Повышение яркости космического фонового радиоизлучения в направлении на скопления галактик
- Authors: Гребенев С.А.1, Сюняев Р.А.1,2
-
Affiliations:
- Институт космических исследований РАН
- Институт астрофизики Общества им. Макса Планка
- Issue: Vol 50, No 3 (2024)
- Pages: 183-207
- Section: Articles
- URL: https://journal-vniispk.ru/0320-0108/article/view/266588
- DOI: https://doi.org/10.31857/S0320010824030013
- EDN: https://elibrary.ru/NSGEBQ
- ID: 266588
Cite item
Full Text
Abstract
Исследована возможность регистрации в направлении скоплений галактик избытка космического фонового радиоизлучения из-за его комптоновского рассеяния на электронах горячего межгалактического газа. При картографировании флуктуаций фона на частотах ниже ≤ 800 МГц этот эффект ведет к появлению на месте скопления радиоисточника. На более высоких частотах, где в космическом фоне доминирует микроволновое (реликтовое) излучение, на месте скопления наблюдается “отрицательный” источник (“тень” на карте флуктуаций фона), что связано с переносом при рассеянии части реликтовых фотонов вверх по оси частот (в область ν ≥ 217 ГГц, Сюняев, Зельдович, 1970, 1972). В работе рассчитаны спектры ожидаемых искажений фонового радиоизлучения для разных параметров скоплений, показано, что во многих случаях в широком диапазоне частот 30 МГц ≤ ν ≤ 3 ГГц измерению искажений будет препятствовать собственное тепловое (тормозное) излучение межгалактического газа, а также рассеянное радиоизлучение галактик скоплений, связанное с их былой активностью, включая синхротронное излучение выброшенных релятивистских электронов. Ниже ~20 МГц эффект рассеяния всегда преобладает над тепловым излучением газа из-за общего роста интенсивности космического радиофона, однако высокоточные измерения на таких частотах становятся сложными. Ниже ~5 МГц эффект подавляется индуцированным рассеянием. В работе найдены диапазоны частот, оптимальные для поиска и измерения комптоновского избытка фонового радиоизлучения. Показано, что наиболее перспективны для его наблюдения горячие (kTe ≥ 8 кэВ) скопления, находящиеся на больших (z ≥ 0.5) красных смещениях. Из-за сильной концентрации тормозного излучения к центру скопления периферийные наблюдения комптоновского избытка должны быть предпочтительнее центральных. Более того, благодаря тепловому излучению газа и его концентрации к центру, отмеченный выше переход от “отрицательного” источника на карте флуктуаций фона к “положительному” при движении вниз по оси частот должен происходить не плавно, а через стадию “гибридного источника” – появления яркого пятна, окруженного темным кольцом. Такой вид источника в проекции объясняется его необычной трехмерной формой в виде узкого пика тормозного радиоизлучения, поднимающегося из центра широкой глубокой ямы, связанной с комптоновским рассеянием реликтового излучения. Рассеянное излучение активной в прошлом центральной галактики скопления может усилить эффект. Аналогичный “гибридный источник” появляется на карте флуктуаций фона и вблизи частоты 217.5 ГГц – при переходе от дефицита реликтового изучения к избытку (за счет фотонов, испытавших рассеяние). Необычная форма источника при этом вновь связана с тепловым излучением газа. Одновременные измерения потока тормозного радиоизлучения газа и амплитуды искажений из-за рассеяния фонового радио- и реликтового излучения позволят определять важнейшие параметры скопления.
Full Text
ВВЕДЕНИЕ
Эффект понижения яркости микроволнового фонового излучения в направлении на скопления галактик (Сюняев, Зельдович, 1970, 1972, 1980, 1981; Зельдович, Сюняев, 1982) широко используется для исследования свойств скоплений и других объектов ранней Вселенной и их эволюции. Понижение яркости связано с недостатком фотонов реликтового излучения относительно планковского спектра на частотах меньших ν0 217 ГГц из-за их смещения вверх по оси частот при комптоновском рассеянии на электронах горячего (kTe ~ 3–15 кэВ) межгалактического газа скопления. Здесь hν0 3.83 kTm, где Tm = 2.7255 K – современное значение температуры реликтового излучения. На карте микроволнового фона в направлении на скопление появляется “тень” (“отрицательный” источник). На частотах ν ν0 образуется избыток фотонов, и на карте фона вспыхивает “положительный” источник. Действие эффекта определяется оптической толщей газа в скоплении по рассеянию на электронах , т.е. пропорционально плотности газа вдоль луча зрения, а не квадрату плотности (подобно яркости теплового излучения газа). Здесь – сечение томсоновского рассеяния, Ne(l) – плотность электронов. Амплитуда эффекта (падение спектральной плотности потока) не уменьшается с расстоянием до скопления (его красным смещением z), не зависит от z и форма спектра искажений фона. Благодаря этим свойствам эффект широко используется для определения параметров известных скоплений и для поиска новых скоплений.
Наблюдения эффекта успешно велись специально построенными телескопами SPT (Телескоп на Южном полюсе, Карлстром и др., 2002; Вилльямсон и др., 2011; Блим и др., 2015, 2020) и ACT (Космологический телескоп в Атакаме, Хазелфилд и др., 2013; Хилтон и др., 2021), рядом других телескопов (Биркиншоу, 1999); огромный вклад в исследование эффекта внес спутник PLANCK (Коллаборация PLANCK, 2014, 2015, 2016). Еще несколько специализированных приборов и телескопов должны в ближайшее время включиться в масштабные исследования эффекта (см. обзор Мрочковского и др., 2019).
Выборки скоплений галактик, обнаруженных благодаря эффекту, оказываются гораздо более представительными на больших (z 0.5) красных смещениях, чем выборки скоплений, найденных по рентгеновским данным. Поэтому зависимости числа скоплений от их массы йот z, полученные по таким выборкам, эффективно используются для получения ограничений на параметры космологических моделей Вселенной (например, де Хаан и др., 2016).
Широко обсуждается возможность наблюдения подобного эффекта в других диапазонах длин волн. Так, Гребенев, Сюняев (2019) рассчитали искажения, появляющиеся в спектре космического рентгеновского и мягкого гамма-фона при его комптоновском рассеянии и фотопоглощении в горячем газе скоплений галактик. Сабир и др. (2022) исследовали искажения, возникающие при обратном комптоновском рассеянии в спектре инфракрасного космического фона. Курей (2006) рассмотрел искажения, возникающие при рассеянии на электронах в профиле линии 21 см фонового радиоизлучения. Совсем недавно Холдер, Хлуба (2021) и Ли и др. (2022) рассмотрели аналогичные искажения уже в самом непрерывном спектре радиофона.
Космическое фоновое радиоизлучение доминирует над реликтовым на частотах ниже ~1 ГГц. Оно было открыто в балонном эксперименте ARCADE 2 (Фиксен и др., 2011) в ходе высокоточных измерений и вначале обсуждалось как загадочный “ARCADE excess”. Измерения ARCADE 2 были дополнены радарными наблюдениями на низких 22 и 45 МГц частотах (Маеда и др., 1999; Роджер и др., 1999), обзором неба LLFSS на частотах 40–80 МГц (Давел, Тайлор, 2018) и обзорами на 408 МГц (Ремазейл и др., 2015) и 1.4 ГГц (Райх и др., 2001). Было показано, что в широком интервале длин волн радиофон имеет степенной синхротронный спектр со спектральным индексом α = 0.58 ± 0.05. Природа фона до сих пор неизвестна; с радиогалактиками, активными ядрами галактик и другими слабыми компактными источниками удается связать не более 25% фонового излучения (Сейферт и др., 2011; Канден и др., 2012; Хардкастл и др., 2021). Другие обсуждаемые причины его существования также не выглядят убедительными (см. Сингал и др., 2023). В любом случае, как и положено фону, это радиоизлучение характеризуется высокой степенью изотропии и однородности.
Оценки Холдера, Xлубы (2021) продемонстрировали, что комптоновское рассеяние фонового радиоизлучения на электронах горячего газа скопления повышает его яркость на всех частотах (изменение яркостной температуры ΔТ достигает ~1 мК). Вблизи частоты ν2 802 МГц это повышение полностью компенсирует упомянутое выше понижение яркости микроволнового фонового излучения. Т.е. на частотах ν ν2 на карте фона в направлении на скопление вместо “тени” вновь появляется “источник”.
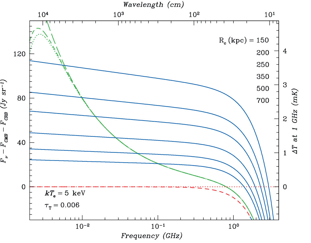
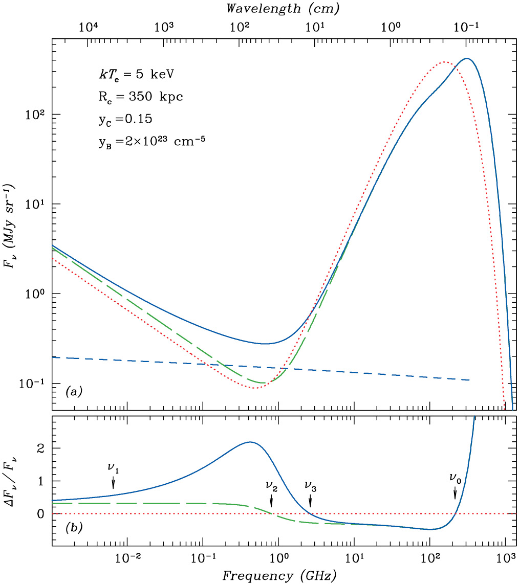
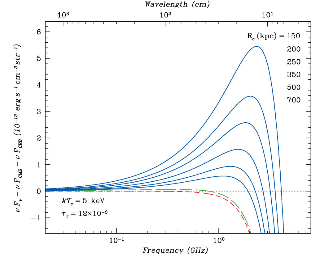
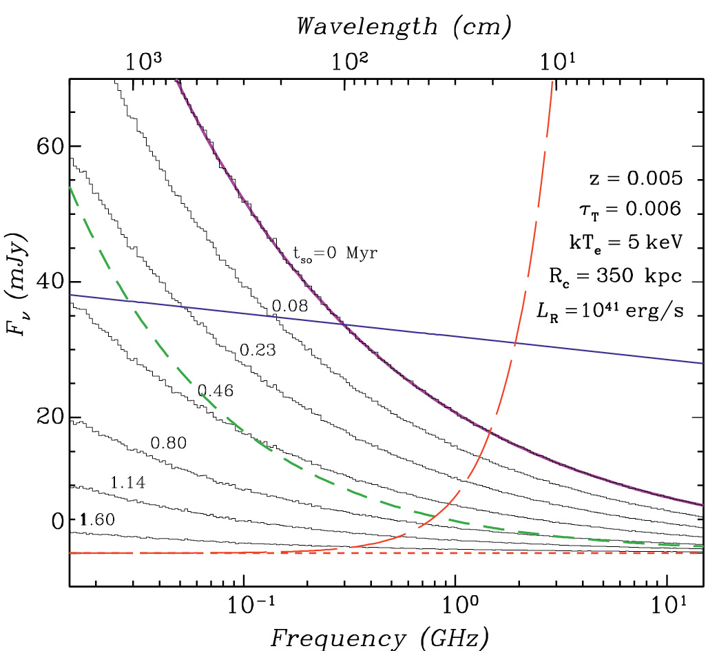
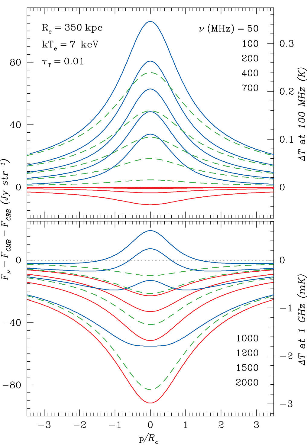
На рис. 1а искаженный в газе скопления спектр фонового излучения, рассчитанный согласно Холдеру, Хлубе (2021), показан длинными зелеными штрихами. Неискаженный спектр (сумма космического радио и микроволнового фона) обозначен пунктирной красной линией. Комптоновский параметр скопления, определяющий амплитуду искажений спектра, здесь сильно завышен, , но в целом рисунок правильно передает действие комптоновского рассеяния на спектр фона. В типичных скоплениях галактик параметр yC имеет намного меньшее значение, например, в скоплении с температурой электронов kTe = 5 кэВ и оптической толщей газа по центру облака τт = 0.01 он равен yC = 1 × 10–4.
