Коррозионно-электрохимическое поведение металломатричных композитов Al-нано-Al2O3 в водном растворе 0.5М NaCl
- Авторы: Квашничев А.Г.1, Елшина Л.А.1, Пряхина В.И.2
-
Учреждения:
- Институт высокотемпературной электрохимии УрО РАН
- Уральский федеральный университет им. Б.Н. Ельцина
- Выпуск: № 2 (2024)
- Страницы: 166-178
- Раздел: Статьи
- URL: https://journal-vniispk.ru/0235-0106/article/view/259463
- DOI: https://doi.org/10.31857/S0235010624020029
- ID: 259463
Цитировать
Полный текст
Аннотация
Исследовано коррозионно-электрохимическое поведение нанокомпозитов системы «алюминий-нанооксид алюминия», образованных при прямом химическом взаимодействии расплавленного алюминия с наноксидом титана в среде расплавленных хлоридов щелочных металлов при температурах выше 700оС. Равномерно распределенные по объему металлической матрицы кристаллы нанооксида алюминия в модификации α-Al₂O₃ были зафиксированы методами электронной микроскопии и рентгеновской дифракции. Скорость коррозии в 0.5М NaCl, определенная гравиметрическим методом, уменьшается в 3–4 раза при переходе от исходного алюминия к композитам «Al-Al₂O₃», при этом характер коррозии меняется с питтинговой на равномерную и класс коррозионной стойкости повышается с 3 (стойкий) до 2 (очень стойкий). Это связано с образованием на поверхности композита более плотного однофазного гидроксидного покрытия по сравнению с двухфазным рыхлым покрытием на алюминии. Потенциал коррозии не зависит от введения наночастиц оксида алюминия в алюминиевую матрицу.
Полный текст
ВВЕДЕНИЕ
Металлическим материалам, в том числе и на основе алюминиевых сплавов, можно придавать новые функциональные характеристики путем введения в них микро- и наноразмерных порошков оксидов, нитридов, карбидов металлов и неметаллов, а также новых углеродных материалов [1, 2]. Такие композиционные материалы отличаются по своим характеристикам от обычных алюминиевых сплавов большей надежностью при критических нагрузках и длительностью сроков эксплуатации. В композитах с металлической матрицей сочетаются достоинства конструкционных металлических материалов с достоинствами наполнителя. Поэтому для металломатричных композиционных материалов характерны высокие значения прочностных характеристик, модулей упругости, вязкости разрушения, они сохраняют стабильность своих характеристик в широких температурных пределах, обладают высокой электро- и теплопроводностью, а также малой чувствительностью к поверхностным дефектам [3–5].
С термодинамической точки зрения алюминий – достаточно коррозионно-активный материал. Его стандартный электродный потенциал составляет –1.663 В относительно нормального водородного электрода [6].
Однако такой высокий отрицательный потенциал приводит к образованию на воздухе защитной оксидной пленки на поверхности металла, препятствующей дальнейшему разрушению металла. Ее толщина обычно варьируется от 5 до 50 нм. Однако представление о важной роли оксидной пленки хоть и отражает специфичность коррозионного поведения алюминия, но не объясняет его поведение полностью в различных средах. Во-первых, следует учитывать сложность процесса пассивации алюминия, а не только конечное образование защитной пленки. Во-вторых, коррозионную стойкость алюминия и его сплавов можно оценить скоростью равномерной коррозии (т. е. по потерям массы) лишь в незначительной степени, и только в тех случаях, в которых превалирует процесс общего растворения. Такими процессами можно назвать коррозию в агрессивных кислых или щелочных средах, процессы, протекающие при высокой скорости движения раствора или же процессы, протекающие при высоких температурах в водных средах. В остальных же случаях коррозионная стойкость алюминия определяется процессами локальной коррозии, развивающейся по границам зерен, вдоль раздела металлических фаз в алюминиевых сплавах, на деформированных участках и т. д. [7, 8].
В нейтральных средах пассивирующая оксидная пленка тормозит не только сопряженную анодную реакцию растворения металла, но и катодную реакцию восстановления кислорода [9]. Наличие остаточного тока на чистом алюминии обусловлено наличием дефектов в оксидной пленке. Для алюминия это обуславливает существенное изменение коррозионного поведения по сравнению с пассивными металлами, например, железо или никель.
