Academician E.M. Kreps – founder оf the science of evolutionary biochemistry of brain lipids
- Autores: Parnova R.G.1, Firsov M.L.1
-
Afiliações:
- Sechenov Institute of Evolutionary Physiology and Biochemistry of the Russian Academy of Sciences
- Edição: Volume 55, Nº 2 (2024)
- Páginas: 38-48
- Seção: Articles
- URL: https://journal-vniispk.ru/0301-1798/article/view/264390
- DOI: https://doi.org/10.31857/S0301179824020045
- EDN: https://elibrary.ru/cgvxxf
- ID: 264390
Citar
Texto integral
Resumo
The article is dedicated to the founder of the evolutionary biochemistry of brain lipids, Evgeniy Mikhailovich Kreps, a remarkable scientist and person, academician, who for many years headed the Department of Physiology of the USSR Academy of Sciences and the Sechenov Institute of Evolutionary Physiology and Biochemistry of the USSR Academy of Sciences. The authors consider some stages of the scientific biography of E.M. Kreps, analyze the main results of his many years of work on studying the composition of complex brain lipids in representatives of all classes of vertebrates and some invertebrates. The authors made an attempt to give a modern assessment and interpretation of the patterns of changes in the composition of phospholipids, cerebrosides, gangliosides and their fatty acid radicals discovered by E.M. Kreps, associated with the complication of the organization of the central nervous system during evolution.
Palavras-chave
Texto integral
ВВЕДЕНИЕ
Aкадемик Евгений Михайлович Крепс (1899–1985) – выдающийся и яркий ученый, один из основоположников сравнительной и эволюционной физиологии и биохимии, подводной физиологии и медицины, ученик Ивана Петровича Павлова и ближайший соратник и ученик Леона Абгаровича Орбели (рис. 1). С 1967 по 1975 г. он возглавлял Отделение физиологии Академии наук СССР, на протяжении многих лет был членом Президиума АН СССР. С 1960 по 1975 г. Е.М. Крепс был директором Института эволюционной физиологии и биохимии им. И.М. Сеченова АН СССР. Подобно Л.А. Орбели, создавшему и возглавившему в России направление эволюционной физиологии, Е.М. Крепс развил в возглавляемом им Институте новое направление – эволюционную биохимию. Его заслуги в развитии советской науки были отмечены правительством и руководством Академии наук присуждением ему многих высших наград и почетных премий. По инициативе Е.М. Крепса с 1965 г. стал выходить “Журнал эволюционной биохимии и физиологии”, который до сих пор является одним из ведущих российских научных периодических изданий в области биологии. Е.М. Крепс входил в состав редколлегий двух международных научных журналов – Journal of Neurochemistry и Comparative Biochemistry and Physiology.
Рис. 1. Е.М. Крепс в рабочем кабинете, Ленинград, 1984 г.
Об этом выдающемся ученом и человеке, его удивительной судьбе, в которой отразились разнообразные драматические события ХХ в., написан не один биографический очерк [1, 6]. Да и сам Евгений Михайлович успел написать книгу воспоминаний “О прожитом и пережитом” [5], опубликовал яркие и подробные рассказы о своих экспедициях на исследовательском судне “Витязь” [2, 4]. Эти издания и публикации адресованы самой широкой читательской аудитории. Данная статья рассматривает некоторые этапы творческой биографии Е.М. Крепса и кратко знакомит читателя с исследованиями, проводимыми под его руководством в лаборатории нейрохимии ИЭФБ им. И.М. Сеченова, в области эволюционной биохимии липидов мозга – научного направления, которому этот выдающийся ученый посвятил последние 25 лет своей жизни.
Е.М. Крепс, будучи врачом по образованию, был уникальным ученым и феноменально образованным человеком. Его огромный интеллектуальный потенциал, исключительная память, острый ум и разнообразный практический опыт охватывали знания медицины, военной службы, морского дела, истории, физиологии, которой он учился у Павлова и Орбели, эволюционного учения, зоологии, палеонтологии, географии, геологии, геохимии и, конечно, самых разных аспектов биохимии, которой он много занимался еще до изучения липидов мозга. Евгений Михайлович получил блестящее образование, закончив знаменитое Тенишевское училище в Санкт-Петербурге, а затем Военно-медицинскую академию. Он вырос в интеллигентной петербургской семье в самом центре столицы в непосредственном соседстве с Русским географическим обществом, с которым семья имела самые тесные связи. По характеру своего внутреннего мира Е.М. Крепс был любознательным путешественником и разносторонне образованным естествоиспытателем. Многие книги о морских путешествиях и приключениях он мог часами пересказывать близко к тексту. До конца жизни он сохранил восторженное отношение к морю. В автобиографической книге “Последняя экспедиция Витязя” он описывает свои чувства, когда ранним холодным февральским утром стоял на палубе и с замиранием сердца следил за приближением Босфора, угадывая в тумане маяки и не пропуская ни одной подробности предстоящего свидания…А шел ему 80-й год…(рис. 2).
Рис. 2. Е.М. Крепс на даче в окружении коллег в день своего рождения 1 мая 1984 г.