Рис. 1. (a) Спектр фонового радио- и микроволнового излучения (красная пунктирная кривая) и соответствующий искаженный спектр из-за рассеяния на электронах горячего газа скопления галактик (зеленые длинные штрихи), а также вклада тормозного излучения этого газа (синяя сплошная линия, спектр самого тормозного излучения показан штриховой прямой линией). Демонстрационный расчет для гипотетического скопления с однородным распределением плотности, радиусом Rc = 350 кпк, температурой kTe = 5 кэВ и комптоновским yC = = 0.15 и тормозным yB = 2 × 1023 см−5 параметрами, в действительности и определяющими амплитуды искажений (у реальных скоплений yC и yB имеют на три порядка меньшие значения). (b) Относительные искажения спектра фонового излучения в направлении на это скопление (сплошая синяя кривая учитывает тормозное излучение газа). Указаны частоты ν2 ≃ 802 МГц (равенства по абсолютной величине комптоновских искажений радио и микроволнового фона), ν1 и ν3 (равенства потока тормозного излучения и комптоновского избытка в спектре радиофона, либо комптоновского провала в спектре реликтового излучения) и ν0 = 217 ГГц (перехода от недостатка фотонов к избытку в этом спектре).
В настоящей работе показано, что эффект, предсказанный Холдерой, Хлубой (2021) и более строго рассчитанный Ли и др. (2021), в большинстве скоплений наблюдать не удастся. В дециметровом, метровом и декаметровом диапазонах длин волн (частоты ν 5 ГГц) собственное тормозное излучение горячего межгалактического газа в таких скоплениях заметно превышает по потоку и полностью подавляет комптоновские искажения радио- и микроволнового фона. Это иллюстрирует рис. 1a, на котором спектр фона (зеленые длинные штрихи) с учетом тормозного излучения (синие короткие штрихи) показан сплошной синей линией. Видно, что собственное излучение газа доминирует в общем спектре радиоизлучения, регистрируемого в направлении на скопление, и лишь на частотах меньше ν1 ≃ 10 МГц его поток сравнивается с комптоновскими искажениями радиофона (из-за общего увеличения яркости фона).
Еще лучше это видно на рис. 1b, на котором приведены относительные искажения фонового излучения в направлении на это скопление (с учетом и без учета вклада тормозного излучения межгалактического газа). Отметим, что в демонстрационных целях мера эмиссии газа в направлении центра этого гипотетического скопления была сильно завышена, (суммирование идет по ионам плазмы, Z – заряд ядра иона). В действительности она обычно на 2–3 порядка меньше (для упомянутого скопления с ). Далее в статье будут рассчитаны точные значения упомянутой выше частоты ν1 и частоты ν3, на которой поток тормозного излучения газа полностью компенсирует комптоновское понижение яркости реликтового излучения, для реалистичных значений параметров скоплений.
С учетом малости (в тысячу раз меньше принятых значений) параметров уC и уB у типичных скоплений галактик рис. 1b подразумевает, что рассмотренные в статье искажения спектра фонового радио (и сантиметрового реликтового) излучения малы по абсолютной величине (составляют доли процента от уровня самого фона) и находятся на пределе чувствительности современных телескопов. Тем не менее быстрое развитие радиоастрономии, связанное с введением в строй новых радиотелескопов и радиоинтерферометров, таких как GMRT (Вентури и др., 2008), LOFAR (ван Хаарлем и др., 2013), МеегКАТ (Джонас и др., 2016), ALMA/ACA (Ди Масколо, 2020), ASKAP (Хотан и др., 2021), SKA (Бэкон и др., 2020), CHIME (Амири и др., 2021), Tianlei DPA (By и др., 2021), обещает в ближайшее время заметное повышение точности и чувствительности радиоизмерений и обеспечение способности картографирования неба на разных частотах с высоким угловым разрешением. Это гарантирует возможность измерения тонких эффектов, обсуждаемых в статье.
СПЕКТР ФОНА И ЕГО ИСКАЖЕНИЯ
Напомним основные физические процессы, приводящие к искажениям спектра фонового излучения при его взаимодействии с горячим межгалактическим газом скопления.
Комптоновское рассеяние. Взаимодействие фонового излучения с высокотемпературными электронами в газе скоплений галактик будем рассматривать путем решения уравнения Компанейца (1956), описывающего перераспределение фотонов по частотам в диффузионном приближении. Ранее таким путем были получены оценки искажений в спектре реликтового излучения, возникающих в скоплениях (Сюняев, Зельдович, 1980; Зельдович, Сюняев, 1982). Возможность применения этого уравнения в случае оптически тонкого газа, характерного для скоплений, была проверена и подтверждена Сюняевым (1980).
Уравнение Компанейца имеет вид
(1)
где Fν – спектральная интенсивность фонового излучения. Нелинейный член ~ в правой части уравнения учитывает индуцированное рассеяние, первый член ~ Fν отвечает за эффект отдачи, он в ~ kTe/hν ~ 1010 раз меньше последнего (доплеровского) члена.
Искажения спектра реликтового излучения. Пренебрегая первыми двумя членами, подставим в уравнение (1) планковский спектр микроволнового фонового излучения,
Bν = 2hν3/c2 [exp(hν//kTm) – 1]–1.
Получаем хорошо известный спектр искажений интенсивности реликтового излучения в направлении на центр скопления
(2)
Здесь , a – введенный ранее комптоновский параметр, определяющий амплитуду искажений. В пределе x 1 (ν 57 ГГц) относительные искажения планковского спектра отрицательны и не зависят от частоты ÄBν/Bν –2yC.
Искажения спектра радиоизлучения. Согласно Фиксену и др. (2011) и Давелу, Тайлору (2018), интенсивность фонового радиоизлучения в нашу (z = 0) эпоху зависит от частоты степенным образом, в терминах яркостной температуры
(3)
где , . Подставляя в правую часть уравнения интенсивность излучения в виде Fr(ν) = F* ν–α, где α = 0.58 ± 0.05, находим спектр его относительных искажений
(4)
Таким образом, относительная амплитуда эффекта для фонового радиоизлучения вновь пропорциональна комптоновскому параметру уС, но при этом всегда положительна и не зависит от частоты ν (Холдер, Хлуба, 2021).
Искажения фоновых потоков микроволнового ΔBν и радиоизлучения ΔFr сравниваются по абсолютной величине (компенсируют друг друга) на частоте которая не зависит от параметров газа в скоплении (Холдер, Хлуба, 2021).
Искажения из-за индуцированного рассеяния. Интенсивность радиофона на частотах ν 2.5 ГГц соответствует числу заполнения , а значит априори пренебрегать в уравнении (1) членом, отвечающим за индуцированное комптоновское рассеяние, нельзя. Сохраняя этот член и вновь подставляя в правую часть уравнения интенсивность излучения в виде , получаем
(5)
Вклад индуцированного комптоновского рассеяния имеет отрицательный знак. Это естественно, т.к. оно приводит к уходу низкочастотных фотонов вниз по оси частот (Сюняев, 1970). По абсолютной величине этот вклад сравнивается с доплеровским членом при ν 4 1.3 (kTe/5 кэВ)–0.39 МГц, на более низких частотах яркость радиофона оказывается вновь пониженной.
Тормозное излучение межгалактического газа. Поверхностная яркость тормозного излучения изотермического горячего газа в скоплении галактик в направлении на его центр равна (Ленг, 1978)
(6)
где постоянная
а фактор Гаунта
(, Te выражено в K, ν – в Гц). Используя введенный ранее тормозной параметр газа в скоплении (меру эмиссии газа вдоль луча зрения) yB, выражение (6) можно представить в виде
(7)
Сопоставляя уравнения (7) и (4), можно найти частоту ν1, на которой искажения фонового радиоизлучения ∆FR и вклад тормозного излучения FВ сравниваются друг с другом. Аналогично, сопоставляя уравнения (7) и (2), можно найти частоту ν3, на которой искажения микроволнового фонового излучения ΔBν в пределе ν 57 ГГц по абсолютной величине сравниваются с вкладом тормозного излучения Fb (они компенсируют друг друга). В отличие от частоты ν2 эти частоты не являются универсальными и зависят определенным образом от температуры и плотности межгалактического газа.
Тормозное поглощение межгалактическим газом.Тормозные процессы приводят также к поглощению фонового радиоизлучения на низких частотах. Оптическая толща по этому процессу по центру скопления равна (Ленг, 1978)
(8)
где FB(ν) подставлено из формулы (7). Соответственно, связанное с тормозным поглощением в межгалактическом газе искажение спектра фонового радиоизлучения, дополнительное к комптоновским искажениям, описанным выражениями (4)–(5), равно
(9)
Само тормозное излучение тоже поглощается, но в меньшей степени, поскольку его интенсивность набирается уже внутри скопления (вдоль луча зрения).
МОДЕЛЬНОЕ СКОПЛЕНИЕ
Для ясности и простоты будем сначала считать газ в скоплении распределенным однородно и имеющим одну и ту же температуру.
Скопление с однородным распределением плотности. Рассмотрим сферически-симметричное облако горячего газа в скоплении с плотностью электронов Ne и температурой Te, имеющее радиус Rc. Оптическая толща такого облака по томсоновскому рассеянию вдоль луча зрения, проходящего через его центр, равна . Тогда плотность электронов в облаке газа типичного скопления с толщей τТ = 0.01 и радиусом Rc = 350 кпк равна Ne 7.0 × 10–3 см–3. Масса газа в облаке Mg 3.5 × 1013 /0.01)(rс/350 кпк)2 M¤. Полная масса M500 соответствующего реального (с учетом “темной” материи) скопления должна быть по крайней мере на порядок величины больше. Это – скопление умеренной массы, подобное скоплению в созвездии Волосы Вероники (Coma).
Выше и далее мы полагаем, что водород, гелий, кислород в газе скопления имеют нормальные космические обилия по массе, X 0.74, Y 0.24 и O 0.01 (Камерун, 1986) соответственно, Ne (X + 0.5 Y + 0.5 O) ρ/тр 0.87ρ/ /тр, входящий в формулу для расчета тормозного параметра межгалактического газа множитель Ʃ Z 2NZ (X + Y + 4 O) ρ/тр 1.02 ρ/тр, а сам этот параметр yB = 2ƩZ 2NzNeRc 2.36 Ne2Rc. При температурах, характерных для газа в скоплениях галактик, указанные элементы полностью ионизованы. Более тяжелые элементы принимать в расчет не будем.
Фоновое излучение считаем падающим на облако изотропно, соответственно, рассчитывая спектр выходящего из облака излучения, усредняем его по углам. Считаем фоновое радиоизлучение, независимо от его природы (космологическое или связанное с неразрешенными радиогалактиками), полностью сформировавшимся на больших красных смещениях (z > z* скопления). Если это не так, и какая-то доля радиофона формируется на z < z*, амплитуду комптоновских искажений его спектра следует соответственно уменьшить (на эту долю).