В нейтральных и щелочных растворах реакция растворения алюминия описывается ур. (1):
Al + 4OH– → Al (OH)4–+ 3e (1)
Эта реакция протекает через промежуточную стадию растворения твердого оксида или гидроксида по ур. (2):
Al (OH)3+ OH–, → Al (OH)4–, (2)
Эта реакция является лимитирующей стадией анодного процесса растворения металла. Скорость растворения металла определяется диффузией ионов Al (OH)4–, и OH–, и, в частности, скоростью доставки гидроксо-ионов к поверхности электрода.
Целью данного исследования было изучение коррозионного поведения образцов композита системы Al-Al2O3 в нейтральном растворе 0.5М NaCl.
ЭКСПЕРИМЕНТАЛЬНАЯ ЧАСТЬ
Получение металлических композиционных материалов системы Al-Al2O3 проводили методом одностадийной реакции расплавленного алюминия с порошком диоксида титана в расплаве галогенидов щелочных металлов в печи вертикального нагрева в алундовом тигле по разработанному нами методу [10, 11]. В качестве исходного алюминия использовали высокочистый алюминий марки А95 чистотой 99.0 мас.%. Основной примесью технического алюминия было железо, около 1 мас.%. Размеры алюминиевых образцов были подобраны соответственно диаметру алундового тигля. Основу солевого флюса составляли легкоплавкие смеси расплавленных хлоридов натрия и калия. В составе солевого флюса использовали также небольшие добавки (до 2 мас.%) фторидов натрия, калия, аммония или алюминия. В качестве добавки использовали нанопорошки диоксида титана, полученные методом гальваностатической поляризации титанового электрода в расплаве CsCl-NaCl-5 мас.% NaNO3 [12], в концентрациях от 0.5 до 1.0 мас.%. Соли тщательно измельчали и перемешивали с оксидной навеской, после чего насыпали их на дно тигля, сверху помещали алюминиевый образец, на который сверху насыпали солевой флюс, не содержащий добавок оксида. Температурный интервал, в котором проводили исследования, был определен, как 700–750оС. Время взаимодействия алюминия после расплавления алюминия и солевой смеси составляло от 3 до 5 ч. Полученный металлический материал выливали вместе с солью в холодный тигель с контролируемой скоростью охлаждения. После застывания соль растворяли, металлический королек взвешивали, определяли его плотность и изучали его химический состав и структуру.
Для определения массовой доли частиц оксида алюминия в полученном композиционном материале был проведен волюмометрический анализ при растворении образца композита в 30% соляной кислоте с последующим пересчетом выделившегося водорода на массу чистого алюминия в образце по реакции (3):
2Al + 6HCl → 2AlCl3 + 3H2 (3)
Из образцов исходного алюминия и алюминиевых композитов с различным содержанием оксида алюминия вырезали бруски размером 0.5×0.5×1.5 см, после чего заливали их в эпоксидную смолу и в качестве рабочего электрода использовали только торец со средней площадью электрода 0.3 см2. Исследования электрохимической коррозии проводили в стандартной трехэлектродной ячейке ЯСЭ-2 с хлорсеребряным электродом сравнения и платиновым вспомогательным электродом, рабочим электродом в которой служили исходный алюминий или образцы композиционного материала системы Al-Al2O3 с различным содержанием оксида алюминия.
Плотности коррозионных токов были найдены путем экстраполяции прямолинейных участков поляризационных кривых, построенных в координатах Тафеля. Абсолютные погрешности измерений плотностей токов и потенциалов были рассчитаны с помощью дисперсии нескольких параллельных измерений для одного и того же образца.
Коррозию алюминиевых металломатричных композитов с различным содержанием оксида алюминия в них в растворе 0.5 М NaCl определяли гравиметрическим методами в ходе длительных 12 недельных коррозионных испытаний при комнатной температуре. Для проведения коррозионных испытаний из объема металлического композита с разным содержанием оксида алюминия вырезали по три образца, которые затем полировали на шлифовальных бумагах. Затем поверхности образцов обезжиривали этиловым спиртом и высушивали. Образцы Al-Al2O3 композитов со средним размером 1.0×1.5×0.3 см свободно подвешивали в открытом стакане. Взвешивания проводили 1 раз в неделю: образцы отмывали дистиллированной водой от соли и продуктов коррозии, высушивали, взвешивали, обезжиривали и снова помещали в раствор, объем раствора хлорида натрия составлял 100 мл, его корректировали в ходе эксперимента вследствие испарения из открытого стакана.