Его всегда интересовало могучее разнообразие жизни как составной части нашей планеты, как функционируют живые системы, чем они отличаются у животных различного филогенетического уровня, каковы закономерности и причины происходящих изменений. Разбирая на палубе экспедиционного судна содержимое трала, больше всего, наверное, он походил на Дарвина ХХ в. По всей вероятности, экспериментальная работа сугубо в стенах городской лаборатории его не очень интересовала – похоже, что движимый могучей любознательностью, любовью к путешествиям, страстному интересу к морю, новым землям и обитающим там неведомым животным, в 1923 г. он “сбежал” от Ивана Петровича Павлова и экспериментов на собаках на Мурманскую морскую биологическую станцию, которая располагалась на Баренцевом море в г. Александровск-на-Мурмане (с 1933 г. – село Полярное) (рис. 3). Формальный повод – изучать условные рефлексы у беспозвоночных, что было поддержано И.П. Павловым. Евгений Михайлович писал, что это были лучшие годы его жизни – прекрасные условия для работы, великолепная, одна из лучших в мире биостанция, оснащенная всем необходимым, в том числе собственным флотом, морскими аквариумами, лабораторией, научной библиотекой. Бессменным директором биостанции с 1908 по 1933 г. был Герман Клюге, крупнейший отечественный гидробиолог и специалист мирового уровня по мшанкам. Общий энтузиазм, молодость, фантастическая природа и несметные богатства морской фауны! К общему горю биостанция была закрыта в 1933 г. и прекратила свое существование. Этому предшествовала разгромная статья в газете “Ленинградская правда”, многие сотрудники были арестованы по обвинению в “саботаже научно-практической работы”.
Рис. 3. Мурманская морская биологическая станция, г. Александровск-на-Мурмане, 1925 г. (фото с сайта Александры Горяшко, https://www.littorina.info).
Е.М. Крепсу по поручению Л.А. Орбели было поручено найти место для новой биостанции на Баренцевом море, и оно было найдено на Восточном Мурмане (Дальние Зеленцы), однако на северных биостанциях он больше никогда не работал, хотя интерес к морским организмам сохранил на всю жизнь.
В середине 1950-х гг. Евгений Михайлович Крепс работал в Институте физиологии им. И.П. Павлова. Его лаборатория активно использовала недавно введенный в научную методологию фосфорный радиоизотопный анализ для изучения обмена фосфолипидов в различных отделах мозга собаки. Евгений Михайлович интересовался сравнительным аспектом этих изменений, происходящих во время различных функциональных состояний животного – сна, бодрствования и наркотизированного состояния, а также в условии гипоксии. Эти работы, поначалу выполнявшиеся только на модели млекопитающих и имевшие в значительной степени прикладной характер, повлияли на выбор его главного научного направления – изучение липидов мозга у животных разного уровня организации и условий существования.
В конце 1950-х гг. происходят два важнейших события в жизни Е.М. Крепса, определивших на многие годы вперед уклад его жизни и область научных интересов. В 1958 г. он получает приглашение участвовать в экспедиции научно-исследовательского судна “Витязь” (рис. 4) в южной части Тихого океана, а в 1960 г. по приглашению Президента Академии наук СССР академика А.Н. Несмеянова становится директором ленинградского Института эволюционной физиологии им. И.М. Сеченова АН СССР. Тесная связь этих двух событий состоит в том, что Е.М. Крепс одновременно определяет для себя область научных интересов, которая захватит его на всю оставшуюся жизнь, которую он в значительной степени сам создал, определил ее задачи и сразу вслед за этим получил широкие возможности для выполнения новой исследовательской программы. Евгений Михайлович переходит в Институт эволюционной физиологии им. И.М. Сеченова вместе с группой своих сотрудников, которые входили в состав руководимой им лаборатории нейрохимии в Институте физиологии им. И.П. Павлова. За довольно короткий срок ему удалось создать высококлассную лабораторию, оснастить ее самым современным по тем временам оборудованием – уже в то время появились методы разделения и анализа сложных липидов, такие как тонкослойная, газо-жидкостная хроматография, хроматомасс-спектрометрия. В лаборатории были налажены методы анализа сложных липидов – цереброзидов, сульфоцереброзидов и ганглиозидов, использовались радиоактивные предшественники для анализа липидного метаболизма.
Рис. 4. Экспедиционное судно “Витязь” (фото с сайта https://world-ocean.ru/vityaz/istoriya).
К тому времени данные о липидном составе мозга млекопитающих были уже известны, но как у других животных – у примитивных позвоночных, беспозвоночных, глубоководных или поверхностных рыб, обитающих в теплых или холодных водах, что происходит в ходе онтогенеза – такие данные либо были фрагментарны, либо отсутствовали вообще. Подобная работа, кроме острого теоретического интереса, была для Е.М. Крепса чрезвычайно привлекательна и тем, что предполагала сбор материала в условиях экспедиций, в которые он очень часто отправлялся сам. Евгений Михайлович участвовал в нескольких рейдах экспедиционного судна “Витязь” и “Академик Курчатов” в Индийском и Атлантическом океане, в Средиземном море, бывал на севере, Камчатке, где собирал образцы мозга рыб для дальнейшего исследования. Привезенный материал делился между сотрудниками лаборатории, каждый из которых специализировался на изучении определенного класса липидов.
Сотрудниками лаборатории (рис. 5) было исследовано более 120 видов холодноводных и тропических рыб – хрящевых, хрящевых ганоидов и костистых, несколько десятков видов амфибий, рептилий, птиц и млекопитающих, более 20 видов беспозвоночных (кольчатые черви, моллюски, ракообразные, насекомые). Качественно и количественно были исследованы все основные классы липидов в тканях мозга – фосфолипиды и их жирнокислотный состав, плазмалогенные формы фосфолипидов, протеолипиды, холестерин, различные классы сложных гликолипидов – цереброзиды, сульфоцереброзиды и ганглиозиды, проанализирован состав их жирных кислот и длинноцепочечных оснований. Хотя научная картина мира того времени в значительной степени опиралась на сравнительно-биохимические исследования, подобного охвата разнообразных видов животных и столь детального и глубокого анализа состава различных классов липидов в тканях мозга не было ни в одной другой лаборатории мира ни до, ни после Крепса. Огромная ценность этой колоссальной базы данных состоит в том, что она никогда не устареет и не потеряет своего значения, несмотря на огромный прогресс современной науки о липидах и широкому применению масштабных методов липидомики, позволяющих за короткое время проанализировать несколько тысяч молекулярных типов липидов.