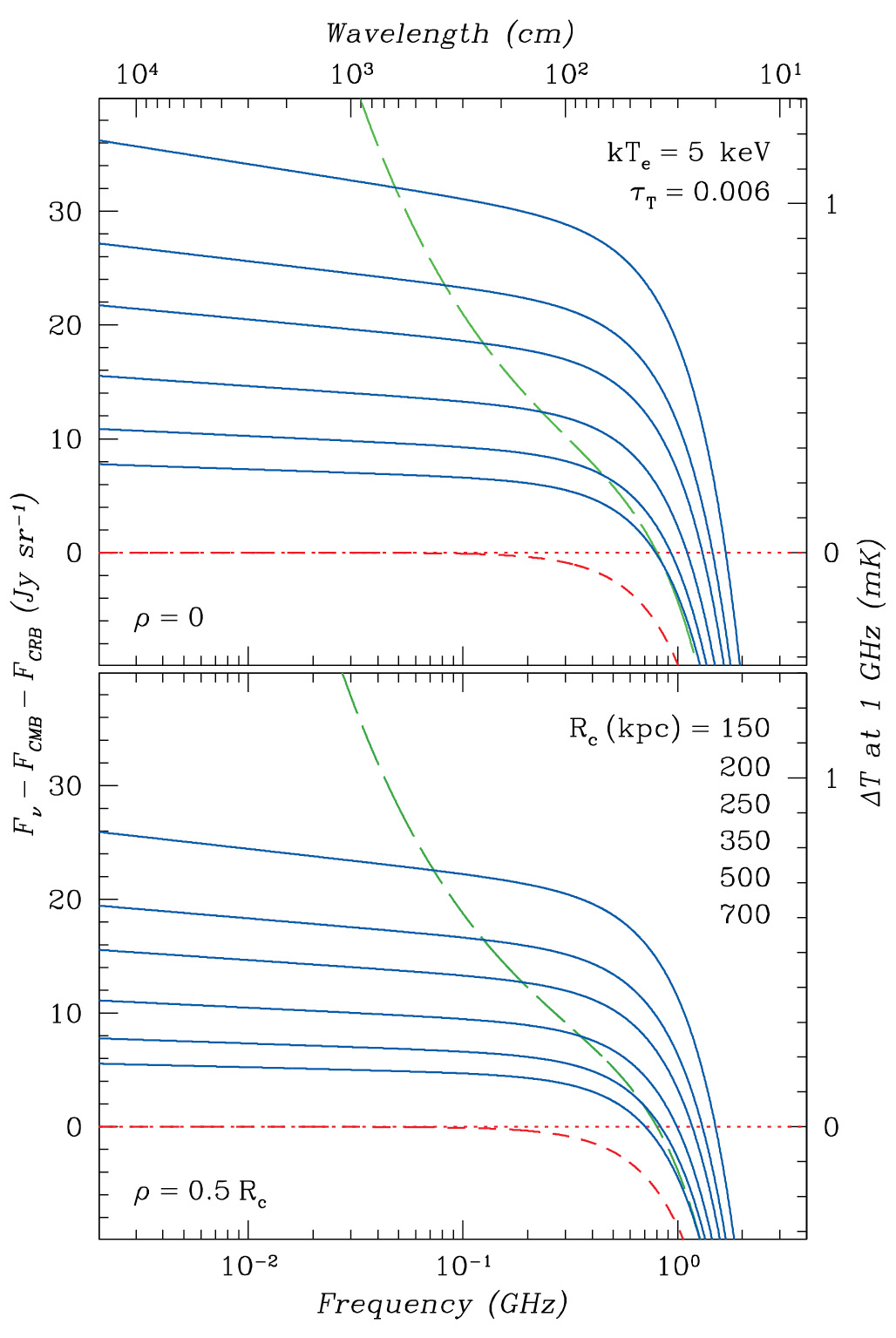
Расчет искажений фона. На рис. 2 сплошными синими линиями показан вклад тормозного излучения межгалактического газа в спектр искажений фонового (радио- и микроволнового) излучения, который должен измеряться в направлении на скопление галактик (предполагается, что измерения проводятся в направлении на центр скопления). Скопление считается близким – расположенным на красном смещении z 1. Разные линии соответствуют разным радиусам Rc облака газа (и, соответственно, разным плотностям электронов Ne в нем), томсоновская толща облака на луче зрения по центру скопления τТ = 0.006, температура электронов kTe = 5 кэВ. Кривые учитывают также искажение реликтового излучения из-за рассеяния на электронах горячего газа скопления (именно с ним связано падение потока на высоких частотах, отдельно оно показано красными короткими штрихами). Собственно искажение фонового радио- и микроволнового излучения из-за обратного комптоновского рассеяния на электронах горячего газа показано зелеными длинными штрихами. С учетом индуцированного рассеяния это же искажение показано зелеными короткими штрихами. Индуцированное рассеяние сдвигает фотоны вниз по оси частот, понижая амплитуду комптоновских искажений фона на совсем низких ν 10 МГц частотах. Еще один эффект, понижающий амплитуду искажений, – тормозное поглощение радиоизлучения в горячем газе скопления. Он показан зеленой пунктирной линией дополнительно к вкладу индуцированного рассеяния. В дальнейшем оба этих эффекта не будут учитываться, если специально не оговорено обратное.
Рис. 2. Сравнение искажений фонового радиоизлучения из-за его рассеяния на электронах горячего газа скопления галактик (зеленые длинные штрихи) и из-за вклада тормозного излучения этого газа (сплошные синие линии, соответствующие разным радиусам Rc скопления). В обоих случаях учтены искажения реликтового излучения из-за рассеяния на электронах (отдельно они показаны красными короткими штрихами). Зелеными короткими штрихами показано уменьшение искажений из-за индуцированного рассеяния, зеленым пунктиром — еще и из-за тормозного поглощения радиоизлучения в газе. Расчет для близкого (z 1) скопления с однородным распределением плотности, температурой kTe = 5 кэВ и томсоновской толщей вдоль луча зрения по его центру τT = 6×10−3.
Тормозное излучение в спектре искажений. Из рис. 2 видно, что для наиболее реалистичных скоплений с радиусами Rc = 250–350 кпк тормозное излучение доминирует над комптоновскими искажениями в широком интервале частот 20 МГц ν 3.5 ГГц. По мере увеличения компактности скопления и повышения плотности межгалактического газа внутри него, этот интервал расширяется в область более низких частот. Очевидно, что подобного эффекта, но менее выраженного, следует ожидать и при увеличении томсоновской оптической толщи скопления τТ при неизменном радиусе Rc (в этом случае комптоновские искажения также возрастают, но не так сильно, как интенсивность тормозного излучения).
Тормозное излучение газа дает весомый вклад в область высоких частот спектра фона, полностью или частично компенсируя падение потока реликтового излучения, связанное с его комптоновским рассеянием на высокотемпературных электронах. Чтобы лучше исследовать этот вопрос, на рис. 3 мы представили искажения в спектре νFν (ν) (интенсивность, умноженная на частоту) для скопления с той же температурой газа, как у скопления на рис. 2, но с большей оптической толщей на луче зрения τТ = 1.2 × 10–2. Видно, что именно тормозное излучение подавляет падение яркости реликтового излучения вплоть до частоты ν ~ 5 ГГц (λ ~ 6 см) и приводит к появлению радиоисточника в направлении на скопление на картах флуктуаций фона на более низких частотах. Без этого излучения “тень” на карте фона наблюдалась бы вплоть до частоты ν2 802 МГц. Тормозное излучение вносит заметный вклад и на частотах ν ≳ 5 ГГц, уменьшая ожидаемое падение потока реликтового излучения в релей-джинсовской части спектра. Этот процесс необходимо учитывать при интерпретации текущих (например, VLA и BIMA, Доусон и др., 2002) и готовящихся (SO/Обсерватория Симонсов, Аде и др., 2019, антенные комплексы CMB-S4, Абазажян и др., 2019, и CMB-HD, Сехгал и др., 2019) активных наблюдений эффекта понижения яркости микроволнового фонового излучения на сантиметровых длинах волн.
Рис. 3. То же, что на рис. 2, но для искажений в спектре ν Fν(ν), что позволяет лучше исследовать вклад тормозного излучения межгалактического газа в сантиметровой-дециметровой области длин волн, где силен вклад комптоновских искажений спектра реликтового излучения. Видно, что для температуры газа kTe = 5 кэВ тормозное излучение компенсирует комптоновское падение потока излучения вплоть до λ ~ 6 см (ν ∼ 5 ГГц). Оптическая толща газа τТ = 1.2 × 10−2 (в два раза больше, чем на рис. 2).
На рис. 4 приведены зависимости, аналогичные представленным на рис. 2, но для скоплений с другими параметрами облака межгалактического газа: (a) kTe = 7 кэВ, τТ = 1 × 10–2, (b) kTe = 15 кэВ, τТ = 1.4 × 10–2, (c) kTe = 3 кэВ, τТ = 8 × 10-3 и (d) kTe = 2 кэВ, τТ = 8 × 10–3. Параметры скоплений выборки, температура газа kTe и его оптическая толща по томсоновскому рассеянию τТ охватывают широкий диапазон значений. Видно, что в общем спектре искажений фонового радиоизлучения холодных (сильно релаксировавших) скоплений тормозное излучение газа доминирует в более широком интервале частот, чем в спектре горячих молодых скоплений. Это происходит как за счет повышения интенсивности самого тормозного излучения, так и за счет понижения амплитуды искажений спектра фонового радиоизлучения при комптоновском рассеянии на электронах, линейно зависящих от их температуры. Тормозное излучение холодных скоплений с kTe = 2–3 кэВ намного дальше простирается и в область высоких частот (до ν ~ 7–8 ГГц, что видно даже без построения рисунка, аналогичного рис. 3). Как отмечалось выше, здесь оно конкурирует с эффектом понижения яркости микроволнового фонового излучения из-за комптоновского рассеяния на электронах.
Рис. 4. То же, что на рис. 2, но для скоплений с параметрами: (a) kTe = 7 кэВ, τТ = 1 × 10–2, (b) kTe = 15 кэВ, τТ = 1.4 × 10–2, (c) kTe = 3 кэВ, τТ = 8 × 10–3 и (d) kTe = 2 кэВ, τТ = 8 × 10–3. Тормозное излучение (сплошные синие линии) доминирует в более широкой области спектра у холодных, сильно релаксировавших скоплений. При этом оно полностью компенсирует падение яркости реликтового излучения вплоть до частот 5–8 ГГц (λ 4−6 см) и ослабляет его на более высоких частотах. Искажения в радиоспектре фона, хотя и становятся сильнее у горячих молодых скоплений с большой оптической толщей, сравниваются с тормозным излучением лишь на совсем низких частотах ν 20 МГц (λ 15 м).
В то же время рисунок свидетельствует о том, что даже у самых горячих скоплений выборки с kTe = 7–15 кэВ существует заметный интервал частот 100 МГц ν 2.5 ГГц, в котором в направлении на скопление должно регистрироваться именно тормозное излучение межгалактического газа. Это важно, так как означает, что переход от “тени” на сантиметровой карте фона в направлении на скопление галактик к мощному “радиоисточнику” на карте фона на дециметровых длинах волн даже в таких богатых молодых скоплениях связан именно с тормозным излучением их горячего межгалактического газа, а не с комптоновскими искажениями фонового радиоизлучения из-за рассеяния на электронах газа, как предполагали Холдер, Хлуба (2021).
Зависимость от параметров газа. Очевидно, что важнейшей характеристикой скопления с точки зрения его регистрации на картах фона как радиоисточника и идентификации физического процесса, ответственного за его появление, служит диапазон частот ν1 ν ν3, где в излучении скопления доминирует тормозное радиоизлучение межгалактического газа. Нижняя граница этого диапазона ν1 – частота, левее которой усиление яркости фонового радиоизлучения из-за комптоновского рассеяния на электронах горячего газа скопления превышает поток его тормозного излучения. Верхняя граница ν3 – частота, правее которой поток тормозного излучения газа уже не может компенсировать понижение яркости микроволнового фонового излучения. Как рассчитать эти критические частоты, объяснено выше в абзаце, следующем за уравнением (7).
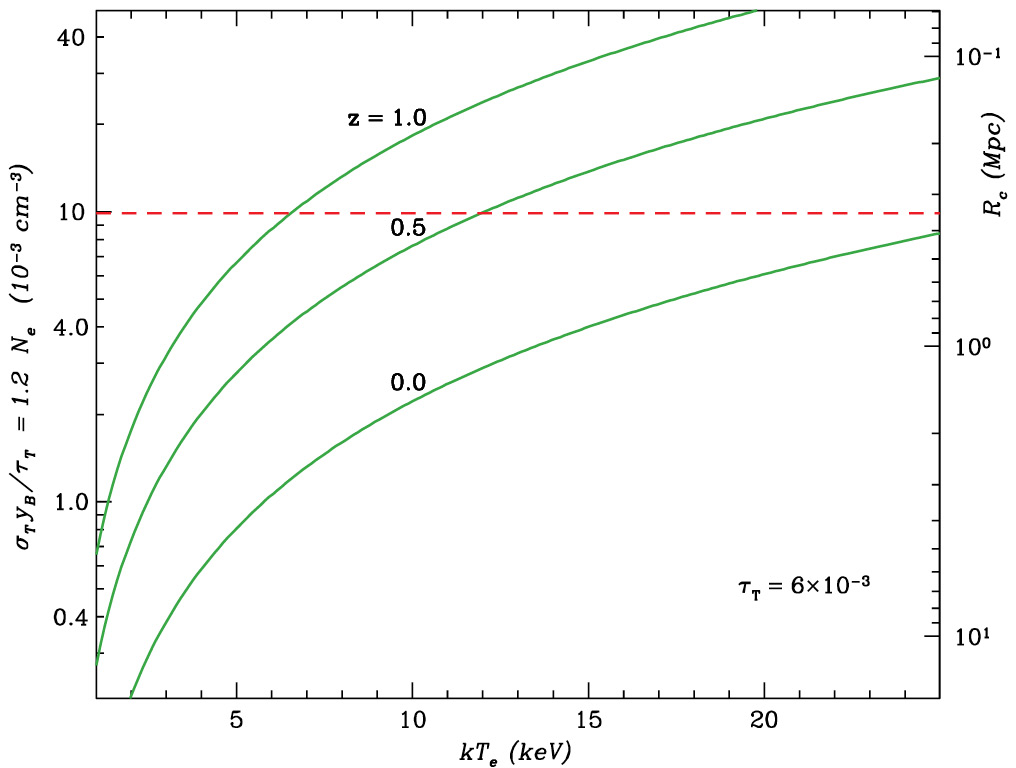
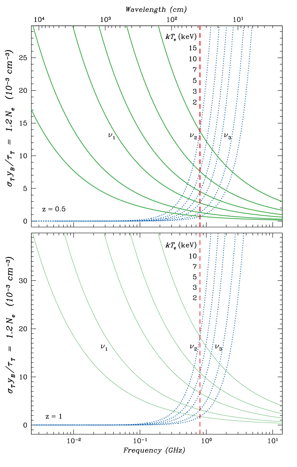
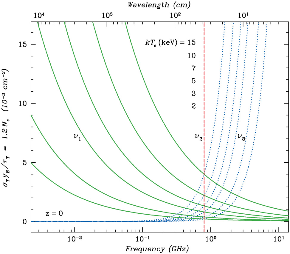
На рис. 5 приведены результаты нашей попытки исследовать положения частот ν1 и ν3 (и ширины интервала между ними) в зависимости от основных параметров горячего газа в скоплении. Анализ показал, что оптимальными независимыми параметрами в этой задаче являются температура электронов kTe и комбинация величин , с точностью до множителя равная плотности числа электронов в газе скопления 1.18 Ne. Эта величина отложена по оси Y рисунка. Сплошными линиями приведены значения частоты ν1, пунктирными – частоты ν3. Разные, но однотипные кривые соответствуют разным значениям kTe. Кривые ν1 и ν3, соответствующие одной температуре, очевидно пересекаются на частоте ν2, для которой в отсутствие тормозного излучения комптоновские искажения в фоновом синхротронном (степенном) радиоизлучении и фоновом микроволновом планковском спектре сравниваются по абсолютной величине.
