Analysis of Survivability of Cast Railroad Parts under Operational Loading
- Authors: Lebedinskii S.G.1, Barmina O.V.1
-
Affiliations:
- Mechanical Engineering Research Institute of the Russian Academy of Sciences
- Issue: No 5 (2023)
- Pages: 68-75
- Section: НАДЕЖНОСТЬ, ПРОЧНОСТЬ, ИЗНОСОСТОЙКОСТЬ МАШИН И КОНСТРУКЦИЙ
- URL: https://journal-vniispk.ru/0235-7119/article/view/141783
- DOI: https://doi.org/10.31857/S0235711923050115
- EDN: https://elibrary.ru/XAWTZL
- ID: 141783
Cite item
Full Text
Abstract
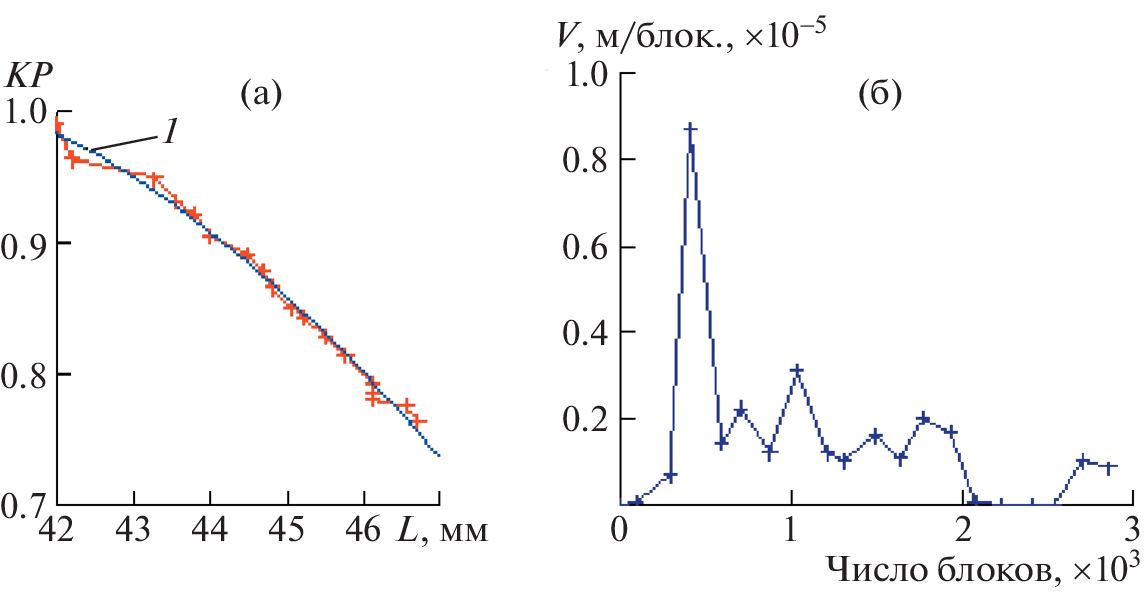
A comparison of the patterns of development of fatigue cracks in the modeling of the operational loading process and the calculated pattern, according to the linear summation algorithm using the standard fatigue fracture kinetic diagram of the same material, is carried out. The material is the low-alloy steel type 20L. During the tests, the load on a curved railway track section was simulated. The parameters of the original fatigue fracture kinetic diagram of material were corrected to adapt it to the calculation under irregular loading of this type.
About the authors
S. G. Lebedinskii
Mechanical Engineering Research Institute of the Russian Academy of Sciences
Email: slebedinski@yandex.ru
101990, Moscow, Russia
O. V. Barmina
Mechanical Engineering Research Institute of the Russian Academy of Sciences
Author for correspondence.
Email: slebedinski@yandex.ru
101990, Moscow, Russia
References
- Sunder R. Fatigue crack growth as a consequence of environment-enhanced brittlemicro fracture // Fatigue Fract. Engng. Mater. Struct. 2005. V. 28 (3). P. 289.
- Sunder R. Unraveling the Science of Variable-Amplitude Fatigue // Journal of ASTM International. 2012. V. 9. № 1. P. 20.
- Sunder R., Porter W.J., Ashbaugh N.E. The Role of Air in Fatigue Load Interaction // Fatigue Fract. Eng. Mater. Struct. 2003. V. 26. P. 1.
- Gassner E. Strength experiments under cyclic loading in aircraft structures // Luftwissen. 1939. V. 6 (61–4) [in German].
- Schuetz W. A History of Fatigue. Berlin: DVM, 2008. 40 p.
- Schijve J. Observations on the prediction of fatigue crack growth propagation under variable amplitude loading // In: ASTM Special Technical Publications. Physics, 1976. P. 3. https://doi.org/10.1520/STP33360S
- Расчеты и испытания на прочность. Методы механических испытаний металлов. Определение характеристик трещиностойкости (вязкости разрушения) при циклическом нагружении. Методические указания. РД 50-345-82. М.: Изд-во стандартов, 1983.
- Sunder R. Fractographic Reassessment of the Significance of Fatigue Crack Closure / Eds. J. Newman, K.-H. Schwalbe // J. ASTM International. 2005. V. 2 (6). 18 p. https://doi.org/10.1520/JAI12003
- Sunder R. On the hysteretic nature of variable-amplitude fatigue crack growth // Int. J. Fatigue. 2005. V. 27. P. 1494.
- Sunder R., Andronik A., Biakov A., Eremin E., Panin S., Savkin A. Combined action of crack closure and residual stress under periodic overloads: A fractographic Analysis // Int. J. Fatigue. 2016. V. 82. P. 667.
- Sunder R. Fatigue crack growth as a consequence of environment-enhanced brittlemicro fracture // Fatigue Fract. Engng. Mater. Struct. 2005. V. 28 (3). P. 289.
- Sunder R., Porter W.J., Ashbaugh N.E. The Role of Air in Fatigue Load Interaction // Fatigue Fract. Eng. Mater. Struct. 2003. V. 26. P. 1.
- Sunder R. Contribution of Individual Spectrum Cycles to Damage in Notch Crack Initiation / Eds. M.R. Mitchell and R.W. Landgraf // ASTM STP 1211, Short and Long Cracks. 1993. P. 19.
- Лебединский С.Г., Москвитин Г.В. Оценка эксплуатационного порогового уровня нагружения для литых железнодорожных сталей // Проблемы машиностроения и автоматизации. 2021. № 1. С. 28. https://doi.org/10.52261/02346206_2021_1_28
- Heuler P., Klätschke H. Generation and Use of Standardised Load Spectra and Load-Time Histories // International Journal of Fatigue. 2005. V. 27. (8). P. 974. https://doi.org/10.1016/j.ijfatigue.2004.09.012
- Козлов Л.А., Серенсен С.В. Прочность при нестационарных режимах нагрузки. Гл. V. Киев: Изд-во Академии наук УССР, 1960. 295 с.
- Когаев В.П. Расчеты на прочность при напряжениях, переменных во времени. М.: Машиностроение, 1977. 232 с.
- Лебединский С.Г., Змеева В.Н. Закономерности развития усталостных трещин в литых сталях железнодорожных конструкций // Проблемы машиностроения и надежности машин. 2000. № 3. С. 98.
Supplementary files