Рис. 5. Е.М. Крепс и сотрудники лаборатории нейрохимии Института эволюционной физиологии и биохимии им. И.М. Сеченова, Ленинград, 1977 г.
В СССР в 1970–1980 гг. существовали два основных крупных центра изучения липидов – лаборатория Евгения Михайловича Крепса в Ленинграде, которая специализировалась на изучении простых и сложных липидов мозга в эволюции животного мира, и лаборатория химии липидов члена-корр. АН СССР Льва Давыдовича Бергельсона в Москве в Институте биоорганической химии АН СССР. Интересы Л.Д. Бергельсона лежали в несколько иной плоскости, он был химиком по образованию, и лаборатория занималась разработкой новых физических методов исследования биологических мембран. Интересно, что в 1985 г. оба липидолога – Л.Д. Бергельсон, Е.М. Крепс (Крепс уже посмертно), а также их соавторы совместно получили Государственную премию СССР в области науки и техники за цикл работ 1965–1983 гг. “Структура и функции липидов”. Помимо общих научных интересов, двух крупнейших липидологов СССР связывали трагические моменты их биографий. Е.М. Крепс в 1937 г. был осужден сроком на 5 лет по обвинению в связи с троцкистко-зиновьевской организацией и только благодаря огромным усилиям академика Л.А. Орбели был освобожден досрочно в 1940 г. У Л.Д. Бергельсона в 1952 г. был расстрелян отец (писатель, один из немногих писавших на идише) как член Еврейского антифашистского комитета.
Итогом многолетней работы явилась монография “Липиды клеточных мембран”, изданная в 1981 г. издательством “Наука” [3] (рис. 6). За эту монографию в 1982 г. Е.М. Крепс получил золотую медаль им. И.П. Павлова.
Рис. 6. Монография Е.М. Крепса “Липиды клеточных мембран” с подзаголовком “Эволюция липидов мозга. Адаптационная функция липидов”.
У всех животных мозг чрезвычайно богат липидами. Их содержание в мозгу млекопитающих составляет от 30 до 60% сухого веса ткани, уступая в этом отношении только жировой ткани. Состав липидов мозга невероятно разнообразен и крайне специфичен – в мозге практически отсутствуют триглицериды и эфиры холестерина, в большом количестве представлены сложные липиды – цереброзиды, сульфоцереброзиды и ганглиозиды. В мозге гораздо выше, чем в других тканях, содержание полиненасыщенных жирных кислот, имеющих две и более двойные связи. Локализуются они главным образом в фосфолипидах мембран, практически не используются для энергетических нужд и не запасаются в клетках в составе нейтральных липидов в липидных гранулах, что также отличает мозг от других тканей.
Изучение липидов мозга Е.М. Крепс начал с исследования состава и количественного содержания фосфолипидов. К началу 1960-х гг. уже была понятна принципиальная организация биологической мембраны, однако многие экспериментальные факты свидетельствовали о том, что функция фосфолипидов не ограничивается их структурной ролью в мембранах. В 1963 г. в журнале “Биохимия” выходит первая работа – Е.М. Крепс, К.Г. Манукян, А.А. Смирнов, Е.В. Чирковская “Исследование фосфолипидов нервной системы в эволюционном ряду животных”.
Основные направления изучения состава фосфолипидов мозга и жирных кислот фосфолипидов, на которых была сосредоточена лаборатория нейрохимии, руководимая Евгением Михайловичем Крепсом, включали в себя исследование животных различного филогенетического уровня – беспозвоночных (моллюски, насекомые, ракообразные) и всех классов позвоночных, также в онтогенезе птиц и млекопитающих. Помимо этого, у представителей всех классов позвоночных анализировался состав липидов в субклеточных фракциях мозга (ядра, митохондрии, микросомы, синаптосомы, миелин), а также в нейронах и глии мозга млекопитающих.
Обнаружились общие закономерности – в первую очередь, удивляло принципиальное сходство фосфолипидного состава: у всех исследованных организмов (от дождевого червя до человека) в липидах мозга присутствует один и тот же небольшой по разнообразию набор фосфолипидов (5 “обязательных” фосфолипидов – фосфатидилхолин, фосфатидилэтаноламин, фосфатидилсерин, фосфоинозитиды и кардиолипин), среди которых всегда резко доминируют первые два. Для каждого фосфолипида имеются свои характерные особенности набора жирных кислот, которые с небольшими отличиями воспроизводятся у всех исследованных животных. Было очевидно, что такой набор фосфолипидов сложился в ходе эволюции животного мира на самых ранних этапах эволюции, еще до разделения на первично- и вторичноротых. Хорошо известны слова Евгения Михайловича: “Если природа нашла удачное химическое решение биологической задачи, то она сохраняет его в дальнейшей эволюции”. Другая его цитата: “Разнообразие организмов невероятно, но единство лежащего в основе плана строения также поразительно” [3].
С другой стороны, в ряду круглоротые–рыбы–амфибии–рептилии–птицы–млекопитающие четко прослеживаются изменения состава фосфолипидов и их жирных кислот. Оказалось, что тот фосфолипидный состав мозга, который обнаруживается у млекопитающих и довольно стабилен в отношении соотношения классов фосфолипидов и их жирнокислотного состава у разных представителей этого класса, формировался постепенно в эволюции позвоночных. Очевидно, что происходил направленный “отбор” тех липидов, которые наиболее эффективно обеспечивали усложнение структурно-функциональной организации ЦНС, которым сопровождалась эволюция позвоночных.