Рис. 5. Граничные частота ν1, выше которой поток тормозного излучения межгалактического газа скопления доминирует над комптоновским усилением фонового радиоизлучения в общем спектре искажений (сплошные зеленые кривые), и частота ν3, ниже которой тормозное излучение доминирует по абсолютной величине над комптоновским ослаблением потока реликтового излучения (пунктирные синие кривые). Показаны кривые для разных температур газа в скоплении. Вертикальной штриховой красной линией показана частота ν2, на которой сравниваются комптоновские искажения радио и реликтового излучений. Положение частот ν1 и ν3 дано в зависимости от температуры kTe и плотности Ne (точнее, от величины σT yB/yC [kTe/mec2] 1.18Ne)межгалактического газа.
Рисунок 5 свидетельствует о том, что участок частот с доминирующим вкладом тормозного излучения должен присутствовать в спектрах искажений фона в направлении всех типичных близких скоплений. Однако он заметно суживается у очень горячих и аномально разреженных скоплений. Критическое значение величины ()min = 1.18 Ne, min, при котором этот участок должен был бы схлопнуться (ν1 → ν2, ν3 → ν2), дано на рис. 6 в зависимости от температуры kTe и красного смещения z скопления (см. ниже). Видно, что минимальная плотность газа, при которой еще существует участок тормозного излучения в спектре искажений, повышается с ростом температуры газа.
Рис. 6. Минимальная плотность электронов Ne,min (точнее, величина σT yB/ τТ ≈ 1.18Ne,min) горячего межгалактического газа, необходимая для того, чтобы в спектре искажений фонового радиоизлучения в направлении на скопление существовал интервал частот с доминирующим вкладом его тормозного излучения. Плотность выше для далеких (z > 0) скоплений. На оси Y справа нанесен радиус Rc скопления с критической плотностью и томсоновской толщей по центру τТ = 6 × 10−3. Штриховая линия отмечает типичный радиус скопления Rc ≃ 350 кпк.
На правой оси Y рисунка для наглядности показано, каким должен быть радиус скопления Rc с критической плотностью электронов. Томсоновская оптическая толща по центру скопления зафиксирована на сравнительно небольшой величине τТ = 0.006 (едва достаточной для формирования комптоновского искажения радиофона, доступного для наблюдений). Тем не менее даже в случае самых горячих (но близких, z 0) скоплений на этом рисунке, с kTe 20 кэВ, тормозное излучение газа не дает вклада в поток радиоизлучения, лишь когда их радиус Rc заметно превышает реально наблюдаемые размеры скоплений (Rc 500 кпк).
Зависимость от красного смещения z. Изменение спектра микроволнового фонового излучения с красным смещением полностью определяется зависимостью его температуры от z: Tm(z) = Tm × (1 + z). Уже спектр фонового радиоизлучения (формула [3]) зависит от z более сложным образом: F R(Z) = F0 (ν/ /ν0)–α (1 + z)3– α (Зельдович, Новиков, 1975), да и то лишь в предположении, что степенная форма спектра с красным смещением не меняется. Нас интересует спектр фона в современную эпоху, и, как уже отмечалось, он измерен с высокой точностью. Его зависимость от z не приводит к изменению наблюдаемых в нашу эпоху искажений, возникающих в нем при взаимодействии с межгалактическим газом скоплений галактик, как бы далеко они не располагались.
Иное дело – спектр тормозного радиоизлучения этого газа, яркость которого при наблюдении далеких скоплений изменяется по закону FB(z = 0) = = FB(z)/(1 + z)3 (предполагается, что температура газа после ее измерения была скорректирована на z, т.е. приведена к системе скопления). Поскольку сам спектр тормозного радиоизлучения слабо зависит от частоты, FВ ~ ν–0.04, изменение с z сводится к падению потока от далеких скоплений на одинаковый фактор на всех частотах (1 + z)3. На рис. 7 показано, как сужается интервал частот ν1 < ν < ν3 с доминирующим тормозным излучением в спектре искажений при наблюдении скоплений на красных смещениях z = 0.5 и 1. Рисунок аналогичен рис. 5, на котором представлен такой же интервал частот ν1 < ν < ν3, но характерный для локальных (z 1) скоплений.
Рис. 7. То же, что на рис. 5, но для далеких скоплений на красных смещениях z = 0.5 и 1. Из-за падения яркости тормозного излучения с z интервал частот, в котором это излучение доминирует в спектре искажений фона в направлении на скопление, заметно сужается.
На рис. 6 для двух таких далеких (z = 0.5 и 1) скоплений приведены кривые критической плотности Ne,min, при которой в спектре искажений еще отсутствует интервал частот с доминирующим тормозным излучением. Видно, что с увеличением красного смещения скопления наблюдаемая интенсивность его тормозного радиоизлучения быстро падает, соответственно, оно может вообще не регистрироваться на фоне комптоновских искажений радиофона даже в случае, когда имеет меньшую температуру и бо´льшую плотность газа, чем подобные локальные скопления. Ослабевают ограничения и на критический радиус скопления.
РЕАЛЬНЫЕ СКОПЛЕНИЯ
Выше предполагалось, что измерение потока радиоизлучения проводится в направлении на центр скопления и с хорошим угловым разрешением (по сравнению с угловым размером скопления). Периферийные наблюдения газа в скоплениях с однородным распределением плотности, очевидно, менее предпочтительны, так как при этом в равной степени (пропорционально l – размеру скопления вдоль луча зрения) уменьшаются и поток тормозного излучения газа, и амплитуда искажений фонового радиоизлучения из-за рассеяния. Иное дело, если периферийные наблюдения проводятся в случае реального скопления с плотностью, медленно спадающей с радиусом. Поскольку амплитуда искажений фона из-за рассеяния пропорциональна Ne, а интенсивность тормозного излучения – , вклад тормозного излучения в наблюдаемый избыток радиофона уменьшается к краю скопления быстрее, чем вклад рассеяния (Зельдович, Сюняев, 1982).
Неоднородное распределение плотности. Проиллюстрируем этот эффект на примере скопления, характеризующегося β-распределением плотности газа по радиусу (Кавальери, Фуско-Фемиано, 1976):
(10)
с центральной плотностью электронов Nc и параметром β 2/3, хорошо согласующимся с наблюдаемым распределением рентгеновской яркости многих скоплений галактик (Джонс, Форман, 1984; Арно, 2009). Для такого скопления тормозной параметр (мера эмиссии) межгалактического газа , определяющий интенсивность его теплового излучения вдоль луча зрения на прицельном расстоянии ρ от направления на центр, равен
(11)
Радиус Rc, прицельное расстояние ρ и расстояние вдоль луча зрения l связаны выражением R2 = ρ2 + l2. Томсоновская оптическая толща газа вдоль луча зрения τT (ρ) = 2Ne(R) dl, определяющая амплитуду искажений спектра из-за рассеяния, равна
. (12)
На рис. 8 приведены искажения спектра радио- и микроволнового фона в таком скоплении, ожидаемые из-за комптоновского рассеяния на электронах (зеленые штрихи) и вклада теплового тормозного излучения (синие сплошные линии) на двух придельных расстояниях ρ = 0 и 0.5 Rc. Параметры газа, радиальная томсоновская толща τс = 3 × 10–3 и температура электронов kTe = 5 кэВ, выбраны такими же, как у скопления с однородным распределением плотности на рис. 2. Рассмотрены разные значения радиуса ядра скопления Rc. Видно, что комптоновские искажения фона по центру скопления (ρ = 0) на рис. 2 и 8 действительно одинаковы, в силу равенства оптических толщ, однако интенсивность теплового излучения газа реального скопления оказывается в π раз меньше интенсивности излучения скопления с однородным распределением плотности газа.
Рис. 8. То же, что на рис. 2, но для скопления с β-распределением плотности газа (β = 2/3). Томсоновская толща по центру скопления τT = 6 × 10−3, газ изотермичий kTе = 5 кэВ, скопление близкое (z 1). Вклад тормозного излучения показан сплошными синими линиями для разных значений радиуса Rc ядра скопления. Рассмотрены центральные (прицельное расстояние ρ = 0, вверху) и периферийные (ρ = 0.5 Rc, внизу) наблюдения.
Этот результат легко объясним, поскольку, хотя в реальном скоплении газ сильнее концентрирован к центру, даже там он имеет слегка меньшую (в π/2 = 1.57 раза) плотность, чем газ в однородном скоплении с теми же радиусом ядра Rc и оптической толщей τT. Заметная часть толщи набирается на больших радиусах R > Rc. Аналогично, масса газа в скоплении
внутри радиуса R = Rc сравнительно невелика, Mg(< Rc) 4.8 × 1012 M¤, но она быстро растет с R, достигая при R = 2Rc величины Mg(<2Rc) 2 × 1013 M¤, что уже близко к массе газа в однородном скоплении (2.1 × 1013 M¤ при = 0.06).
Интенсивность теплового излучения газа реального скопления уменьшается еще сильнее даже при небольшом ( ~ 0.5 Rc, рис. 8, нижняя панель) удалении наблюдения от направления на центр. При таких периферийных наблюдениях действие эффекта комптоновского рассеяния тоже ослабевает, как в отношении радио- (зеленые штрихи), так и в отношении микроволнового фонового (красные короткие штрихи) излучения (причем одинаковым образом, так что частота ν2 не меняется), но происходит это намного медленнее. Поэтому периферийные наблюдения реальных скоплений, с точки зрения регистрации эффекта рассеяния, оказываются выигрышными.
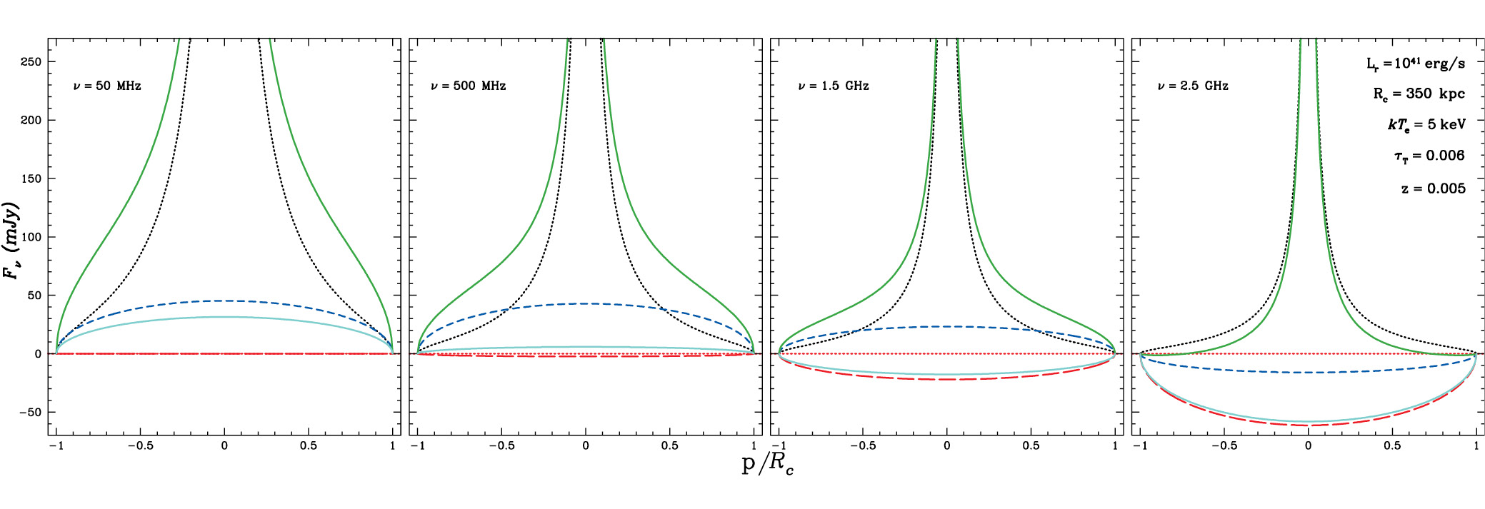
На рис. 9, также основанном на формулах (11)–(12), показано, как изменяется яркость космического фонового радиоизлучения на разных частотах в зависимости от прицельного расстояния ρ. Вновь рассмотрено близкое скопление с β-распределением плотности, но с более высокой температурой kTe = 7 кэВ и оптической толщей τт = 0.01 газа (как на рис. 4а). Радиус ядра скопления Rc = 350 кпк. Видно, что в направлении на центр скопления тепловое излучение газа доминирует в повышении яркости радиоизлучения на частотах 200 МГц, но даже при небольшом (ρ 2Rc) удалении от этого направления на всех рассмотренных частотах основной вклад в повышение яркости радиофона дает его рассеяние на электронах. С увеличением частоты область с доминирующем тепловым излучением слегка расширяется.
