THE INFLUENCE OF COBALT ON DENSITY AND ELECTRICAL RESISTIVITY OF Al–Ni–Co–Ce ALLOYS IN CRYSTALLINE AND LIQUID STATES
- Authors: Rusanov B.A.1, Sidorov V.E.1,2, Sterkhov E.V.3, Petrova S.A.2,3, Rusanova .I.3, Sabirzyanov A.A.4, Sidorova E.E.5
-
Affiliations:
- Ural State Pedagogical University
- Ural Federal University
- Institute of Metallurgy UB RAS
- Ural State University of Railway Transport
- Plekhanov Russian University of Economics
- Issue: No 4 (2023)
- Pages: 426-436
- Section: Articles
- URL: https://journal-vniispk.ru/0235-0106/article/view/138743
- DOI: https://doi.org/10.31857/S0235010623040072
- EDN: https://elibrary.ru/XETTQJ
- ID: 138743
Cite item
Full Text
Abstract
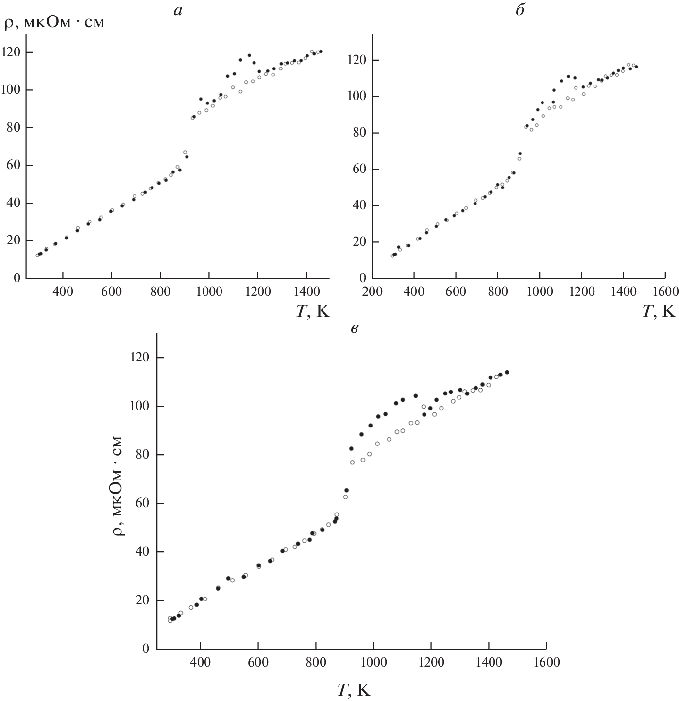
In this work were studied density (by gamma-absorption method) and electrical resistivity (by contactless method in rotating magnetic field) of Al–Ni–Co–Ce glass-forming alloys with different ratios of transition metals. It was found the existence of a wide two-phase zone was established and jump-like changes in properties at solidus and liquidus temperatures. Increasing of cobalt content from 2 to 4 at % leads to 2% decrease of density and 3% increase of electrical resistivity in crystalline and liquid states. Temperature coefficients of change in properties were calculated. Density hysteresis was detected, which occurs when melts are overheated above 1350 K. This fact is related to the disintegration of large-scale microheterogeneities that exist in melts during heating. It is shown that these results can be used to optimize the process of obtaining rapidly hardened alloys.
Keywords
About the authors
B. A. Rusanov
Ural State Pedagogical University
Author for correspondence.
Email: rusanov@uspu.ru
Russia, Yekaterinburg
V. E. Sidorov
Ural State Pedagogical University; Ural Federal University
Email: rusanov@uspu.ru
Russia, Yekaterinburg; Russia, Yekaterinburg
E. V. Sterkhov
Institute of Metallurgy UB RAS
Email: rusanov@uspu.ru
Russia, Yekaterinburg
S. A. Petrova
Ural Federal University; Institute of Metallurgy UB RAS
Email: rusanov@uspu.ru
Russia, Yekaterinburg; Russia, Yekaterinburg
A. I. Rusanova
Institute of Metallurgy UB RAS
Email: rusanov@uspu.ru
Russia, Yekaterinburg
A. A. Sabirzyanov
Ural State University of Railway Transport
Email: rusanov@uspu.ru
Russia, Yekaterinburg
E. E. Sidorova
Plekhanov Russian University of Economics
Email: rusanov@uspu.ru
Russia, Moscow
References
- Inoue A., Ohtera K., Tsai A.P., Masumoto T. Aluminum-based amorphous alloys with tensile strength above 980 MPa (100 kg/mm2) // Jpn. J. Appl. Phys. 1988. 27. Р. L479–L482.
- Jones H., Suryanarayana C. Rapid quenching from the melt // J. Mater. Sci. 1973. 72. № 8. P. 705–753.
