Определение динамических характеристик крутильных колебаний многомассовой системы колесного сельскохозяйственного трактора тягового класса 1.4
- Авторы: Годжаев З.А.1, Сенькевич С.Е.1, Ильченко Е.Н.1, Алексеев И.С.1
-
Учреждения:
- Научный агроинженерный центр ВИМ
- Выпуск: № 6 (2024)
- Страницы: 3-15
- Раздел: МЕХАНИКА МАШИН
- URL: https://journal-vniispk.ru/0235-7119/article/view/282729
- DOI: https://doi.org/10.31857/S0235711924060011
- EDN: https://elibrary.ru/NPGWBC
- ID: 282729
Цитировать
Аннотация
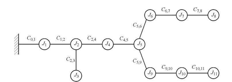
В статье проведены расчетно-теоретические исследования колебательных процессов в силовой передаче колесного трактора тягового класса 1.4 классической компоновки с двигателем внутреннего сгорания и с конструктивными изменениями: с автономным электроприводом и с применением упругодемпфирующего механизма в силовой передаче. Для проведения исследований разработаны укрупненные расчетные схемы из девяти и одиннадцати масс. Были определены частоты и формы собственных колебаний, а также резонансные частоты. Для нахождения собственных частот ω был применен способ, основанный на решении частотного уравнения в матричном виде. Оснащение трактора упругодемпфирующим механизмом позволяет смещать собственные частоты, а замена силовой установки на электродвигатель позволяет изменять амплитуды собственных частот.
Полный текст
Об авторах
З. А. Годжаев
Научный агроинженерный центр ВИМ
Email: il4enkocat@yandex.ru
Россия, Москва
С. Е. Сенькевич
Научный агроинженерный центр ВИМ
Email: il4enkocat@yandex.ru
Россия, Москва
Е. Н. Ильченко
Научный агроинженерный центр ВИМ
Автор, ответственный за переписку.
Email: il4enkocat@yandex.ru
Россия, Москва
И. С. Алексеев
Научный агроинженерный центр ВИМ
Email: il4enkocat@yandex.ru
Россия, Москва
Список литературы
- Алексеев В. А., Колосов С. П. Оснащение бот-тракторов электроприводами с интеллектуализацией бортовой системы управления в целях повышения эффективности сельскохозяйственной отрасли // Технология машиностроения. 2018. № 9. С. 63.
- Vogt H. H., de Melo R. R., Daher S. et al. Electric tractor system for family farming: Increased autonomy and economic feasibility for an energy transition // Journal of Energy Storage. 2021. V. 40. P. 102744. https://doi.org/10.1016/j.est.2021.102744
- Li J., Wu X., Zhang X. et al. Design of distributed hybrid electric tractor based on axiomatic design and Extenics //Advanced Engineering Informatics. 2022. V. 54. P. 101765. https://doi.org/10.1016/j.aei.2022.101765
- Xie B., Wang S., Wu X. et al. Design and hardware-in-the-loop test of a coupled drive system for electric tractor // Biosystems Engineering. 2022. V. 216. P. 165. https://doi.org/10.1016/j.biosystemseng.2022.02.014
- Zhang S., Xie B., Wen C. et al. Intelligent ballast control system with active load-transfer for electric tractors // Biosystems Engineering. 2022. V. 215. P. 143. https://doi.org/10.1016/j.biosystemseng.2022.01.008
- Солдатенко Д. С. Расчет электромеханических параметров тягового электропривода тракторов // Актуальные вопросы машиноведения. 2019. Т. 8. С. 129.