Рис. 9. Сравнение искажений фонового радиоизлучения из-за его рассеяния на электронах горячего газа скопления галактик (зеленые штрихи), а также тормозного излучения этого газа (сплошные синие линии) на разных частотах в зависимости от прицельного расстояния ρ/Rc от направления на центр скопления. Учтены искажения реликтового излучения из-за рассеяния на электронах газа (сплошные красные линии). Расчет для близкого (z 1) скопления с β-распределением плотности (β = 2/3), радиусом ядра Rc = 350 кпк, температурой kTe = 7 кэВ и томсоновской толщей по центру τT = 1×10−2 (см. рис. 4a).
Отметим, что на верхней панели рис. 9 (на частотах 700 МГц) тепловое и рассеянное радиоизлучение формируют положительный источник на любых ρ. На нижней панели положительное излучение наблюдается лишь на малых ρ Rc и частотах ν 1200 МГц. Дело в том, что при расчете искажений, наряду с комптоновским рассеянием радиоизлучения, было учтено рассеяние на электронах микроволнового (реликтового) излучения, приводящее к понижению яркости фона в центральных областях скопления (Сюняев, Зельдович, 1970, 1972, показано сплошными красными линиями). Как упоминалось выше, комптоновские искажения микроволнового и радиоизлучения сравниваются по абсолютной величине (компенсируют друг друга) на частоте ν2 ≈ ≈ 802 МГц, это и видно на верхней панели рис. 9. На более высоких частотах наблюдаемый избыток фона связан исключительно с тепловым излучением газа.
Из рис. 9 следует, что: 1) понижение яркости микроволнового фона по центру скопления начинает подавляться собственным тепловым излучением газа, начиная уже с частот ν ~ 2.0 ГГц, полностью компенсируясь вблизи ν ~ 1.3 ГГц, 2) даже на небольших расстояниях от центра R Rc пониженная яркость фона сохраняется вплоть до частот ~ 800 МГц, 3) на частотах ν 300 МГц понижение яркости реликтового излучения сходит на нет независимо от комптоновского рассеяния радиоизлучения или вклада теплового излучения газа. Это связано с быстрым естественным (рэлей-джинсовским) падением потока реликтового излучения при движении вниз по оси частот и не менее быстрым ростом потока космического фонового радиоизлучения.
Источник гибридной формы на месте скопления. Переход вниз по частоте в спектре искажений фона, измеренных в направлении скопления галактик, от области пониженной яркости (реликтовое излучение) к области повышенной яркости (радиоизлучение), очевидно, должен сопровождаться изменением изображения источника на картах флуктуаций фона. Рисунок (его нижняя панель) предсказывает, что в диапазоне частот 1.0 ГГц ν 1.2 ГГц изображение скопления должно принимать крайне необычный вид – яркого источника в центре (избыточное тормозное излучение), окруженного кольцевой теневой областью (областью дефицита реликтового излучения). Еще лучше это видно на рис. 10, демонстрирующем смоделированные карты искажений микроволнового и радиофона на разных частотах в направлении на близкое скопление галактик с такими же параметрами газа как те, что использовались при построении рис. 9. Невозмущенный фон вычтен.
Рис. 10. Карта искажений космического микроволнового и радиофона в направлении скопления галактик (того же, что на рис. 9) на разных частотах (синие линии — “отрицательные” отклонения, красные — “положительные”). Внешние контуры (на расстояниях ρ 6 Rc) не показаны.
Необычный (гибридный) источник виден на карте, соответствующей частоте ν = 1.18 ГГц. На более высоких частотах (ν = 100 ГГц) центральный источник исчезает, и теневая область расширяется до круга радиуса, заметно превышающего радиус ядра скопления1. Источник на карте флуктуаций фона на месте скопления становится “отрицательным” – “дыркой” в фоне. Известно, что он вновь превращается в обычный “позитивный” источник на частотах выше ν0 217.5 ГГц (λ 1.37 мм, Сюняев, Зельдович, 1980, 1982) за счет более низкочастотных фотонов реликтового излучения, заброшенных в эту область обратным комптоновским рассеянием. Это иллюстрируется картой, полученной для частоты 300 ГГц. На другом краю спектра, на частотах 800 МГц, описанный выше гибридный источник на месте скопления тоже превращается в полностью “положительный” источник, прежде всего за счет релей-джинсовского уменьшения потока реликтового излучения и, соответственно, – абсолютной глубины образующейся в нем комптоновской “ямы”, а также за счет избытка, связанного с комптоновским рассеянием усиливающегося фонового радиоизлучения, и вклада тормозного излучения межгалактического газа. На рис. 10 переход к “положительному” источнику иллюстрирует нижняя карта, рассчитанная для частоты ν = 100 МГц.
Появление источника гибридной формы на карте флуктуаций фона объясняется сильной концентрацией к центру скопления теплового (тормозного) излучения межгалактического газа. Комптоновские искажения реликтового излучения, формирующие “тень” (“яму”) на карте, характеризуются бо`льшим пространственным масштабом, что объясняется их более слабой (линейной) зависимостью от плотности электронов горячего газа.
Более подробно изменение формы источника на картах флуктуаций фона для этого скопления при переходе вблизи частоты ν ~ 1.1 ГГц от полностью “отрицательного” к полностью “положительному” источнику показано на рис. 11. Видно, что переход происходит медленно, гибридный источник наблюдается в широком диапазоне частот 1.0 ГГц ν 1.25 ГГц, расположенном заметно выше частоты ν2 802 МГц взаимной компенсации комптоновских искажений реликтового излучения и радиофона. Тепловое излучение горячего газа видно и на частотах 1.4 ГГц ν 1.8 ГГц – оно формирует центральный узкий пик внутри ямы, образованной обратным комптоновским рассеянием реликтового фона. Просто яма на этих частотах оказывается более глубокой, и пик теплового излучения не может подняться над ее краем и проявить себя как явный “положительный” центральный источник. Фактически, на этих частотах на месте скопления тоже наблюдается гибридный источник, но в скрытой (латентной) форме. Отметим и карту, полученную для частоты ν = 900 МГц. Источник на месте скопления на этой карте в значительной мере связан с тепловым излучением межгалактического газа и имеет заметно меньшую ширину, чем на других картах, где он формируется прежде всего из-за комптоновского рассеяния фона. На частоте ν = 900 МГц искажения из-за рассеяния радио- и реликтового излучения почти полностью компенсируют друг друга.
Рис. 11. Эволюция карты искажений фонового радио- и микроволнового излучения в направлении скопления галактик при переходе между режимами пониженной и повышенной яркости (синие линии — “отрицательные” отклонения фона, красные — “положительные”). Искажения вызваны рассеянием на электронах, но появление гибридного источника (яркого пятна, окруженного темным кольцом), а также компактного “положительного” источника на карте, соответствующей частоте ν = 900 МГц, в значительной степени связано с тепловым излучением горячего газа скопления. Внешние (ρ 6 Rc) контуры на картах с ν ≤ 1.0 ГГц не показаны. Расчет для близкого (z 1) скопления с β-распределением плотности (β = 2/3) и теми же параметрами, что у скопления на рис. 9 и 10.
Поразительно, но при переходе через частоту 0 217.5 ГГц источник на месте скопления на рис. 10. тоже принимает гибридную форму. Ранее всегда считалось, что “отрицательный” источник на месте скопления вблизи этой частоты просто исчезает, чтобы потом на более высоких частотах появится уже полностью “положительным”. Собственно частота ν0 = 3.8300 kTm 217.5065 ГГц и рассчитывается из условия обращения правой части уравнения (2), описывающего изменение спектра реликтового излучения при комптоновском рассеянии, в ноль. Гибридная форма источника опять связана с концентрированным к центру скопления тормозным излучением межгалактического газа, которое становится заметным из-за ослабления вблизи этой частоты комптоновских искажений реликтового излучения. Отметим, что уровни интенсивности излучения на картах на рис. 10, соответствующих ν = 100 и 300 ГГц (непосредственно ниже и выше частоты ν0), даны в кЯн/стер., тогда как на карте с ν = 217.47 ГГц и остальных картах – в Ян/стер. Подробнее изменение формы источника на месте скопления на картах флуктуаций реликтового излучения при переходе через частоту ν0 исследовано в статье Гребенева, Сюняева (2024).
Регистрация гибридного источника в направлении скоплений галактик как в реликтовом, так и в радиоизлучении может быть интересна не только как демонстрация (и подтверждение) красивого физического эффекта. Она может оказаться важной для более точного разделения искажений радиофона, возникающих из-за комптоновского рассеяния, и вклада тормозного радиоизлучения газа в скоплении. Поток тормозного радиоизлучения можно пытаться оценить по наблюдениям скопления в рентгеновских лучах, но точность таких оценок критически зависит от надежности определения температуры газа kTe. Прямые измерения потока теплового радиоизлучения межгалактического газа могут оказаться более перспективными и надежными.
Индивидуальные скопления. Оценим возможность регистрации искажений фонового радиоизлучения, связанных с его рассеянием на электронах межгалактического газа, в направлении нескольких известных скоплений галактик. Газ будем считать изотермическим и подчиняющимся β-распределению плотности с показателем β = 2/3. Оценки сделаем для богатых скоплений, проявляющих себя сильными искажениями микроволнового фонового излучения, из выборки, использовавшейся в работе Гребенева, Сюняева (2019). В табл. 1 приведены основные характеристики межгалактического газа (температура и его центральная плотность, другие параметры β-модели) и самих скоплений (красное смещение z).
Таблица 1. Параметры индивидуальных скоплений, отобранных для оценки возможности измерения эффекта рассеяния радиофона на электронах их горячего межгалактического газа
Название скопленияа | zб | Rc,в кпк | θc,в ′ | kTe, кэВ | Ncг | Mgд 1014 Mʘ | τT,е 10−3 | |
Основное | Другое | |||||||
1 | 2 | 3 | 4 | 5 | 6 | 7 | 8 | 9 |
AT J0102-4915 | El Cordo | 0.870 | 270 | 0.75 | 14.5 | 8.9 | 2.2 | 15.2 |
A 426 | Perseus | 0.018 | 280 | 12.8 | 6.0 | 4.6 | 2.0 | 8.3 |
ST J0615-5746 | P G266.6-27.3 | 0.972 | 230 | 0.63 | 14.2 | 7.2 | 1.12 | 10.5 |
1E 0657-558 | Bullet | 0.296 | 170 | 0.73 | 12.4 | 12.3 | 2.01 | 13.3 |
A 1656 | Coma | 0.023 | 290 | 10.5 | 6.9 | 2.9 | 1.0 | 5.6 |
Virgo | 0.004 | 310 | 62.5 | 2.4 | 2.7 | 1.5 | 5.3 | |
A 1991 | 0.059 | 60 | 0.90 | 2.3 | 6.4 | 0.1 | 3.5 | |
ST J2106-5844 | 1.132 | 200 | 0.54 | 9.4 | 11.5 | 1.17 | 14.6 | |
ST J2248-4431 | AS 1063 | 0.348 | 370 | 1.4 | 11.5 | 2.9 | 1.95 | 7.0 |
ST J2344-4243 | Phoenix | 0.596 | 290 | 0.88 | 14.9 | 4.8 | 1.48 | 8.8 |
а A – Abell, ST – SPT-CL, AT – ACT-CL, P – PLCK.
б Красное смещение скопления.
в Радиус ядра в модели β-распределения плотности и его угловой размер.
г Плотность газа в центре скопления, 10−3 см−3.
д Масса газа в скоплении.
е Томсоновская толща вдоль луча зрения, проходящего через центр скопления.
На рис. 12 зелеными длинными штрихами показаны ожидаемые относительные (в %) комптоновские искажения спектра радио- и микроволнового фонового излучения для скоплений из этой выборки. Предполагается, что наблюдения проводятся в направлении центра скопления (левая панель) или на прицельном расстоянии ρ = 0.8 Rc относительно центра (правая панель). Уровень невозмущенного фона отмечен черными короткими штрихами. Красными пунктирными линиями показан вклад в спектр искажений эффекта понижения яркости из-за рассеяния только микроволнового (реликтового) излучения. Видно, что относительные комптоновские искажения не зависят от частоты как в случае радиофона, так и в случае реликтового излучения (в полном соответствии с предсказаниями формул (2) и (4). Более того, они практически одинаковы по величине, но имеют разные знаки. Сплошными синими линиями показаны искажения фона с учетом собственного тормозного излучения горячего газа скоплений.