- Zhang L.M., Zhang S.D., Ma A.L., Umoh A.J., Hu H.X., Zheng Y.G., Yang B.J., Wang J.Q. Influence of cerium content on the corrosion behavior of Al–Co–Ce amorphous alloys in 0.6 M NaCl solution // J. Mat. Sci. & Tech. 2019. 35. № 7. P. 1378–1387.
- Tailleart N.R., Huang R., Aburada T., Horton D.J., Scully J.R. Effect of thermally induced relaxation on passivity and corrosion of an amorphous Al–Co–Ce alloy // Corr. Sci. 2012. 59. P.238–248.
- Karfidov E.A., Nikitina Ye.V., Rusanov B.A., Sidorov V.Ye. Vliyaniye kobal’ta na korrozionnuyu stoykost’ amorfnykh splavov Al–Ni–Co–R [Influence of cobalt on the corrosion resistance of Al–Ni–Co–R amorphous alloys] // Rasplavy. 2022. 5. Р. 477–484. [In Russian].
- Gloriant T., Greer A.L. // Nanostruct. Mat. 1998. 10. P. 389–396. http://dx.doi.org/10.1016/S0965-9773(98)00079-8
- Li C.L., Wang P., Sun S.Q., Voisey K.T., McCartney D.G. // App. Surf. Sci. 2016. 384. P. 116–124. https://doi.org/10.1016/j.apsusc.2016.04.188
- Zhang Y., Warren P.J., Cerezo A. // Mater. Sci. Eng. A. 2002. 327. P. 109–115. http://dx.doi.org/10.1016/S0921-5093(01)01888-3
- Abrosimova G., Aronin A., Budchenko A. // Mat. Lett. 2015. 139. P. 194–196. https://doi.org/10.1016/j.matlet.2014.10.076
- Radiguet B., Blavette D., Wanderka N., Banhart J., Sahoo K.L. // Appl. Phys. Lett. 2008. 92. P. 103126. https://doi.org/10.1063/1.2897303
- Louzguine-Luzgin D.V., Inoue A. // J. Alloys and Comp. 2005. 399. P. 78–85. https://doi.org/10.1016/j.jallcom.2005.02.018
- Bazlov A.I., Tabachkova N.Y., Zolotorevsky V.S., Louzguine-Luzgin D.V. Unusual crystallization of Al85Y8Ni5Co2 metallic glass observed in situ in TEM at different heating rates // Intermet. 2018. 94. P. 192–199.
- Jin L., Zhang L., Liu K., Che Z., Li K., Zhang M., Zhang B. Preparation of Al-based amorphous coatings and their properties // J. Rare Earths. 2021. 39. № 3. P. 340–347.
- Triveсo Rios C., Suriсach S., Barу M.D., Bolfarini C., Botta W.J., Kiminami C.S. Glass forming ability of the Al–Ce–Ni system // J. Non-Cryst. Sol. 2008. 354. P. 4874–4877.
- Abrosimova G.Ye., Aronin A.S., Shirnina D.P. Izmeneniye struktury metallicheskogo stekla Al88Ni2Y10 pri termoobrabotke i deformatsii [Changes in the structure of Al88Ni2Y10 metallic glass during heat treatment and deformation] // Fizika i tekhnika vysokikh davleniy. 2013. 23. № 1. P. 90–98. [In Russian].
- Suryanarayana C., Inoue A. Bulk metallic glasses. CRC Press. 2017.
- Rusanov B.A., Sidorov V.Ye, Son L.D. // Izv. vuzov. Fizika. 2022. 65. № 6. P. 112–118. [In Russian]. https://doi.org/10.17223/00213411/65/6/112
- Bruker AXS. In DIFFRAC. EVA V5.1. Bruker AXS GmbH, Karlsruhe, Germany. 2019.
- Gates-Rector S., Blanton T. // Powder Diffr. 2019. 34. № 4. P. 352–360. https://doi.org/10.1017/S0885715619000812
- Rietveld H.M. // J. Appl. Cryst. 1969. 2. P. 65–71. https://doi.org/10.1107/S0021889869006558
- Coelho A.A. // J. Appl. Cryst. 2018. 51. P. 210–218. https://doi.org/10.1107/S1600576718000183
- Rusanov B.A., Baglasova E.S., Popel P.S., Sidorov V.E., Sabirzyanov A.A. // High Temp. 2018. 56. P. 439–443. https://doi.org/10.1134/S0018151X18020190
- Regel’ A.R., Glazov V.M. Fizicheskiye svoystva elektronnykh rasplavov [Physical properties of electronic melts]. M.: Nauka. 1980. [In Russian].
- Rusanov B.A., Sidorov V.E., Moroz A.I., Svec Sr. P., Janickovic D. // Tech. Phys. Lett. 2021. 47. P. 770–772. https://doi.org/10.1134/S1063785021080101
Supplementary files