Каков характер постепенных изменений фосфолипидов и других липидов мозга в эволюции позвоночных?
Было обнаружено, что в мозге увеличивается общее содержание фосфолипидов на единицу сырого веса ткани, что, вероятно, связано с ростом числа нейронов и их отростков, изменяется соотношение количества фосфатидилхолина к фосфатидилэтаноламину в пользу увеличения последнего, это наблюдается также и в ходе онтогенеза. Существенные изменения претерпевает состав насыщенных жирных кислот фосфолипидов – снижается доля пальмитиновой кислоты (С16:0) и возрастает доля стеариновой (С18:0). Увеличивается количество сфингомиелина и изменяется его жирнокислотный состав: возрастает насыщенность, нервоновая кислота (С24:1), которой много в сфингомиелине рыб, постепенно замещается насыщенной стеариновой (С18:0). Возрастает количество плазмалогенной формы фосфатидилэтаноламина (в этом фосфолипиде в 1 положении находится не жирная кислота, а жирный альдегид, присоединенный простой эфирной связью).
Усложнение организации ЦНС сопровождается увеличением содержания цереброзидов – сложных гликосфинголипидов на основе сфингозина, жирной кислоты и ковалентно присоединенных остатков галактозы или глюкозы. Возрастает количество сульфоцереброзидов – цереброзидов, содержащих сульфат (рис. 7). Они являются специфическими липидными компонентами миелина. В ходе эволюции позвоночных наблюдаются изменения жирнокислотного состава цереброзидов – с усложнением организации увеличивается количество длинноцепочечных насыщенных (лигноцериновая С24:0) и моноеновых (нервоновая С24:1) и снижается доля более коротких пальмитиновой С16:0 и стеариновой С18:0, увеличивается количество гидроксикислот. Аналогичные процессы происходят в ходе онтогенеза. Незрелый мозг млекопитающих по этим параметрам очень похож на мозг примитивного позвоночного миноги, у которой отсутствует миелин.
Рис. 7. Структурная формула цереброзидов и сульфоцереброзидов.
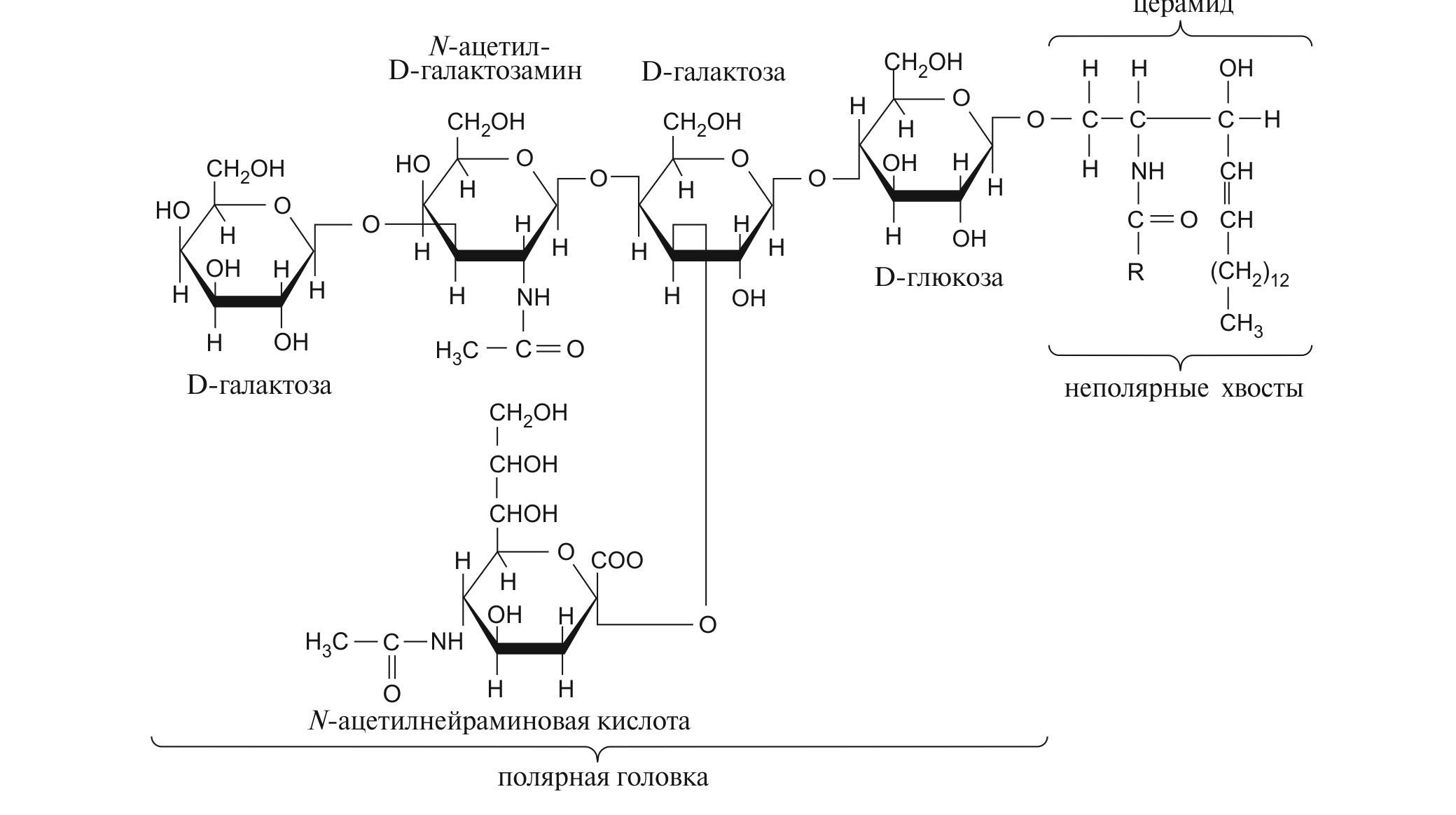
В ходе эволюции позвоночных появляются ганглиозиды – липидные компоненты плазматических мембран. У беспозвоночных они либо отсутствуют, либо присутствуют в крайне незначительных концентрациях. Это одни из самых сложных в структурном отношении гликосфинголипидов, которые содержат один или несколько остатков N-ацетилнейраминовой кислоты, несколько остатков глюкозы и галактозы (рис. 8). Их количество увеличивается от рыб к млекопитающим, по всей вероятности, это отчасти зависит от тех же факторов, что и возрастание общего содержания фосфолипидов на грамм сырой ткани – увеличения массы мембранных структур мозга. Помимо роста количества ганглиозидов по мере усложнения ЦНС в эволюционном ряду позвоночных меняется и состав ганглиозидов – снижается количество полисиалоганглиозидов и возрастает содержание моно- и дисиаловых молекул, снижается содержание моноеновых длинноцепочечных жирных кислот (С22:1, С24:1), увеличивается стеариновая кислота С18:0. Те же закономерности выявляются в ходе онтогенетического развития млекопитающих, иллюстрируя собой закон рекапитуляции Геккеля.
Рис. 8. Структурная формула ганглиозида.
Хорошо известно, что в процессе эволюции позвоночных происходит интенсивное развитие и увеличение массы переднего мозга. Можно было предположить, что наблюдаемые эволюционные различия в липидах целого мозга могут объясняться большей долей переднего мозга у более высокоорганизованных животных. Для проверки этого предположения сотрудниками лаборатории было проведено сравнение состава липидов в гомогенате целого мозга, переднего мозга и ствола мозга у представителей основных классов позвоночных животных. Оказалось, несмотря на наличие некоторых специфических черт, для каждого из отделов характерны те же закономерности изменения состава фосфолипидов, жирных кислот, ганглиозидов, что и для целого мозга.