Все измерения проводились при комнатной температуре в условиях естественной аэрации.
Скорость гравиметрической коррозии исходного алюминия и алюминиевых композитов определяли по формуле:
(4)
где ∆m = m1 – m2 – разность между начальной и конечной массой, г; S – площадь образцов, см2; τ – продолжительность выдержки, ч.
РЕЗУЛЬТАТЫ И ОБСУЖДЕНИЕ
Синтез частиц оксида алюминия протекает при взаимодействии алюминия с нанооксидом титана по реакции (5) с образованием нанооксида алюминия в объеме расплавленного алюминия и выделением индивидуального титана. Но т. к. температуры взаимодействия (700–800оC) невысоки, расплавления образуемого металлического титана не происходит.
4Al + 3TiO2 = 2Al 2O3 + 3Ti (5)
ΔG700 °C = –417.3 кДж/моль; ΔG750 °C = –410.7 кДж/моль; ΔG800 °C = –404.6 кДж/моль.
Получаемые при этом алюминий-оксидные композиты отличаются равномерным распределением по объему алюминия частиц оксида размером до 200 нм, что приводит к высокой однородности свойств композитов (Рис. 1). Проведенное рентгенофазовое исследование продуктов взаимодействия расплавленного алюминия с нанооксидом титана в среде расплавленных галогенидов щелочных металлов при 700оC показало, что на рентгенограмме имеются пики, соответствующие алюминию и оксиду алюминия (*, Рис. 2). Формирование фазы алюминида титана может происходить только при температуре 800оC и выше и содержаниях титана в алюминии больше 1 мас.%, как видно из рисунка 2, в нашем случае алюминид титана не образуется.
Рис. 1. Изображение поперечного сечения композита Al-Al2O3 во вторичном электронном излучении
Рис. 2. Рентгеновская дифрактограмма композита алюминий-оксид алюминия
Длительные коррозионные испытания являются традиционным методом определения коррозии металлов и сплавов. Коррозионные испытания проводили в стандартном для определения склонности алюминия и его сплавов к питтингообразованию (локальной коррозии) растворе 0.5 М NaCl в течение 12 недель.
Скорости гравиметрической коррозии алюминия и алюминиевых композитов после 12-недельного коррозионного теста, определенные по формуле (4), представлены в таблице 1. Скорости коррозии композитов существенно уменьшаются с повышением концентрации оксида алюминия в них. Абсолютные величины скоростей коррозии очень малы, скорость коррозии композита в 1.5–4 раза меньше скорости коррозии чистого алюминия, при этом скорость коррозии не меняется при увеличении концентрации оксида алюминия в исходном композите с 8 до 18%. Класс коррозионной стойкости алюминия – 3 (стойкий), класс коррозионной стойкости композита Al-Al2O3 повышается до 2 (очень стойкий).
Таблица 1. Величины скорости коррозии алюминия и композитов Al-Al2O3 в растворе 0.5 М NaCl
v,(г/см2 .ч).10-7 | |
Al | 4.9 ± 0.8 |
Al-4.6Al2O3 (мас.%) | 3.2 ± 0.6 |
Al-7.8Al2O3 (мас.%) | 3.1 ± 0.6 |
Al-8.2Al2O3 (мас.%) | 1.7 ± 0.5 |
Al-10.1Al2O3 (мас.%) | 1.2 ± 0.6 |
Al-13.0Al2O3 (мас.%) | 1.6 ± 0.5 |
Al-18.4Al2O3 (мас.%) | 1.6 ± 0.5 |
Этот факт можно объяснить сравнением микрофотографий алюминия и алюминий-оксидного композитных материалов после их трехмесячной выдержки в растворе хлорида натрия, сделанных при одинаковом увеличении (Рис. 3).
Рис. 3. Электронные изображения поверхности образцов после 3 месяцев выдержки в 0.5 растворе NaCl: а – алюминий, б – алюминий-оксидный композит
На поверхности алюминия после выдержки в растворе хлорида натрия наблюдается образование рыхлого оксидного слоя с многочисленными залеченными питтингами (Рис. 3а), в то время как поверхность композита Al – 10.1Al2O3 (мас.%) закрыта бездефектным плотным оксидным слоем без образования питтингов (Рис. 3б), что и является причиной увеличения коррозионной стойкости композита по отношению к чистому металлу.