Рис. 12. Относительные (в %) искажения спектра космического фонового радио- и микроволнового излучения, ожидаемые из-за его рассеяния на электронах горячего газа в нескольких известных скоплениях галактик (зеленые длинные штрихи). Синие линии учитывают еще и тепловое (тормозное) излучение газа. Понижение яркости микроволнового излучения из-за рассеяния на электронах показано пунктирными красными линиями. Приведены искажения, наблюдаемые по центру скопления (слева) и на прицельном расстоянии, близком к радиусу его ядра ρ = 0.8Rc (справа). Газ полагается изотермическим и имеющим β-распределение плотности (β = 2/3), параметры скоплений даны в Табл. 1.
Рисунок 12 демонстрирует, что рассеяние радиоизлучения в ряде близких скоплений приводит или к очень малым (скопления в Волосах Вероники / Coma и Персее), или вообще ничтожным (скопление в Деве и А 1991) искажениям фона. Сказываются низкие температуры (kTe ~ 2.5–6.9 кэВ) и весьма умеренные оптические толщи (τТ 8 × 10–3) содержащегося в них газа. При этом тормозное радиоизлучение этих близких (z 0.06) скоплений довольно сильно. Особенно заметно это проявляется на левой панели рисунка при наблюдениях по центру скопления. Возможность регистрации искажений фонового радиоизлучения в первых двух скоплениях можно повысить, проинтегрировав радиосигнал по их довольно большой видимой площади (угловой размер этих скоплений указан на рисунке слева). Как уже упоминалось (и будет показано ниже), вклад рассеянного излучения в общий спектр искажений радиофона при этом возрастет по сравнению с вкладом тормозного излучения (из-за сильной концентрации последнего к центру скопления). Другая возможность – наблюдать искажения на заметном прицельном расстоянии ρ ~ Rc от центра скопления, как показано на правой панели рис. 12. Видно, что уже на прицельном расстоянии ρ = 0.8 Rc интенсивность тормозного излучения оказывается в ~ 2.1 раза ниже интенсивности по центру скопления, при этом амплитуда комптоновских искажений фона меняется не слишком сильно (<30%).
Очевидно, тем не менее, что для регистрации комптоновских искажений, намного перспективнее наблюдать очень горячие (kTe 12 кэВ) оптически толстые (τТ 8 × 10–3) далекие (z 0.35) скопления: El Cordo, Phoenix, AS 1063, ST J0615-5746 и ST J2106-5844. Комптоновские искажения фона в таких скоплениях могут достигать ~0.1%, при этом основное препятствие для их измерения в виде тормозного излучения горячего газа заметно ослабевает из-за большой удаленности скоплений (большого z). Исключением является скопление Bullet, одно из самых горячих и оптически толстых, при этом отличающееся мощным тепловым излучением газа. Причина этого кроется отчасти в умеренном красном смещении z 0.3, а отчасти – в необычной компактности скопления, Rc 170 кпк, и, как следствие, – в повышенной плотности его газа Nc 1.23 × 10–2 см–3. Даже в декаметровом диапазоне и при периферийных наблюдениях регистрация комптоновских искажений фона в направлении на это скопление будет непростой задачей.
Наблюдения неразрешенных скоплений. Угловой размер многих далеких скоплений слишком мал для выполнения периферийных наблюдений. В этом случае измеряется весь поток их радиоизлучения или интегральный поток излучения широкой центральной части скопления.
Возьмем скопление с β-распределением плотности горячего газа и радиусом ядpa Rc = 350 кпк. Рассмотрим два случая, когда скопление расположено на красном смещении z = 0.11 или 0.3. Соответствующие угломерные расстояния2 до скопления dA 390 или 810 Мпк, угловой размер (радиус) его ядра θс 3.ʹ0 или 1.ʹ5. Проинтегрируем уравнения (11) и (12) по площади скопления внутри телесного угла, ограниченного углом полураствора θb = Rb/dA, чтобы найти интегральные тормозной
и комптоновский параметры скопления
Видно, в частности, что уже при Rb = 0.8 Rc отношение интегрального комптоновского параметра YС ≃ 0.44 yС(0)(πθ2 c) к интегральному тормозному параметру скопления YB ≃ 0.21 yB(0)(πθ2 c) оказывается в 2.1 раза больше отношения их локальных значений yC(0)/yВ(0) по центру скопления. Значения тормозного yB(0) и комптоновского yC(0) параметров по центру скопления можно найти из уравнений (11) и (12).
Реальное соотношение интегральных потоков радиоизлучения, связанного с комптоновским рассеянием фона или являющегося собственным тормозным излучением горячего газа, зависит от радиочастоты, на которой проводятся измерения. Риcунок 13 показывает, как на разных частотах набирается интегральный поток радиоизлучения от рассматриваемого скопления галактик по мере увеличения Rb (ухудшения углового разрешения телескопа, используемого для наблюдений). Предполагается, что телескоп наведен на центр скопления, полуширина его отклика на точечный источник равна èb = Rb/dA. Левая панель рисунка показывает случай, когда скопление расположено на z = 0.11, правая панель – на z = 0.3, другие параметры скопления и параметры межгалактического газа взяты такими же, как на рис. 4a и 9.
Рис. 13. Интегральный поток радиоизлучения внутри радиуса Rb от скопления галактик, характеризующегося β-распределением плотности межгалактического газа (β = 2/3), радиусом ядра Rc = 350 кпк и томсоновской толщей по центру τT = 0.01 (см. рис. 4a и 9). Такой поток зарегистрирует телескоп с угловым разрешением θb = Rb/dA, где dA — угломерное расстояние до скопления. Газ считается изотермическим с температурой kTe = 7 кэВ, само скопление — расположенным на красном смещении z = 0.11 (слева) или 0.3 (справа). Радиоизлучение связано с 1). рассеянием космического фонового радиоизлучения электронами горячего газа (зеленые длинные штрихи) или 2). тепловым тормозным излучения этого газа (сплошные синие линии). В обоих случаях учтены искажения реликтового излучения из-за комптоновского рассеяния (красный пунктир). Однотипные линии соответствуют разным радиочастотам.
Независимо от природы излучения представленные потоки учитывают рассеяние в горячем межгалактическом газе фотонов реликтового излучения (его вклад показан красной пунктирной линией). Именно с вкладом дефицита реликтового излучения связано падение регистрируемого потока тормозного излучения (а на высоких частотах – потока рассеянного фонового радиоизлучения) по мере ухудшения углового разрешения телескопа. На низких частотах поток рассеянного излучения, наоборот, растет с ухудшением разрешения, особенно сильно при наблюдении более близкого скопления. Дело в том, что 1) вклад реликтового излучения на этих частотах быстро падает, 2) на рисунке представлен поток, проинтегрированный по площади скопления, а угол интегрирования растет с увеличением отношения Rb/Rc и уменьшением z.
Из рисунка следует, что в близких скоплениях (при z 0.11) на низких частотах ν 500 МГц вклад комптоновского рассеяния фонового радиоизлучения доминирует над тепловым излучением газа вне зависимости от разрешения телескопа. На частотах 500 МГц ν 1 ГГц комптоновское рассеяние преобладает лишь при условии, что функция отклика телескопа охватывает протяженную область скопления (Rb 1.5–2 Rc). Причина в том, что поток тормозного излучения на этих частотах с увеличением Rb после незначительного начального роста потом уменьшается, в то время как вклад рассеяния с увеличением Rb изменяется монотонно. На частотах ν 1 ГГц основной вклад в измеряемый поток радиоизлучения (избыток относительно понижения яркости реликтового излучения, связанного с его рассеянием) дает тепловое излучение газа, так как фоновое радиоизлучение ослабевает.
В то же время в далеких скоплениях (z 0.3) комптоновское рассеяние фонового радиоизлучения доминирует над тепловым излучением газа на всех рассмотренных частотах вплоть до ν ~ 2 ГГц.
РАДИОИЗЛУЧЕНИЕ ГАЛАКТИК СКОПЛЕНИЙ
Галактики скопления часто обладают мощным радиоизлучением, которое может иметь сложную морфологию (например, Хилл, Лонгейр, 1971; Кучити и др., 2018), связанную с взаимодействием релятивистских струй, истекающих из галактик, и расширяющихся плазменных пузырей с окружающим межгалактическим газом, ускорением и эжекцией в окружающую среду релятивистских частиц и генерацией ими синхротронного излучения. Нерегулярности в распределении радиоизлучения наиболее характерны для взаимодействующих, сталкивающихся скоплений галактик, прежде всего они проявляются вблизи возникающих при этом ударных волн и контактных разрывов.
Неоднородность распределения синхротронного радиоизлучения скоплений может быть использована для оценки его интенсивности и корректного вычитания. Аналогично, если на момент наблюдений галактики скопления продолжают оставаться активными в радиодиапазоне, их вклад в наблюдаемое в направлении скопления повышение потока фонового радиоизлучения может быть оценен и учтен.
Эхо былой активности радиогалактик. Иное дело, если одна или несколько галактик скопления в прошлом были активны, а сейчас находятся в “выключенном” или “радиотихом” состояниях. Их радиоизлучение эпохи активности, рассеянное в горячем газе скопления, может и сейчас наблюдаться как диффузное излучение скопления, приводя к дополнительному повышению его яркости относительно фонового уровня. Дело в том, что рассеянное излучение проходит намного больший путь внутри скопления по сравнению с прямым излучением галактик и из-за больших размеров скопления (сотни парсек) приходит к нам с заметной задержкой во времени. К тому же оно более равномерно распределено по облаку межгалактического газа, чем непосредственное излучение галактик. Имея синхротронную природу, это излучение описывается степенным спектром, близким к спектру фонового радиоизлучения. Все эти факторы приводят к тому, что рассеянное излучение былой активности галактик может сильно затруднять обнаружение и идентификацию избытка фонового радиоизлучения, связанного с его рассеянием в горячем газе скопления.
В отличие от комптоновского рассеяния изотропного фонового излучения, искажения которого возникают из-за релятивистских (доплеровских) эффектов ~ kTe/mce2 диффузное излучение активных галактик определяется главным образом изменением направления движения фотонов при томсоновском рассеянии. Изменение частоты фотонов при рассеянии влияет на спектр диффузного излучения незначительно (на том же уровне ~ kTe/ /mce2 ~ 1–2%, см. уравнение (4)).
В случае, если активная галактика находится в центре скопления и выключилась лишь недавно tso Rc/c, а до этого долго светила в радиодиапазоне на приблизительно одном уровне и имела степенной спектр излучения со спектральным индексом γ, интегральную, усредненную по направлениям, спектральную плотность рассеянного излучения скопления можно легко рассчитать
где (13)
(14)
Здесь ν9 – частота в ГГц, LR – радиосветимость галактики в эрг с–1 в диапазоне 10 МГц – 100 ГГц до момента выключения, a dL(z) – болометрическое расстояние, на котором она находится.
На рис. 14 представлены результаты таких расчетов, выполненных в предположении, что γ = = 0.4, LR = 1 × 1041 эрг с–1, а скопление галактик находится на z = 0.005, т.е. на болометрическом расстоянии dL = 21.44 Мпк (угломерном расстоянии dA = 21.23 Мпк). Радиус скопления Rc = 350 кпк соответствует угловому размеру θс = 57 ʹ, распределение плотности электронов считается однородным. Остальные параметры скопления взяты такими же, как на рис. 2. Модельное скопление с такими параметрами напоминает скопление в Деве (Virgo), но содержит более горячий газ.
Рис. 14. Искажения спектра космического фонового радиоизлучения из-за его рассеяния на электронах горячего газа скопления галактик (зеленые штрихи), тормозного излучения этого газа (сплошная синяя линия) и рассеянного (диффузного) излучения центральной галактики (гистограммы). Красной кривой (длинные штрихи) показана абсолютная величина понижения яркости реликтового фона из-за его рассеяния в газе скопления. Всюду представлен интегральный поток излучения (от всего скопления). Предполагается, что галактика долгое время была активна в радиодиапазоне со спектральным индексом γ = 0.4 и светимостью Lr = 1 × 1041 эрг c−1 в диапазоне частот 10 МГц – 100 ГГц, но выключилась tso млн. лет назад. Гистограммы получены с помощью моделирования методом Монте-Карло. Случай tso = 0 рассчитан также аналитически (формула (13), бордовая кривая). Рассматривается близкое (z = 0.005) скопление с однородной плотностью изотермического (kTe = 5 кэВ) газа, радиусом Rc = 350 кпк, с оптической толщей на луче зрения τT = 0.006 (такое же, как на рис. 2).