Существующие в 60–70 гг. прошлого века представления о липидах и их роли не позволяли осмыслить функциональную значимость наблюдаемых эволюционных изменений и понять, почему работа естественного отбора шла в этом направлении. Далеко не все понятно и сегодня. Многие из этих изменений, такие как увеличение сфингомиелина и его насыщенности, плазмалогенной формы фосфатидилэтаноламина, цереброзидов, связаны с усилением миелинизации нервных волокон, обеспечивающей значительно более высокую скорость проведения нервного импульса. Эти же закономерности выявляются в мозге в онтогенезе птиц и млекопитающих, у которых на ранних сроках развития миелин отсутствует.
Хорошо известно, что сфингомиелин, который присутствует в любых клеточных мембранах у всех животных, содержит только насыщенные и небольшое количество моноеновых жирных кислот. Как ясно сегодня, подобный фосфолипид с высоким содержанием насыщенных жирных кислот является необходимым структурным компонентом “упорядоченных” мембранных доменов (липидных рафтов), важнейших сигнальных платформ, характеризующихся высоким содержанием сфингомиелина с насыщенными жирными кислотами, холестерина и ганглиозидов [23, 25]. По всей вероятности, в эволюции позвоночных с усложнением структурно-функциональной организации ЦНС значительно возрастало и значение доменной “разупорядоченности” мембраны для формирования локальных и чрезвычайно динамичных сигнальных комплексов, сортинга белков, внутриклеточной логистики и др. Можно предположить, что более насыщенный сфингомиелин эффективнее обеспечивал подобную внутримембранную дифференцировку. Другие компоненты липидных рафтов – ганглиозиды – выполняют в мембранах нейронов и других клеток мозга огромное количество важнейших функций, обеспечивая межклеточную и внутриклеточную сигнализацию, регулируя нейротрансмиссию, нейрогенез, синаптогенез, дифференцировку нейронов и нейропластичность [10, 16]. Являясь эволюционным приобретением позвоночных, эти липиды, несомненно, были востребованы усложняющимися нейрорегуляторными механизмами.
Удивительные результаты показало исследование состава полиненасыщенных жирных кислот, имеющих две и более двойные связи. В эволюции позвоночных прослеживается важная тенденция – уменьшение омега-3 кислот в фосфолипидах мозга в пользу омега-6. Омега-3 полиненасыщенные кислоты продуцируются несколькими типами микроводорослей и по трофическим связям передаются всем представителям морской и пресноводной фауны [14]. По этой причине их много у рыб. Логично было бы объяснить снижение омега-3 жирных кислот в составе липидов мозга с переходом позвоночных к наземному образу жизни и изменением типа питания. Однако, по всей вероятности, это не единственная, а возможно, и не главная причина, поскольку у вторичноводных млекопитающих (китообразных), возвратившихся к морскому типу питания, состав полиненасыщенных жирных кислот мозга не меняется в обратную сторону. Удивительно, что в мозге самых разнообразных млекопитающих – травоядных, хищников, грызунов, обитателей моря – состав полиненасыщенных жирных кислот фосфолипидов мозга практически идентичен, при этом в других тканях (мышцы, печень) он существенно различается, отражая характер питания [3, 9]. Независимость жирнокислотного состава мозга от типа питания была продемонстрирована сотрудниками лаборатории Крепса и у рыб: обитание дальневосточной нерки в ходе миграции в пресной или морской воде и, соответственно, питание рыбы морским или озерным планктоном существенно влияло на состав жирных кислот мышц и печени, но практически не отражалось на жирнокислотном составе липидов мозга [15].