Проведенный микрорентгеноспектральный анализ поверхности композита Al – 10.1Al2O3 (мас.%) после трехмесячной выдержки в растворе 0.5 М хлорида натрия демонстрирует, что содержание алюминия и кислорода в различных точках поверхности меняется в зависимости от размерности оксидных кристаллов на поверхности (в более мелких кристаллах содержание кислорода выше) (Рис. 4).
Рис. 4. Электронная микрофотография (а) и таблица содержаний алюминия и кислорода в различных точках оксидного покрытия на поверхности композита Al-10.1Al2O3 (мас.%), полученная по данным микрорентгеноспектрального анализа
Исследования, проведенные методом рентгеновской дифракции поверхностей алюминия и композита после 12-недельного коррозионного теста показали, что рыхлый слой на поверхности исходного алюминия состоит помимо собственно алюминия из гидроксидов алюминия структуры гиббсита и байерита (Рис. 5а). В то же время на поверхности композита Al-10.1мас.%Al2O3 (Рис. 5б) образуется однофазное покрытие, состоящее из гидроксида алюминия в модификации байерита.
Рис. 5. Рентгеновская дифрактограмма образцов алюминия (а) и алюминий-оксидного композита (б) после 12 недель выдержки в растворе 0.5 М NaCl
Обзорный фотоэлектронный спектр образца Al – 10.1Al2O3 (мас.%) композита после 12 недельного коррозионного теста (Рис. 6) содержит только пики алюминия на 76.8, кислорода – на 533.8, углерода – 287, хлора – 201 и натрия – на 1074 эВ. Присутствие натрия и хлора на поверхности в следовых количествах объясняется недостаточной отмывкой хлорида натрия, в растворе которого был выполнен коррозионный тест, с поверхности достаточно развитого слоя гидроксида алюминия. Присутствие сателлитного пика углерода при 287 эВ объясняется органическими загрязнениями (например, с рук).
Рис. 6. Обзорный фотоэлектронный спектр образца Al-10.1Al2O3 (мас.%) композита после 12 недельного коррозионного теста в растворе 0.5М NaCl.
Элементный состав продуктов коррозии композита «алюминий-оксид алюминия» приведен в таблице 2.
Таблица 2. Идентификация элементов и количественная оценка обзорного XPS-спектра поверхности образца Al-10.1Al2O3 (мас.%) композита после 12 недельного коррозионного теста в растворе 0.5М NaCl
Элемент | Положение пика, эВ | Высота пика, отн. ед. | FWHM, эВ | ат.% |
O1s | 533.80 | 711821.36 | 3.46 | 49.09 |
Al2p | 76.80 | 119433.16 | 2.95 | 28.52 |
Cl2p | 201.25 | 84624.72 | 3.79 | 5.26 |
C1s | 286.98 | 74051.97 | 3.50 | 14.73 |
Na1s | 1074.01 | 26067.83 | 3.29 | 1.05 |
Разложение пика Al2p высокого разрешения образца алюминий-оксидного композита после коррозионного теста на пики с вершинами на 74.48 и 75.45 эВ (алюминий только в оксидной форме) (Рис. 7) показывает, что вся поверхность композита после теста покрыта равномерным слоем оксида. Коррозия носит равномерный характер, без образования питтингов.
Рис. 7. Спектр высокого разрешения Al2p образца Al-10.1Al2O3 (мас.%) композита после 12 недельного коррозионного теста в растворе 0.5М NaCl.
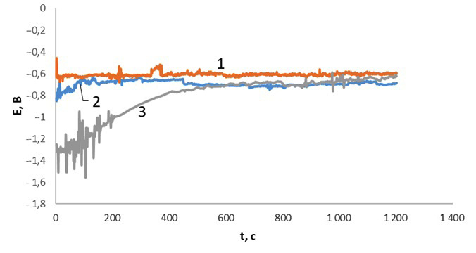
На рис. 8 приведены хронопотенциометрические кривые исходного алюминия и композитов с различным содержанием оксида алюминия в них. Показано, что, как в случае исходного алюминия, так и оксид-содержащего композита величины потенциалов коррозии устанавливаются в течение первых 30 минут и остаются затем постоянными в течение всего времени измерения. Наличие наночастиц оксида алюминия в матрице исходного металла не изменяет величину потенциала коррозии в пределах погрешности в растворе 0.5М NaCl.