- Годжаев З. А., Сенькевич С. Е., Алексеев И. С., Ильченко Е. Н. Обоснование выбора параметров электромеханической трансмиссии для трактора тягового класса 0.6–0.9 и согласование тяговых характеристик // Агроинженерия. 2023. Т. 25. № 1. С. 63. https://doi.org/10.26897/2687-1149-2023-1-63-70
- Кравченко В. А., Кравченко Л. В., Сенькевич С. Е., и др. Влияние УДМ в силовой передаче энергетического средства класса 1.4 на динамические процессы в звеньях машинно-тракторного агрегата // Политематический сетевой электронный научный журнал Кубанского государственного аграрного университета. 2022. № 177. С. 104. https://doi.org/10.21515/1990-4665-177-010
- Кравченко В. А., Сенькевич А. А., Сенькевич С. Е. Некоторые статистические показатели функционирования посевного МТА с упругодемпфирующим механизмом в трансмиссии трактора // Тракторы и сельхозмашины. 2009. № 9. С. 32.
- Кравченко В. А., Кравченко Л. В., Сенькевич С. Е. и др. Влияние УДМ в силовой передаче энергетического средства класса 1,4 на буксование его движителей при работе в составе МТА // Политематический сетевой электронный научный журнал Кубанского государственного аграрного университета. 2022. № 178. С. 119. https://doi.org/10.21515/1990-4665-178-010
- Кравченко В. А., Кравченко Л. В., Сенькевич С. Е. и др. Влияние на качество выполнения работ машинно-тракторными агрегатами, агрегатируемых мобильными энергетическими средствами тягового класса 1.4 с УДМ в силовой передаче // Политематический сетевой электронный научный журнал Кубанского государственного аграрного университета. 2022. № 180. С. 72. https://doi.org/10.21515/1990-4665-180-008
- Попов И. П. Упругие сцепки составного сельскохозяйственного транспортно-технологического средства // Вестник НГИЭИ. 2021. № 4 (119). С. 21. https://doi.org/10.24412/2227-9407-2021-4-21-30
- Сенькевич С. Е., Крюковская Н. С. Анализ экспериментальных исследований трактора, оснащенного упругодемпфирующим механизмом в трансмиссии, при движении в составе транспортного тракторного агрегата // Тракторы и сельхозмашины. 2020. № 6. С. 59. https://doi.org/10.31992/0321-4443-2020-6-59-66
- Сенькевич С. Е., Ильченко Е. Н., Алексеев И. С. Результаты проведения экспериментальных исследований трактора, оснащенного упругодемпфирующим механизмом при агрегатировании с сеялкой // Тракторы и сельхозмашины. 2021. Т. 88. № 4. С. 33. https://doi.org/10.31992/0321-4443-2021-4-33-44
- Белинис С. М. Определение собственных частот колебаний ротора // Вестник Димитровградского инженерно-технологического института. 2017. № 1 (12). С. 88.
- Ding W., Chai Y., Liu H. et al. Numerical investigation on flow-induced vibrations of two tandem cylinders localized selective roughness with different natural frequencies // Applied Ocean Research. 2023. Т. 135. С. 103540. https://doi.org/10.1016/j.apor.2023.103540
- Айнбиндер Р. М., Гордеев Б. А., Любимов А. К. и др. Определение собственных частот колебаний грузовой платформы автотранспортного средства с целью безопасного крепления груза // Транспорт: наука, техника, управление. Научный информационный сборник. 2018. № 5. С. 28.
- Попов В. Б., Чупрынин Ю. В., Джасов Д. В. Анализ собственных частот и определение динамических коэффициентов трансмиссии сельскохозяйственной машины // Вестник Гомельского государственного технического университета им. П. О. Сухого. 2017. № 2 (69). С. 32.
- Маслов Г. С. Расчеты колебаний валов: Справочник. 2-е изд., перераб. и доп. М.: Машиностроение, 1980.
- Лашко В. А., Лейбович М. В. Матричные методы в расчетах крутильных колебаний силовых установок с ДВС: Учебное пособие. Хабаровск: Изд-во Хабар. гос. техн. ун-та, 2003.
- Тарасик В. П. Математическое моделирование технических систем. М.: Инфра-М, 2019.
Дополнительные файлы