Сегодня наши знания о функциональной роли длинноцепочечных полиненасыщенных жирных кислот в структурах мозга огромны, без преувеличения можно сказать, что ни один процесс в нервных клетках не проходит без их участия – начиная от формирования специфичного липидного матрикса мембраны, организации внутримембранных доменов и поддержания активности мембранных белков, каналов, рецепторов, до прямого действия жирных кислот на транскрипционные факторы, собственные GPCR рецепторы, регуляцию синапто- и нейрогенеза, продукцию многочисленных биологически активных производных, инициирующих протекание как воспалительных, так и противовоспалительных процессов [8, 12, 13]. Дефицит полиненасыщенных жирных кислот, таких как докозагексаеновая и эйкозапентаеновая, в рационе млекопитающих приводит к уменьшению числа и размеров нейронов гиппокампа, нарушению функционирования G-белок связанных рецепторов и потенциал-зависимых ионных каналов, вызывая снижение пространственной памяти, поведения, способности к обучению, нарушению зрения, психомоторных функций [12, 13, 18]. Учитывая огромное многообразие клеточных эффектов полиненасыщенных жирных кислот в нервной ткани, можно заключить, что в ходе эволюции происходил “отбор” тех липидов, которые наилучшим образом на молекулярном уровне обеспечивали процессы усложнения структурно-функциональной организации мозга.
Совершенно иной принцип “отбора” полиненасыщенных жирных кислот для обеспечения работы нервной системы наблюдается в эволюции насекомых, самых прогрессивных животных другой ветви эволюционного древа – первичноротых. Так же как у позвоночных, в головных ганглиях насекомых содержание ненасыщенных жирных кислот выше, чем в других тканях, однако их состав чрезвычайно разнообразен и в большой степени отражает характер питания, к которому приспособлен данный вид насекомых. В фосфолипидах мозга облигатных фитофагов (саранча) основная полиненасыщенная жирная кислота – альфа-линоленовая С18:3ω3, у водных и амфибиотических насекомых, принадлежащих к трофическим цепям водных экосистем – эйкозапентаеновая С20:5ω3, у тараканов – линолевая С18:2ω6 и в меньшей степени арахидоновая С20:4ω6 [21, 22]. Докозагексаеновая кислота, обязательный компонент липидов мозга всех позвоночных и многих беспозвоночных, у насекомых не обнаруживается ни в мозге, ни в зрительной системе [17, 19, 21, 22]. Анализ генома дрозофил выявил отсутствие элонгаз и десатураз, необходимых для ее синтеза [24]. Однако многие современные данные и результаты исследования мозга насекомых, полученные сотрудниками лаборатории Е.М. Крепса, свидетельствуют о необходимой роли полиненасыщенных жирных кислот различной структуры в работе нервной и зрительной системы насекомых, обеспечении нейро- и синаптогенеза, сложного поведения и даже способности к обучению [7, 20, 22, 27].
Оценивая собранный и проанализированный материал, Евгений Михайлович Крепс выдвигает идею о правомерности использования эписемантических1 молекул для целей установления филогении. Он считал, что липиды мозга, как органа биохимически наиболее консервативного, состав которого в наименьшей степени зависит от особенностей питания и других внешних условий, являются примером эписемантических молекул, которые могут быть успешно использованы для целей филогении. Самые сложные липиды построены из простых компонентов, они везде близки, но нигде не идентичны, то есть обладают высокой функциональной специфичностью. Проведенное исследование большого количества животных разного уровня организации позволило Е.М. Крепсу выяснить, какие липиды могут быть показателями более высокого уровня развития нервной системы и, соответственно, отнесены к “прогрессивным”, а какие нет.
Замечательный пример использования анализа липидов мозга для целей установления филогенетического родства дают данные Крепса и его сотрудников, полученные на хрящевых рыбах – акулах и скатах. Вопреки ожиданиям, по самым разнообразным параметрам липидной биохимии мозга акулы и скаты оказались значительно ближе к амфибиям и наземным позвоночным, чем к филогенетически более молодым костистым рыбам, которые обнаружили признаки более примитивной липидной организации. К числу подобных параметров относятся: соотношение плазмалогенной и диацильной форм фосфатидилэтаноламина, количество докозагексаеновой кислоты в фосфатидилхолине и фосфатидилэтаноламине, насыщенность сфингомиелина, уровень цереброзидов и сульфоцереброзидов, соотношение нормальных и гиддроксикислот в цереброзидах, количество ганглиозидов. Схожие результаты спустя почти 20 лет после смерти Евгения Михайловича были получены норвежскими учеными при анализе жирнокислотного состава липидов мозга различных рыб: по содержанию арахидоновой кислоты и эйкозапентаеновой кислот хрящевые рыбы заметно отличались от костистых и по этим показателям были близки высшим позвоночным [26].
По мнению Крепса, костистые рыбы – это специализированная группа, эволюционный тупик, а предками наземных позвоночных были, вероятно, водные формы, обладавшие биохимическими признаками, которые сохраняются у ныне живущих акул и скатов и у наземных потомков этих древних прародителей.
