Анализ связи умеренных когнитивных нарушений с изменениями в синхронизации между фотостимуляцией и активностью мозга
- Авторы: Дик О.Е.1
-
Учреждения:
- Институт физиологии им. И.П. Павлова РАН
- Выпуск: Том 54, № 3 (2023)
- Страницы: 77-89
- Раздел: Статьи
- URL: https://journal-vniispk.ru/0301-1798/article/view/138985
- DOI: https://doi.org/10.31857/S0301179823030062
- EDN: https://elibrary.ru/ZYMHBM
- ID: 138985
Цитировать
Полный текст
Аннотация
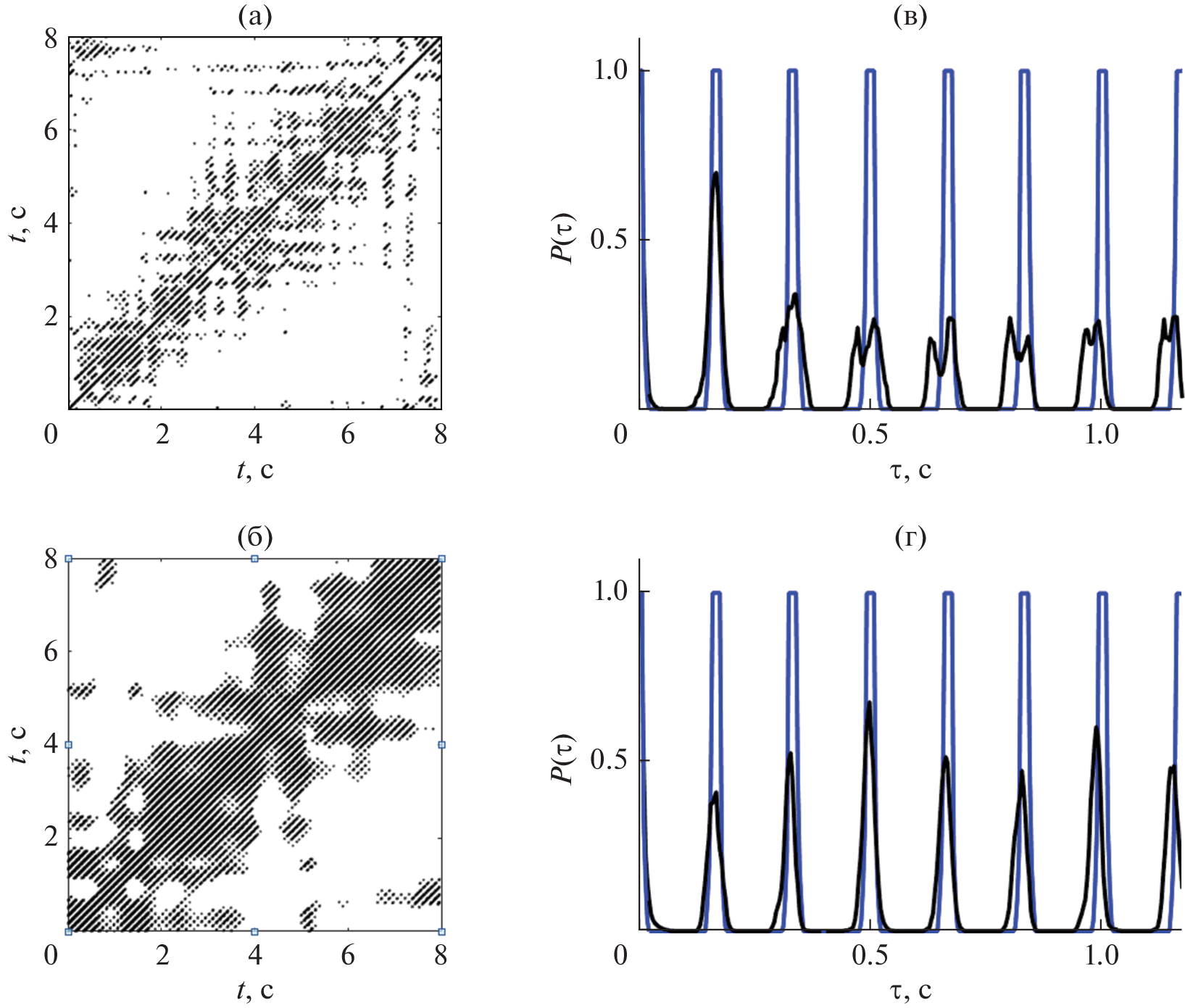
Обзор посвящен применению методов нелинейной динамики к анализу динамических изменений в паттернах физиологических ритмов мозга при возникновении нарушений, связанных с хронически повышенным артериальным давлением и с нарушением сердечного ритма по типу фибрилляции предсердий при наличии и отсутствии умеренных когнитивных нарушений. Показана возможность применения этих методов для выявления маркеров этих нарушений. Эти маркеры связаны с параметрами фазовой синхронизации между ритмическими фотостимулами и ответами мозга в виде электроэнцефалографических паттернов.