Рис. 8. Хронопотенциограммы исходного алюминия (1) и алюминиевых композитов, содержащих 2 – Al-13.5Al2O3 (мас.%) и 3 – Al-8.7Al2O3 (мас.%)в растворе 0.5М NaCl.
На рис. 9 приведены типичные поляризационные кривые исходного алюминия и исследуемых образцов композита, перестроенные в координатах Тафеля. Ход поляризационных кривых (особенно в области потенциалов коррозии) осложнен образованием гидроксида алюминия на поверхности с дальнейшим осыпанием его на дно электрохимической ячейки. Тем не менее, можно говорить, что ход катодных ветвей полностью совпадает. В то время как анодные ветви поляризационных кривых исходного алюминия и оксид-содержащих композитов отличны. Так, на анодной кривой исходного алюминия наблюдается два прямолинейных участка с разными наклонами, что может быть связано с образованием гидроксида алюминия в различных модификациях – гиббсита и байерита, в то время как на всех анодных ветвях поляризационных кривых имеется только один прямолинейный участок, который связан с образованием единственного продукта электрохимической коррозии – байерита.
Рис. 9. Поляризационные кривые исходного алюминия (1) и исследуемых алюминиевых композитов, содержащих оксид алюминия в количестве: 2–8.2%, 3–7.8%, 4–13% в нейтральном растворе 0.5М NaCl.
Были рассчитаны величины плотностей токов коррозий для исходного алюминия и исследуемых композитов с различным содержанием оксида алюминия в них (Табл. 3).
Таблица 3. Значения плотностей токов коррозии и потенциалов алюминия и исследуемых образов композита системы Al-Al2O3 в растворе 3% NaCl
iкор, мкA/см2 | Eст, В | ||
Al | Al | 1.0 ± 0.1 | –0.807 ± 0.024 |
Al-Al2O3 4.6% | Al-4.6Al2O3 (мас.%) | 0.8 ± 0.3 | –0.732 ± 0.042 |
Al-Al2O3 7.8% | Al-7.8Al2O3 (мас.%) | 1.5 ± 0.4 | –0.812 ± 0.019 |
Al-Al2O3 8.2% | Al-8.2Al2O3 (мас.%) | 1.2 ± 0.2 | –0.750 ± 0.038 |
Al-Al2O3 8.7% | Al-8.7Al2O3 (мас.%) | 1.0 ± 0.7 | –0.765 ± 0.039 |
Al-Al2O3 10.1% | Al-10.1Al2O3 (мас.%) | 1.7 ± 0.9 | –0.770 ± 0.063 |
Al-Al2O3 13.0% | Al-13Al2O3 (мас.%) | 0.9 ± 0.6 | –0.805 ± 0.022 |
Al-Al2O3 13.5% | Al-13.5Al2O3 (мас.%) | 1.5 ± 0.8 | –0.741 ± 0.035 |
Al-Al2O3 18.4% | Al-18.4Al2O3 (мас.%) | 1.14 ± 0.08 | –0.790 ± 0.021 |
Величины плотностей токов коррозии исходного алюминия и алюминиевых композитов, содержащих от 4 до 18 мас.% оксида алюминия, остаются практически в пределах погрешности определения, вероятно, вследствие постоянного осаждения и осыпания оксидной фазы на поверхности алюминиевых электродов.
ЗАКЛЮЧЕНИЕ
Исследовано коррозионно-электрохимическое поведение композитов «алюминий- оксид алюминия», содержащие от 4 до 18 мас.% оксида алюминия в растворе 0.5 М NaCl при комнатной температуре. Показано, что образованные in situ наночастицы Al2O3, равномерно распределенные в объеме алюминиевой матрицы, изменяют характер коррозии по сравнению с исходным алюминием – с питтинговой до равномерной, при этом скорость коррозии, определённая гравиметрическим методом, уменьшается в 3–4 раза в зависимости от содержания нанооксида алюминия в алюминиевой матрице. Образующийся на поверхности композита плотный слой гиббсита препятствует дальнейшей коррозии алюминиевого композита, в то время как рыхлый слой многофазного гидроксидного покрытия на поверхности исходного алюминия не защищает его от коррозии. Класс коррозионной стойкости меняется от 3 «стойкий» до 2 «очень стойкий». Введение наночастиц оксида алюминия в металлическую матрицу не изменяет потенциала коррозии, однако, меняет ход анодной поляризационной кривой.