Результат расчета по формуле (14) показан бордовой линией. Гистограммами представлены результаты аналогичных расчетов, выполненных методом Монте-Карло с использованием алгоритмов Позднякова и др. (1983). Использовался компьютерный код, разработанный нами при работе над предыдущей статьей (Гребенев, Сюняев, 2019). Видно, что аналитическая кривая прекрасно согласуется с численным расчетом для выключения галактики в момент tso = 0. Другие гистограммы показывают спектр диффузного излучения, который должен регистрироваться от скопления через определенное время, tso = 0.08, 0.23, 0.46, 0.80, 1.14 и 1.60 млн. лет, после ее выключения. Отметим, что последний фотон собственного (прямого) излучения галактики покидает облако горячего газа в скоплении через Rc/c 1.14 млн лет после ее угасания. Мы должны регистрировать спектр именно в это время. Рассеянные фотоны последних двух гистограмм проводят в облаке в два раза (и даже еще больше) времени.
На рис. 14 приведена также спектральная плотность теплового (тормозного) излучения горячего (kTe = 5 кэВ) газа скопления (сплошная синяя линия) и избыточного излучения, связанного с комптоновским рассеянием фонового радиоизлучения, (зеленый штрихи). В отличие от большинства предыдущих рисунков, здесь приведены потоки от всего скопления, полученные интегрированием по его видимому телесному углу . Также, в отличие от других рисунков, здесь не было учтено понижение яркости микроволнового фонового (реликтового) излучения. Вместо этого показана абсолютная величина этого понижения (красные длинные штрихи). Ясно, что на частотах выше ~ 1–1.5 ГГц все избыточное излучение, связанное с былой активностью галактики, так же, как излучение, связанное с рассеянием радиофона и тормозным излучением газа скопления, полностью подавляются понижением яркости реликтового излучения. В то же время на частотах ν 300 МГц диффузное излучение недавно (0.5 млн лет назад) потухшей галактики с указанной светимостью может доминировать в избытке радиофона, регистрируемом в направлении скопления, превышая и эффект рассеяния фона, и вклад теплового излучения газа. В области частот 300 МГц ν 1.5 ГГц в скоплении с выбранными параметрами газа доминирует тепловое изучение межгалактического газа.
Рисунок 14 демонстрирует, что рассеянное излучение активной в прошлом галактики скопления может оказаться серьезным препятствием на пути регистрации (точнее, отождествления) в этом направлении избытка фонового радиоизлучения, связанного с его комптоновским рассеянием на электронах горячего межгалактического газа. Конечно, рассмотренный случай предполагает, что галактика в недавнем прошлом была очень яркой в радиодиапазоне. Но для массивной центральной галактики скопления такая активность не может быть исключена.
Некоторый оптимизм вызывает тот факт, что яркость диффузного излучения в далеких скоплениях, находящихся на больших красных смещениях z, должна быть сильно ослаблена по сравнению с яркостью рассеянного фонового излучения (не зависящего от z). Выше было показано, как быстро уменьшается с ростом z интенсивность теплового излучения горячего газа скоплений. Проблема в том, что спектры рассеянного фонового излучения и диффузного излучения активной галактики уж очень близки по форме (зависимости от ν), и их трудно различить.
Морфология диффузного излучения радиогалактики. Определенные надежды на выявление рассеянного фонового излучения могут быть связаны с разной морфологией распределения его яркости и яркости диффузного излучения потухшей галактики в картинной плоскости скопления. В самом деле, при наблюдении скопления с однородным распределением плотности горячего газа антенной с хорошим угловым разрешением (Rc/dA, где dA – угломерное расстояние до скопления) поток избытка фонового излучения, так же, как интенсивность теплового излучения газа, зависят от придельного расстояния ρ пропорционально (1 – ρ2/ /Rс2)1/2. Иное дело – рассеянное излучение радиогалактики, которая угасла лишь недавно.
Хотя интегральный поток рассеянного излучения набирается с радиусом (точнее с радиальной оптической толщей, см. формулу (13)) линейно (доля рассеянного в сферическом слое на данном радиусе излучения определяется лишь его оптической толщей τT), интенсивность рассеянного излучения, полученная интегрированием по лучу зрения на прицельном расстоянии ρ, зависит от ρ более сложным образом:
(15)
где поток FA(ν) определен выражением (14). Результаты расчетов по этой формуле избытка радиоизлучения в направлении скопления (по сравнению с фоновым уровнем), связанного с рассеянным излучением потухшей центральной галактики, показаны на рис. 15 в зависимости от ρ для нескольких радиочастот (пунктирные черные линии). Видно, что это излучение характеризуется мощным центральным пиком, более узким на высоких частотах ν 1 ГГц и широким на низких ν 500 МГц. Из формулы (15) следует, что зависимость от частоты отражает просто мощность излучения галактики на данной частоте. Распределение других компонент избыточного излучения, также показанных на рисунке: тормозного излучения (синие штрихи), рассеянного излучения радиофона (голубые сплошные линии), недостающего из-за рассеяния реликтового излучения (длинные красные штрихи), имеет намного более плоский и плавный характер. Все компоненты, кроме диффузного излучения галактики, отсчитываются от декремента реликтового излучения. Сплошными зелеными линиями показано распределение суммарного избыточного излучения. Замечательно, что центральный пик сохраняется на всех частотах и может быть использован для выявления рассеянного излучения недавно потухшей центральной галактики скопления (или для доказательства отсутствия такого излучения). Центральный пик излучения сохраняется и при более давнем выключении галактики, правда, при этом понижается его амплитуда, более того – вблизи центра скопления интенсивность рассеянного излучения резко падает. Это связано с тем, что фотоны прямого излучения галактики покидают эту область и уже не могут участвовать в рассеянии. Угловой радиус такой области пониженного диффузного фона очевидно равен θ0 ~ ctso/dA. Несомненно, обнаруженные особенности морфологии диффузного излучения в скоплении сохранятся и при более реалистичном распределении плотности горячего газа, чем рассмотренное однородное распределение.
Отметим также, что, как очевидно из рис. 15, диффузное излучение недавно потухшей мощной центральной активной галактики должно поддерживать (и усиливать) гибридную форму распределения яркости радиоисточника в направлении скопления, обсуждавшегося выше в данной работе.
Рис. 15. Зависимость избытка космического фонового радиоизлучения в направлении скопления галактик от прицельного расстояния ρ (сплошная зеленая линия). Сплошной голубой линией показаны искажения из-за рассеяния в горячем газе скопления, короткими синими штрихами — вклад тормозного излучения газа, пунктирной черной линией — рассеянное излучение центральной галактики. Везде, кроме излучения галактики, учтено понижение яркости реликтового излучения из-за его комптоновского рассеяния (красные длинные штрихи). Считается, что галактика долгое время была активная, имела спектральный индекс γ = 0.4 и светимость Lr = 1 × 1041 эрг c−1 в диапазоне частот 10 МГц — 100 ГГц, но недавно (tso ≃ 0) выключилась. Скопление рассматривается с теми же параметрами, что и на рис. 14.
Индуцированное рассеяние излучения галактики. Выше (рис. 2) было показано, что искажения фонового радиоизлучения из-за индуцированного комптоновского рассеяния проявляются лишь на очень низких частотах ν < 5 МГц. При рассеянии в газе скопления излучения мощной радиогалактики роль индуцированного рассеяния может заметно возрасти. Это связано с высокими интенсивностями излучения в непосредственной близости от галактики. В связи с этим, в частности, активно обсуждался вопрос о возможности нагрева газа вблизи активных ядер галактик и квазаров до квазирелятивистских температур за счет индуцированного комптоновского рассеяния их радиоизлучения (Левич, Сюняев, 1971; Сазонов, Сюняев, 2001). Собственно искажения спектра радиоисточника из-за индуцированного рассеяния были рассмотрены в работе Сюняева (1970).
Действуя так же, как при выводе формулы (5), и вновь используя выражение (14) для определения потока FA(ν), находим спектр рассеянного излучения недавно потухшей радиогалактики
(16)
Здесь R0 – радиус области, окружающей ядро радиогалактики, куда не проникает горячий межгалактический газ, и в которой поэтому не происходит индуцированное рассеяние. Результаты расчетов по этой формуле показаны на рис. 16 для того же скопления, что и на рис. 14, в разных предположениях о светимости галактики LR = L41 × 1041 эрг с–1, где L41 = 2, 1 или 0.4, в диапазоне частот 10 МГц – 100 ГГц и радиусе R0. Видно, что поток рассеянного излучения центральной радиогалактики резко падает из-за индуцированного рассеяния уже на частотах ~50 МГц, а в ряде случаев даже на ~ 100–150 МГц, что открывает возможность наблюдения рассеянного фонового радиоизлучения на более низких частотах. Напомним, что индуцированное рассеяние уменьшает вклад рассеянного фонового радиоизлучения на намного более низких частотах (5 МГц, рис. 2).
Рис. 16. То же, что на рис. 14, но для центральных галактик разной светимости в диапазоне частот 10 МГц – 100 ГГц, LR = L41 × 1041 эрг с−1, где L41 = 2, 1 или 0.4 (показано красными цифрами), выключившихся лишь недавно tso = 0. Рассеянное в газе радиоизлучение галактик показано черными штрихпунктирными линиями. Черными сплошными линиями показано рассеянное излучение галактик с учетом индуцированного комптоновского рассеяния. Считается, что внутри радиуса R0 = 1–3 кпк (синие цифры) вблизи активных ядер галактик рассеивающий газ отсутствует.
Действие индуцированного рассеяния может оказаться даже более сильным – из-за рассеяния излучения радиогалактики на флуктуациях плотности электронов в газе скопления. Этот эффект приводит к уширению импульсов и быстрым вариациям интенсивности (мерцаниям) пульсаров на низких частотах и размытию их изображений на радиокартах (например, Кордс, Лацио, 1991; Бхат и др., 2004). В нашем случае важно, что рассеяние на флуктуациях электронной плотности удлиняет путь фотонов, испущенных радиогалактикой, в газе скопления и повышает вероятность их индуцированного рассеяния.
Излучение релятивистских электронов. Помимо синхротронного излучения, непосредственно связанного с активностью галактик скопления, у некоторых скоплений наблюдается диффузное излучение (радиогало), объясняющееся излучением релятивистских электронов, ускоренных на ударных волнах в процессе слияния или столкновений скоплений (Брунетти и др., 2001; ван Вирен, 2019). У релаксировавших скоплений радиогало, как правило, не наблюдается (Кучити и др., 2021). Доля скоплений с радиогало составляет 20–50%, увеличиваясь с массой скопления и его красным смещением (Кассано и др., 2023). Размер гало сравним с размером рентгеновского источника на месте скопления, т.е. с шириной профиля тормозного излучения горячего межгалактического газа.
Время жизни релятивистских электронов может достигать 10–100 млн лет, так что их излучение остается ярким заметно дольше, чем диффузное (рассеянное в скоплении) излучение галактик. Наклон спектра синхротронного излучения электронов гало, почти плоский в центре скопления (α ~ 0.2), становится более крутым (α ~ 0.5) на периферии (Брунетти и др., 2001).
Очевидно, что синхротронное излучение гало может стать почти непреодолимом препятствием при исследовании эффекта рассеяния фонового радиоизлучения в горячем газе скопления, поэтому имеет смысл изучать только хорошо релаксировавшие скопления, либо использовать периферийные наблюдения (искажения из-за рассеяния должны иметь больший масштаб, чем размер гало). Так же, как поток теплового тормозного излучения, поток нетеплового синхротронного (диффузного) излучения должен быстро уменьшаться с красным смещением, поэтому предпочтительнее наблюдать далекие скопления.
ЗАКЛЮЧЕНИЕ
В работе исследована возможность наблюдения в направлении скоплений галактик повышения яркости фонового радиоизлучения из-за его комптоновского рассеяния на электронах горячего межгалактического газа. На частотах выше 800 МГц такое рассеяние ведет к понижению яркости реликтового излучения – эффекту, предсказанному Сюняевым, Зельдовичем (1970, 1972) и позже подтвержденному во многих наземных и космических экспериментах. В настоящее время этот эффект стал одним из основных методов наблюдательной космологии (наряду с прямыми рентгеновскими и оптическими наблюдениями и методами гравитационного линзирования). В отличие от прямых наблюдений этот эффект не зависит от расстояния, позволяя исследовать скопления на больших красных смещениях.
В последние годы, благодаря введению в строй новых высокочувствительных радиотелескопов, удалось с высокой точностью измерить и спектр космического фонового радиоизлучения на частотах от десятков МГц до нескольких ГГц. По-видимому, оно имеет синхротронное происхождение (спектр степенной), однако в целом его природа не ясна, со слабыми неразрешенными радиогалактиками удается связать не более 25% измеренного потока излучения. Тем не менее фоновое радиоизлучение отличается высокой степенью изотропии и однородности, подобно реликтовому излучению. Встал актуальным вопрос о возможности наблюдения искажений радиофона в направлении скоплений галактик из-за его взаимодействия с горячим межгалактическим газом. Наблюдения искажений позволили бы исследовать как скопления галактик, так и собственно свойства радиофона на больших красных смещениях.