Ключевые слова
Об авторах
О. Е. Дик
Институт физиологии им. И.П. Павлова РАН
Автор, ответственный за переписку.
Email: dickviola@gmail.com
Россия, 199034, Санкт-Петербург
Список литературы
- Божокин С.В. Вейвлет-анализ динамики усвоения и забывания ритмов фотостимуляции для нестационарной электроэнцефалограммы // Журн. Технической физики. 2010. Т. 80. № 9. С. 16.
- Дик О.Е., Святогор И.А., Дик О.Е. и др. Анализ реактивных паттернов ЭЭГ у лиц с фибрилляцией предсердий // Физиология человека. 2019. Т. 45. С. 49–63.
- Дик О.Е., Ноздрачев А.Д. Динамика паттернов электрической активности мозга при нарушениях его функционального состояния // Успехи физиологических наук. 2020. Т. 51. № 2. С. 1–20.
- Дик О.Е., Святогор И.А., Резникова Т.Н. и др. Анализ паттернов ЭЭГ у лиц с паническими атаками // Физиология человека. 2020. Т. 46. № 2. С. 63.
- Дик О.Е., Глазов A.Л. Параметры фазовой синхронизации в электроэнцефалографических паттернах как маркеры когнитивных нарушений // Журн. технической физики. 2021. Т. 91, Вып. 4. С. 678–688.
- Дик O.Е. Динамика паттернов электрической активности мозга при дезадаптационных нарушениях // Успехи физиологических наук. 2022. Т. 53. № 1. С. 34–51.
- Резникова Т.Н., Федоряка Д.А., Селиверстова Н.А., Моховикова И.А. Опыт использования сенсорной импульсной стимуляции у больных с паническими атаками // Вестник психотерапии. 2018. № 68. С. 47.
- Резникова Т.Н., Селиверстова Н.А., Дик О.Е. и др. Оценка психофизиологического состояния у пожилых лиц с умеренными когнитивными нарушениями при сенсорных импульсных стимуляциях // Психическое здоровье. 2020. № 9. С. 12–18.
- Святогор И.А., Гусева Н.Л. ЭЭГ-реакция усвоения ритма в норме и при нарушении функционального состояния центральной нервной системы // Вестник клинической нейрофизиологии. 2014. Т. 1. С. 13–19.
- Федотчев А.И., Бондарь А.Т., Акоев И.Г. Резонансные ЭЭГ – реакции при ритмических световых воздействиях разной интенсивности и частоты // Журн. ВНД. 2001. Т. 51. № 1. С. 17–23.
- Федотчев А.И., Бондарь А.Т., Матрусов С.Г. и др. Использование сигналов обратной связи от эндогенных ритмов пациента для нелекарственной коррекции функциональных расстройств // Успехи физиол. наук. 2006. Т. 37. № 4. С. 82–92.