В то время, когда Евгением Михайловичем были получены данные о схожести хрящевых рыб и высших позвоночных в отношении состава липидов мозга, основными инструментами эволюционистов было установление фенотипической схожести и данные палеонтологии. Современные возможности оценки филогенетического родства с помощью методов молекулярной биологии (так называемая филогеномика) замечательно подтверждают взгляды Евгения Михайловича на филогению рыб, основанные на изучении липидов мозга. По данным транскриптомики [11], полученным при анализе нескольких тысяч генов, оказывается, что хрящевые рыбы (Chondrichthyes) стали предками костных рыб (Actinopterygii), которые потом разделились на костистых рыб и хрящевых ганоидов, и лопастеперых рыб (подкласс Sarcopterygii). Лопастеперые рыбы (подкласс Sarcopterygii), к которым относятся двоякодышащие и кистеперые (латимерия – единственный сохранившийся вид), являются предками всех Tetrapoda. Sarcopterygii отделились от хрящевых предков раньше, чем Actinopterygii, почти на 50 млн лет, поэтому вполне могли сохранить черты, присущие хрящевых рыбам, а костистые рыбы, как и считал Крепс, – специализированная тупиковая группа, достигшая при этом огромного разнообразия и заселившая все воды нашей планеты. Таким образом, полученные данные свидетельствуют не о прогрессивном уровне развитии хрящевых рыб (хотя они и обладают рядом прогрессивных черт, таких как живорождение, высокие гидродинамические свойства, развитой передний мозг), а скорее о потере костистыми рыбами в ходе их эволюционного развития тех черт липидной организации, которыми обладал их общий предок.
ЗАКЛЮЧЕНИЕ
Евгений Михайлович Крепс создал и развил в Институте эволюционной физиологии им. И.М. Сеченова новое научное направление – эволюционную биохимию липидов головного мозга. Успех этого направления стал возможен благодаря сочетанию использования новых современных методов анализа липидного состава, высокой квалификации сотрудников и возможностью получения самого разнообразного и, как правило, уникального биоматериала во время океанских экспедиций. Е.М. Крепс смог организовать эффективную работу по сбору и анализу первичного материала, благодаря чему в 60–80-х гг. прошлого века был опубликован большой цикл статей, объединенных затем в монографию “Липиды клеточных мембран”, увидевшую свет в 1985 г. И сегодня, по прошествии многих лет, несмотря на снижение интереса к классической сравнительной биохимии, материалы этой книги представляют большую ценность, в связи с чем представляется крайне важным ее перевод и издание на английском языке, что не было сделано в свое время. Научные изыскания Евгения Михайловича Крепса и его сотрудников представляют собой нечастый пример осуществления успешного крупного проекта в области фундаментальных исследований, длившегося два десятилетия и фактически создавшего новое направление в науке. Залогом успеха в данном случае выступала, несомненно, сама личность Крепса, сочетавшего в себе таланты крупного, разносторонне образованного ученого и организатора науки. Предложенный А.Н. Северцовым эволюционный подход к классическим биологическим направлениям был реализован в трудах ученика И.П. Павлова, академика Л.А. Орбели, который сформулировал основные принципы эволюционной физиологии. Заслуга Е.М. Крепса состоит в развитии идей эволюционной биохимии. И сегодня, соединенные вместе в Институте эволюционной физиологии и биохимии им. И.М. Сеченова РАН, обе науки эффективно дополняют друг друга, позволяя гораздо глубже понять механизм работы той или иной функциональной системы с точки зрения ее физиологической и биохимической эволюционной истории (рис. 9).
Рис. 9. Е.М. Крепс у памятника Л.А. Орбели перед зданием Института эволюционной физиологии и биохимии им. И.М. Сеченова, Ленинград, 1985 г.
ИСТОЧНИКИ ФИНАНСИРОВАНИЯ
Исследование выполнено в рамках Государственного задания Института эволюционной физиологии и биохимии им. И.М. Сеченова Российской академии наук (№ 075-00264-24-00).
1 Семантические молекулы – те, которые несут информацию генов или ее запись (ДНК, РНК, белки); эписемантические молекулы – синтезируются под контролем белков (третичных семантидов). Создаются ферментами без участия матрицы.
Sobre autores
R. Parnova
Sechenov Institute of Evolutionary Physiology and Biochemistry of the Russian Academy of Sciences
Autor responsável pela correspondência
Email: rimma_parnova@mail.ru
Rússia, St. Petersburg, 194223
M. Firsov
Sechenov Institute of Evolutionary Physiology and Biochemistry of the Russian Academy of Sciences
Email: michael.firsov@gmail.com
Rússia, St. Petersburg, 194223
Bibliografia
- Аврова Н.Ф. Евгений Михайлович Крепс. В кн. “Институт эволюционной физиологии и биохимии им. И.М. Сеченова Российской академии наук. Страницы истории” // Под ред. М.Л. Фирсова, А.О. Шпакова. СПб.: Изд-во Политех. ун-та, 2016. C. 414-426.
- Крепс Е.М. На “Витязе” к островам Тихого океана. М.: Географгиз,. 1959.
- Крепс Е.М. Липиды клеточных мембран. Л.: Наука, 1981.
- Крепс Е.М. Последняя экспедиция “Витязя”. М.: Мысль, 1983.
- Крепс Е.М. О прожитом и пережитом. М.: Наука, 1989.
- Наточин Ю.В., Розенгарт Е.В. Фундамент фундаментальности (К 100-летию со дня рождения академика Е.М. Крепса) // Вестн. РАН. 1999. Т. 69. С. 337–343.