ФИНАНСИРОВАНИЕ РАБОТЫ
Работа выполнена в ИВТЭ УрО РАН по теме 122020100210–9 с использованием оборудования Центра коллективного пользования «Состав вещества» и УЦКП «Современные нанотехнологии» (УрФУ).
Об авторах
А. Г. Квашничев
Институт высокотемпературной электрохимии УрО РАН
Email: yolshina@ihte.ru
Россия, Екатеринбург
Л. А. Елшина
Институт высокотемпературной электрохимии УрО РАН
Автор, ответственный за переписку.
Email: yolshina@ihte.ru
Россия, Екатеринбург
В. И. Пряхина
Уральский федеральный университет им. Б.Н. Ельцина
Email: yolshina@ihte.ru
Россия, Екатеринбург
Список литературы
- B.F. Schultz, J.B. Ferguson, P.K. Rohatgi. Microstructure and hardness of Al2O3 nanoparticle reinforced Al-Mg composites fabricated by reactive wetting and stir mixing. // Materials Science and Engineering A. 2011. 530. Р. 87–97.
- H. Su, W. Gao, Zh. Feng, Zh. Lu. Processing, microstructure and tensile properties of nano-sized Al2O3 particle reinforced aluminum matrix composites // Materials and Design. 2012. 36. P. 590–596.
- L.A. Yolshina, R.V. Muradymov, D.I. Vichuzhanin, E.O. Smirnova, Enhancement of the mechanical properties of aluminum-graphene composites // AIP Conf. Proc. 2016. 1785. № 1. 040093.
- O.A. Chikova, A.B. Finkelstein, A. Schaefer, Microstructures, mechanical properties ingot AlSi7Fe1 after blowing oxygen through melt // Acta Metallurgica Slovaca. 2017. В23. № 1. P. 4–11.
- P. Ma, Y. Jia, P. Konda Gokuldoss, Zh. Yu, Sh. Yang, J. Zhao, Ch. Li. Effect of Al2O3 nanoparticles as reinforcement on the tensile behavior of Al-12Si composites // Metals. 2017. 359. № 7. Р. 11.
- S. Khireche, D. Boughrara, A. Kadri, L. Hamadou, N. Benbrahim. Corrosion mechanism of Al, Al–Zn and Al–Zn–Sn alloys in 3 wt% NaCl solution // Corrosion Science. 2014. 87. P. 504–516.
- D.K. Koli, G. Agnihotri, R. Purohit. A review on properties, behaviour and processing methods for Al-nano Al2O3 composites // Procedia Materials Science. 2014. 6. P. 567–589.
- B. Wang, L. Zhang, Y. Su, X. Mou, Y. Xiao, J. Liu. Investigation on the corrosion behavior of aluminum alloys 3A21 and 7A09 in chloride aqueous solution // Materials and Design.2013. 50. P. 15–21.
- J. Ma, J. Wen, J. Gao, Q. Li. Performance of Al-0.5 Mg-0.02 Ga-0.1 Sn-0.5 Mn as anode for Al-air battery in NaCl solutions // Journal of Power Sources. 2014. 253. P. 419–423.
- L.A. Yolshina, A.G. Kvashinchev. Chemical interaction of liquid aluminum with metal oxides in molten salts // Materials and Design. 2016. 105. P. 124–132.
- L.A. Yolshina, A.G. Kvashnichev, D.I. Vichuzhanin, E.O. Smirnova. mechanical and thermal properties of aluminum matrix composites reinforced by in situ Al2O3 nanoparticles fabricated via direct chemical reaction in molten salts // Appl. Sci. 2022. 12. № 17. Р. 8907.
- L.A. Elshina, A.G. Kvashnichev, D.V. Pelegov. Electrochemical synthesis of titanium oxide nanopowders in a molten mixture of alkali chlorides and nitrates // Russian Metallurgy. 2021. № 8. P. 1029–1035.
Дополнительные файлы