- Alamian G., Lajnef T., Pascarella A., Lina J.M., Knight L., Walters J., Singh K.D., Jerbi1 K. Altered brain criticality in schizophrenia: new insights from magnetoencephalography // Front. Neural Circuits. 2022. V. 16. P. 551–555.
- Borodina U.V., Aliev R.R. Wavelet spectra of visual evoked potentials; time course of delta, theta, alpha and beta bands// Neurocomputing. 2013. V. 121. P. 551–555.
- Bosnyakov D., Gabova A., Kuznetsova G. et al. Time–frequency analysis of spike–wave discharges using a modified wavelet transform // J. Neurosci. Methods. 2006. V. 1654. P. 80–88.
- Daubechies I. Ten lectures on Wavelets, Mathematics, SIAM Publication, Philadelphia, Pennsylvania, 1992.
- Daubechies I., Lu J., Wu H.T. Synchrosqueezed wavelet transforms: An empirical mode decomposition-like tool // Appl. Comput. Harmon. Anal. 2011. V. 30. P. 243–261.
- Dick O.E., Svyatogor I.A. Potentialities of the wavelet and multifractal techniques to evaluate changes in the functional state of the human brain // Neurocomputing. 2012. V. 82. P. 207–215.
- Dick O.E., Svyatogor I.A. Wavelet and multifractal estimation of the intermittent photic stimulation response in the electroencephalogram of patients with dyscirculatory encephalopathy // Neurocomputing. 2015. V. 165. P. 361–374.
- Dick O.E. Wavelet and recurrence analysis of EEG patterns of subjects with panic attacks // Studies in Computational Intelligence. 2020. V. 856. P. 172.
- Dick O.E., Glazov A.L. Estimation of the synchronization between intermittent photic stimulation and brain response in hypertension disease by the recurrence and synchrosqueezed wavelet transform // Neurocomputing. 2021. V. 455. P. 163–177.
- Dick O.E., Glazov A.L. Application of joint recurrence analysis for estimating phase synchronization of physiological signals // Technical Physics. 2022. V. 67. P. 48–60.
- Dick O.E. Search for Markers of Moderate Cognitive Disorders Through Phase Synchronization Between Rhythmic Photostimulus and EEG Pattern // In: Kryzhanovsky, B., Dunin-Barkowski, W., Redko, V., Tiumentsev, Y. (eds) Advances in Neural Computation, Machine Learning, and Cognitive Research. Studies in Computational Intelligence. 2023. V. 1064. P. 191–199.
- Gasecki D., Kwarciany M., Nyka W. et al. Hypertension, brain damage and cognitive decline // Curr Hypertens Rep. 2013. V. 15. P. 547–558.
- Fedotchev I., Bondar A.T., Akoev I.G. Dynamic characteristics of the human resonance EEG responses to rhythmic photostimulation // Human Physiology. 2000. V. 26. № 2. P. 64–72.
- Fraser A.M., Swinney H.L. Independent coordinates for strange attractors from mutual information // Phys. Rev. 1986. V. 33. № 2. P. 1134–1140.
- Hramov A.E., Koronovsky A.A., Makarov V.A. et al. Wavelets in neuroscience. Springer Series in Synergetics. Berlin: Springer, 2015. 314 p.
- Kalantarian S., Stern T.A., Mansour M., Ruskin J.N. Cognitive impairment associated with atrial fibrillation: a meta-analysis // Ann. Int. Med. 2013. V. 158. P. 338–346.
- Kennel M.B., Brown R., Abarbanel H.D. Determining embedding dimension for phase-space reconstruction using a geometrical construction // Phys. Rev. A. 1992. V. 45. № 6. P. 3403.
- Kurths J., Romano M.C., Thiel M. et al. Synchronization analysis of coupled noncoherent oscillators // Nonlinear Dynamics. 2006. V. 44. P. 135.