- Arien Y., Dag A., Zarchin S., Masci T., Shafir S. Omega-3 deficiency impairs honey bee learning // Proc. Natl. Acad. Sci. USA. 2015. V. 112. № 51. P. 15761–15766. https://doi.org/10.1073/pnas.1517375112
- Bazinet R.P., Laye S. Polyunsaturated fatty acids and their metabolites in brain function and disease // Nat. Rev. Neurosci. 2014. V. 15. № 12. P. 771–785. https://doi.org/10.1038/nrn3820
- Crawford M.A., Casperd N.M., Sinclair A.J. The long chain metabolites of linoleic avid linolenic acids in liver and brain in herbivores and carnivores // Comp. Biochem. Physiol. B. 1976. V. 54. № 3. P. 395–401. https://doi.org/10.1016/0305-0491(76)90264-9
- Furukawa K., Ohmi Y., Tajima O. et al. Gangliosides in Inflammation and Neurodegeneration // Prog. Mol. Biol. Transl. Sci. 2018. V. 156. P. 265–287. https://doi.org/10.1016/bs.pmbts.2018.01.009
- Irisarri I., Baurain D., Brinkmann H. et al. Phylotranscriptomic consolidation of the jawed vertebrate timetree // Nat. Ecol. Evol. 2017. V. 1. № 9. P. 1370–1378. https://doi.org/10.1038/s41559-017-0240-5
- Janssen C.I., Kiliaan A.J. Long-chain polyunsaturated fatty acids (LCPUFA) from genesis to senescence: the influence of LCPUFA on neural development, aging, and neurodegeneration // Prog. Lipid Res. 2014. V. 53. P. 1–17. https://doi.org/10.1016/j.plipres.2013.10.002
- Javanainen M., Enkavi G., Guixa-Gonzalez R. et al. Reduced level of docosahexaenoic acid shifts GPCR neuroreceptors to less ordered membrane regions // PLoS Comput. Biol. 2019. V. 15. № 5. e1007033. https://doi.org/10.1371/journal.pcbi.1007033
- Khozin-Goldberg I., Iskandarov U., Cohen Z. LC-PUFA from photosynthetic microalgae: occurrence, biosynthesis, and prospects in biotechnology // Appl. Microbiol. Biotechnol. 2011. V. 91. № 4. P. 905–915. https://doi.org/10.1007/s00253-011-3441-x
- Kreps E.M., Chebotarëva M.A., Akulin V.N. Fatty acid composition of brain and body phospholipids of the anadromous salmon, Oncorhynchus nerka, from fresh-water and marine habitat // Comp. Biochem. Physiol. 1969. V. 31. № 3. P. 419–430.
- Ledeen R., Wu G. Gangliosides of the Nervous System // Methods Mol. Biol. 2018. V. 1804. P. 19–55. https://doi.org/10.1007/978-1-4939-8552-4_2
- Mackei M., Sebők C. Vöröházi J. et al. Detrimental consequences of tebuconazole on redox homeostasis and fatty acid profile of honeybee brain // Insect Biochem. Mol. Biol. 2023. V. 159. 103990. https://doi.org/10.1016/j.ibmb.2023.103990
- Mocking R.J., Harmsen I., Assies J. et al. Meta-analysis and meta-regression of omega-3 polyunsaturated fatty acid supplementation for major depressive disorder // Transl. Psychiatry. 2016. V. 6. № 3. e756. https://doi.org/10.1038/tp.2016.29
- Muñoz Y., Fuenzalida K., Bronfman M. et al. Fatty acid composition of Drosophila photoreceptor light-sensitive microvilli // SBiol. Res. 2013. V. 46. № 3. P. 289–294. https://doi.org/10.4067/S0716-97602013000300010
- de Oliveira Souza A., Couto-Lima C.A., Catalao C.H.R. et al. Neuroprotective action of Eicosapentaenoic (EPA) and Docosahexaenoic (DHA) acids on Paraquat intoxication in Drosophila melanogaster // Neurotoxicology. 2019. V. 70. P. 154–160. https://doi.org/10.1016/j.neuro.2018.11.013
- Parnova R.G. Polyunsaturated fatty acids in phospholipids of the cockroaches central nervous system (Blattoptera, Insecta) // J. Evol. Biochem. Physiol. 1982. V. 18. № 6. P. 611–613.
- Parnova R.G., Svetashev V.I. Polyunsaturated fatty acids in tissue lipids of aquatic insects // J. Evol. Biochem. Physiol. 1985. V. 21. P. 139–144.
- Sezgin E., Levental I., Mayor S., Eggeling C. The mystery of membrane organization: composition, regulation and roles of lipid rafts // Nat. Rev. Mol. Cell. Biol. 2017. V. 18. № 6. P. 361–374. https://doi.org/10.1038/nrm.2017.16
- Shen L.R., Lai C.Q., Feng X. et al. Drosophila lacks C20 and C22 PUFAs // J. Lipid Res. 2010. V. 51. № 10. P. 2985–2992. https://doi.org/10.1194/jlr.M008524
- Simons K., Toomre D. Lipid rafts and signal transduction // Nat. Rev. Mol. Cell. Biol. 2000. V. 1. № 1. P. 31–39. https://doi.org/10.1038/35036052
- Stoknes I.S., Økland H.M.W., Falch E., Synnes M. Fatty acid and lipid class composition in eyes and brain from teleosts and elasmobranchs // Comp. Biochem. Physiol. B. 2004. V. 138. № 2. P. 183–191.
- Ziegler A.B., Ménagé C., Grégoire S. et al. Lack of dietary polyunsaturated fatty acids causes synapse dysfunction in the Drosophila visual system // PLoS One. 2015. V. 10. № 8. e0135353. https://doi.org/10.1371/journal.pone.0135353
Arquivos suplementares











