный
Ю. П. Зайков
Институт высокотемпературной электрохимии УрО РАН
Email: khvostov_ss@irmatom.ru
Россия, Екатеринбург
Е. В. Никитина
Институт высокотемпературной электрохимии УрО РАН
Email: khvostov_ss@irmatom.ru
Россия, Екатеринбург
Н. А. Казаковцева
Институт высокотемпературной электрохимии УрО РАН
Email: khvostov_ss@irmatom.ru
Россия, Екатеринбург
Список литературы
- Троянов В.М., Грачев А.Ф., Забудько Л.М., Скупов М.В. Перспективы использования нитридного топлива для реакторов на быстрых нейтронах с замкнутым топливным циклом // Инновационные проекты и технологии ядерной энергетики: сб. докладов III международной научно-технической конференции. 2014. 1. С. 61–70.
- Porollo S.I., Dvoriashin A.M., Konobeev Yu.V., Garner F.A. Microstructure and mechanical properties of ferritic/martensitic steel EP-823 after neutron irradiation to high doses in BOR-60 // J. Nucl. Mater. 2004. 329–333. P. 314–318.
- Горынин И.В., Карзов Г.П., Марков В.Г. и др. Конструкционные материалы для атомных реакторов с жидкометаллическими теплоносителями на основе свинца. Радиационное материаловедение и конструкционная прочность реакторных материалов. СПб.: Изд-во ЦНИИКМ “Прометей”, 2002.
- Klueh R.L., Kai J.J., Alexander D.J. Microstructure-mechanical properties correlation of irradiated conventional and reduced-activation martensitic steels // J. Nucl. Mater. 1995. 225. P. 175–186.
- Kai J.J., Klueh R.L. Microstructural analysis of neutron-irradiated martensitic steels // J. Nucl. Mater. 1996. 230. P. 116–123.
- Schaeublin R., Gelles D., Victoria M. Microstructure of irradiated ferritic/martensitic steels in relation to mechanical properties // J. Nucl. Mater. 2002. 307–311. P. 197–202.
- Mathon M.H., Carlan Y., Georoy G., Averty X., Alamo A., Novion C.H. A SANS investigation of the irradiation-enhanced α–α' phases separation in 7–12 Cr martensitic steels // J. Nucl. Mater. 2003. 312. P. 236–248.
- Porollo S.I., Dvoriashin A.M., Konobeev Yu.V., Garner F.A. Microstructure and mechanical properties of ferritic/martensitic steel EP-823 after neutron irradiation to high doses in BOR-60 // J. Nucl. Mater. 2004. 329–333. P. 314–318.
- Dvoriashin A.M., Porollo S.I., Konobeev Yu.V., Garner F.A. Influence of high dose neutron irradiation on microstructure of EP-450 ferritic–martensitic steel irradiated in three Russian fast reactors // J. Nucl. Mater. 2004. 329–333. P. 319–323.
- Konobeev Yu.V., Dvoriashin A.M., Porollo S.I., Garner F.A. Swelling and microstructure of pure Fe and Fe–Cr alloys after neutron irradiation to ~26 dpa at 400°C // J. of Nucl. Mater. 2006. 355. P. 124–130.
- Dvoriashin A.M., Porollo S.I., Konobeev Yu.V., Budylkin N.I., Mironova E.G., Ioltukhovskiy A.G., Leontyeva-Smirnova M.V., Garner F.A. Mechanical properties and microstructure of three Russian ferritic/martensitic steels irradiated in BN-350 reactor to 50 dpa at 490°C // J. Nucl. Mater. 2007. 367–370. P. 92–96.
- Porollo S.I., Dvoriashin A.M., Vorobyev A.N., Konobeev Yu.V. The microstructure and tensile properties of Fe–Cr alloys after neutron irradiation at 400°C to 5.5–7.1 dpa. // J. Nucl. Mater. 1998. 256. P. 247–253.
- Schäublin R., Spätig P., Victoria M. Chemical segregation behavior of the low activation ferritic/martensitic steel F82H // J. Nucl. Mater. 1998. 258–263. P. 1350–1355.
- Голосов О.А., Николкин В.Н., Бахтина Е.А. Модель коррозии сталей в свинце // Инновационные проекты и технологии ядерной энергетики: сб. докладов IV международной научно-технической конференции. 2016. 1. С. 350–362.
- Zhang J. A review of steel corrosion by liquid lead and lead–bismuth // Corrosion Science. 2009. 51. P. 1207–1227.
- Бланков Е.Б., Бланкова Т.Н., Русяев В.Г., Якубсон К.И. Нейтронный активационный анализ в геологии и геофизике. М.: Наука, 1972.
- Гума В.И., Демидов A.M., Иванов Б.Л., Миллер В.В. Нейтронно-радиационный анализ. М.: Энергоатомиздат, 1984.
Дополнительные файлы