- Lee Y.J., Huang S.Y., Lin C.P., Tsai S.J. Yang A.C. Alteration of power law scaling of spontaneous brain activity in schizophrenia // Schizophr. Res. 2021. V. 238. P. 10–19.
- Marwan N., Wessel N., Meyerfeldt U. et al. Recurrence plot based measures of complexity and ist application to heart rate variability data // Physical Review E. 2002. V. 66. P. 26702–26710.
- Marwan N., Romano M.C., Thiel M. et al. Recurrence plots for the analysis of complex systems // Physics Reports. 2007. V. 438. P. 237–329.
- Mormann F., Lehnertz K., David P. et al. Mean phase coherence as a measure for phase synchronization and its application to the EEG of epilepsy patients // Physica D. 2000. V. 144. P. 358–369.
- Mukli P., Nagy Z., Racz F.S., Herman P., Eke A. Impact of healthy aging on multifractal hemodynamic fluctuations in the human prefrontal cortex // Front. Physiol. 2018. V. 9. P. 1072.
- Natarajan K., Acharya R., Alias F. et al. Nonlinear analysis of EEG signals at different mental states // BioMedical Engineering. 2004. V. 3. P. 7–18.
- Quiroga Q.R., Kraskov A., Kreuz T., Grassberger P. Performance of different synchronization measures in real data: a case study on electroencephalographic signals // Phys. Rev. E 2002. V. 65 P. 041903.
- Racz F.S., Stylianou O., Mukli P., Eke A. Multifractal and entropy-based analysis of delta band neural activity reveals altered functional connectivity dynamics in schizophrenia // Frontiers in Systems Neuroscience. 2020. V. 14. https://doi.org/10.3389/fnsys.2020.00049
- Racz F.S, Farkas K., Stylianou O., Kaposzta Z., Czoch A., Mukli P., Csukly G., Eke A. Separating scale-free and oscillatory components of neuralactivity in schizophrenia // Brain Behav. 2021. V. 1. https://doi.org/10.1002/brb3.2047
- Romano M.C., Thiel M., Kurths J. et al. Detection of synchronization for non-phase-coherent and non-stationary data // Europhysics Letters. 2005. V. 71. P. 466–472.
- Santangeli R., Di Biase L., Bai R. Atrial fibrillation and the risk of incident dementia: a meta-analysis // Heart Rhythm. 2012. V. 9. P. 1761–1769.
- Shah A.D., Merchant F.M., Delurgio B.J. Atrial Fibrillation and risk of dementia/cognitive decline // J. Atr. A. 2016. V. 8. P. 1353–1361.
- Singh-Manoux A., Fayosse A., Sabia S. et al. Atrial fibrillation as a risk factor for cognitive decline and dementia // Eur. Heart J. 2017. V. 38. P. 2612–2618.
- Slezin V., Korsakova E.A., Dytjatkovsky M.A., Schultz E.A., Arystova T.A., Siivola J.R. Multifractal analysis as an aid in the diagnostics of mental disorders // Nordic J. Psychiatry. 2007. V. 61. P. 339–342.
- Suckling J., Wink A.M., Bernard F.A., Barnes A., Bullmore E. Endogenous multifractal brain dynamics are modulated by age, cholinergic blockade and cognitive performance // J. Neurosci. Methods. 2008. V. 174. P. 292–300.
- Takens F. Detecting strange attractors in turbulence // In: Dynamical Systems and Turbulence, Lecture Notes in Mathematics / D. Rand, L.S. Young, eds. / Berlin: Springer, 1981. V. 898. P. 366–381.
- Thakur G., Brevdo E., Fuckar N.S. et al. The synchrosqueezing algorithm for time-varying spectral analysis: robustness properties and new paleoclimate applications // Signal Process. 2013. V. 93. P. 1079–1094.
- Titov V.E., Dick O.E. Computational evaluation of the effectiveness of therapy method with help recurrent analysis // J. Physics: Conference Series. 2021. V. 1889. P. 42092–42098.
Дополнительные файлы