В результате проведенных расчетов показано, что:
- эффект действительно существует, и на частотах ν < 800 МГц формирующееся из-за рассеяния превышение потока радиоизлучения над фоном должно с избытком компенсировать дефицит реликтового излучения;
- избыток излучения вновь исчезает на частотах ν < 5 МГц из-за действия индуцированного комптоновского рассеяния, уносящего фотоны вниз по оси частот;
- прямому измерению комптоновского избытка излучения во многих случаях должно препятствовать собственное тепловое (тормозное) излучение горячего межгалактического газа, а также, возможно, рассеянное излучение синхротронной природы, связанное либо с былой активностью в радиодиапазоне галактик скопления (вклад их излучения на текущем уровне активности еще может быть учтен и удален), либо излучением релятивистских электронов, образовавшихся в ударных волнах при слиянии или приливном взаимодействии данного скопления с ближайшими соседями;
- вклад как тормозного, так и синхротронного излучения должен быстро уменьшаться с удалением скопления (увеличением его красного смещения);
- во многих близких скоплениях тормозное излучение горячего газа полностью доминирует на частотах, начиная с 10–50 МГц и до 2–6 ГГц; для разных параметров скоплений определены области частот, оптимальные для поиска и измерения комптоновского избытка потока фонового радиоизлучения; наиболее перспективными для таких наблюдений оказались массивные скопления с горячим (kTe ≳ 8 кэВ) разреженным (Ne ≲ 10–2 см–3) межгалактическим газом, находящиеся на больших (z ≳5) красных смещениях;
- периферийные наблюдения богатых невозмущенных скоплений с плавно спадающим с радиусом распределением плотности имеют определенные преимущества для регистрации комптоновского избытка радиофона (из-за более быстрого падения потока тормозного радиоизлучения);
- изображение скопления на радиокартах флуктуаций фона в диапазоне частот 1.0–1.5 ГГц должно принимать крайне необычный (“гибридный”) вид яркого источника в центре (связанного с избыточным излучением тормозной природы), окруженного кольцевой теневой областью (областью дефицита реликтового излучения из-за рассеяния); на более низких частотах источник в направлении скопления имеет уже обычный (“позитивный”) вид сначала из-за роста интенсивности тормозного излучения, затем из-за избытка радиофона благодаря его рассеянию в газе скопления; на более высоких частотах на месте скопления появляется теневой (“отрицательный”) источник (“дырка” в фоне) из-за дефицита реликтового излучения, связанного с рассеянием на электронах;
- переход вблизи частоты 217 ГГц от “отрицательного” источника на картах флуктуаций реликтового фонового излучения (из-за ухода фотонов вверх по оси частот при рассеянии в газе скопления) к “положительному” (из-за приходящих в область ν > 217 ГГц рассеянных фотонов) также сопровождается появлением “гибридного” источника на месте скопления с ярким пиком тормозного излучения, поднимающегося из центра широкой комптоновской ямы;
- присутствие в скоплении активных в прошлом радиогалактик может дополнительно усложнить наблюдения избытка фонового радиоизлучения из-за его комптоновского рассеяния: их синхротронное излучение, рассеянное в межгалактическом газе, проходит заметно более долгий путь (из-за гигантских размеров скопления – сотни парсек) и приходит с заметной задержкой; важно именно рассеянное излучение, поскольку вклад текущего излучения галактик в общий поток радиоизлучения скопления еще может быть рассчитан и учтен; рассеянное излучение имеет синхротронную природу и степенной спектр, близкий спектру фонового излучения;
- измерение избытка фонового радиоизлучения, связанного с рассеянием, возможно, если светимость радиогалактик скопления и время, прошедшее после их выключения, удовлетворяют некоторым ограничениям; получены их оценки, в том числе с использованием метода Монте-Карло; показано, что диффузное излучение галактик подавляется из-за индуцированного комптоновского рассеяния при ν < 50–100 МГц, что открывает возможность для беспрепятственного наблюдения искажений из-за рассеяния в космическом радиофоне на этих частотах;
- морфология рассеянного излучения радиогалактик сильно отличается как от пологого распределения рассеянного излучения радиофона, так и от распределения тормозного излучения горячего газа скопления, это может быть использовано для отождествления зарегистрированного в направлении скопления избытка радиоизлучения.
В заключение отметим, что наблюдаемое как гигантское радиогало диффузное синхротронное излучение релятивистских электронов в газе скопления, образованных, вероятно, в процессе слияния или приливного воздействия на скопление со стороны его соседей, может быть наиболее серьезным препятствием на пути регистрации комптоновского избытка радиофона. Для регистрации избытка необходимо использовать хорошо релаксировавшие скопления, у которых радиогало, как правило, не наблюдается, и, желательно, – скопления на достаточно больших красных смещениях, так как интенсивность синхротронного излучения быстро падает с z.
БЛАГОДАРНОСТИ
Авторы благодарят за полезные замечания С.А. Трушкина и Е.М. Чуразова.
ФИНАНСИРОВАНИЕ
Участие С.А. Гребенева в данном исследовании поддержано Фондом развития теоретической физики и математики “БАЗИС”, грант 22-1-1-57-1 программы “Ведущий ученый (Теоретическая физика)”.
1 Теневая область у гибридного источника в действительности простирается также заметно дальше по радиусу, чем следует из рисунка, но у него она имеет меньшую глубину. Просто уровни низкой интенсивности, соответствующие далеким крыльям источника (большим прицельным расстояниям ρ/Rc 6), на этих панелях не показаны.
2 Принята стандартная ACDM космологическая модель с Ωm = 0.3, ΩΛ = 0.7 и H = 70 км с–1 Мпк–1.
About the authors
С. А. Гребенев
Институт космических исследований РАН
Author for correspondence.
Email: grebenev@iki.rssi.ru
Russian Federation, Москва
Р. А. Сюняев
Институт космических исследований РАН; Институт астрофизики Общества им. Макса Планка
Email: grebenev@iki.rssi.ru
Russian Federation, Москва; Гархинг, Германия
References
- Абазажян и др. (K. Abazajian, G. Addison, P. Adshead, Z. Ahmed, S.W. Allen, D. Alonso, M. Alvarez, A. Anderson, et al.), arXiv:1907.04473 (2019).
- Аде и др. (P. Ade, J. Aguirre, Z. Ahmed, S. Aiola, A. Ali, D. Alonso, M.A. Alvarez, K. Arnold, et al.), J. Cosm. Astropart. Phys. 02, 056 (2019).
- Амири и др. (CHIME/Pulsar Collaboration: M. Amiri, K.M. Bandura, P.J. Boyle, C. Brar, J.-F. Cliche, K. Crowter, D. Cubranic, P. B. Demorest, et al.), Astrophys. J. Suppl. Ser. 255, 5 (2021).
- Арно (M. Arnaud), Astron. Astrophys. 500, 103 (2009).
- Биркиншоу (M. Birkinshaw), Phys. Rep. 310, 97 (1999).
- Блим и др. (L.E. Bleem, B. Stalder, T. de Haan, K.A. Aird, S.W. Allen, D.E. Applegate, M.L.N. Ashby, M. Bautz, et al.), Astrophys. J. Suppl. Ser. 216, 27 (2015).
- Блим и др. (L.E. Bleem, S. Bocquet, B. Stalder, M.D. Gladders, P.A. R.Ade, S.W. Allen, A.J. Anderson, J. Annis, et al.), Astrophys. J. Suppl. Ser. 247, 25 (2020).
- Брунетти и др. (G. Brunetti, G. Setti, L. Feretti, G. Giovannini), MNRAS 320, 365 (2001).
- Бхат и др. (N.D.R. Bhat, J.M. Cordes, F. Camilo, D.J. Nice, D.R. Lorimer), Astrophys. J. 605, 759 (2004).
- Бэкон и др. (Square Kilometre Array Cosmology Science Working Group: D.J. Bacon, R.A. Battye, P. Bull, S. Camera, P.G. Ferreira, I. Harrison, D. Parkinson, A. Pourtsidou, et al.), Publ. Astron. Soc. Austral. 37, 7 (2020).
- ван Вирен и др. (R. J. van Weeren, F. de Gasperin, H. Akamatsu, M. Bruggen, L. Feretti, H. Kang, A. Stroe, F. Zandanel), Space Sci. Rev. 215, 16 (2019).
- Вентури и др. (T. Venturi, S. Giacintucci, D. Dallacasa, R. Cassano, G. Brunetti, S. Bardelli, G. Setti), Astron. Astrophys. 484, 327 (2008).
- Вилльямсон и др. (R. Williamson, B.A. Benson, F.W. High, K. Vanderlinde, P.A.R. Ade, K.A. Aird, K. Andersson, R. Armstrong, et al.), Astrophys. J. 738, 139 (2011).
- Ву и др. (F. Wu, J. Li, S. Zuo, X. Chen, S. Das, J.P. Marriner, T. M. Oxholm, A. Phan, et al.), MNRAS 506, 3455 (2021).
- Гребенев С.А., Сюняев Р.А., Письма в Астрон. журн. 45, 835 (2019) [S.A. Grebenev, R.A. Sunyaev, Astron. Lett. 45, 791 (2019)].
- Гребенев, Сюняев (S.A. Grebenev, R.A. Sunyaev), J. Cosm. Astroph. Phys., submitted (2024).
- Давел, Тайлор (J. Dowell, G.B. Taylor), Astrophys. J., 858, L9 (2018).
- Джонас и др. (J. Jonas, and MeerKAT Team), Proc. “MeerKAT Science: On the Pathway to the SKA” (Stellenbosch, South Africa), 1 (2016).
- Джонс, Форман (C. Jones, W. Forman), Astrophys. J. 276, 38 (1984).
- Ди Масколо (DiMascolo), PhD Thesis, LudwigMaximilian University (2020).
- Доусон и др. (K.S. Dawson, W.L. Holzapfel, J.E Carlstrom, M. Joy, S.J. LaRoque, A.D. Miller, D. Nagai), Astrophys. J. 581, 86 (2002).
- Зельдович Я.Б., Новиков И.Д., Строение и эволюция Вселенной, М.: Наука (١٩٧٥).
- Зельдович Я.Б., Сюняев Р.А., Астрофизика и космическая физика (ред. Р.А. Сюняев М.: Наука/Физматлит, с. 9 (1982).
- Кавальери, Фуско-Фемиано (A. Cavaliere, R. Fusco-Femiano), Astron. Astrophys. 49, 137 (1976).
- Камерун (A.G. W. Cameron), в “Ядерная астрофизика” (ред. Ч. Барнс, Д. Клейтон, Д. Шрамм, пер. под ред. А.Г. Масевич), с. 33) 1986 [in “Essays in Nuclear Astrophysics. Presented to William A. Fowller” (eds. C.A. Barnes, D.D. Clayton, D.N. Schramm), Cambridge Univ. Press, p. 23 (1982)].
- Канден и др. (J.J. Condon, W.D. Cotton, E.B. Fomalont, K.I. Kellermann, N. Miller, R.A. Perley, D. Scott, T. Vernstrom, J.V. Wall), Astrophys. J. 758, 23 (2012).
- Карлстром и др. (J.E. Carlstrom, G.P. Reese, D. Erik), Ann. Rev. Astron. Astrophys. 40, 643 (2002).
- Кассано и др. (R. Cassano, V. Cuciti, G. Brunetti, A. Botteon, M. Rossetti, L. Bruno, A. Simionescu, F. Gastaldello, et al.), Astron. Astrophys. 672, A43 (2023).
- Коллаборация PLANCK (Planck Collaboration: P.A.R. Ade, N. Agranim, C. Armitage-Caplan, M. Arnaud, M. Ashdown, F. Atrio-Barandela, J. Aumont, H. Aussel, et al.), Astron. Astrophys. 571, id. A29 (2014).
- Коллаборация PLANCK (Planck Collaboration: P.A.R. Ade, N. Agranim, C. Armitage-Caplan, M. Arnaud, M. Ashdown, F. Atrio-Barandela, J. Aumont, H. Aussel, et al.), Astron. Astrophys. 581, id. A14 (2015).
- Коллаборация PLANCK (Planck Collaboration: P.A.R. Ade, N. Agranim, M. Arnaud, M. Ashdown, J. Aumont, C. Baccigalupi, A.J. Banday, R.B. Barreiro, et al.), Astron. Astrophys. 594, id. A27 (2016).
- Компанеец А.С., Журн. Эксп. Теор. Физ. 31, 876 (1956) [Kompaneets, A. S., Sov. Phys. JETP 4, 730 (1957)].
- Кордc, Лацио (J.M. Cordes, T.J. Lazio), Astrophys. J. 376, 123 (1991).
- Курей (A. Cooray), Phys. Rev. D 73, 103001 (2006).
- Кучити и др. (V. Cuciti, G. Brunetti, R. van Weeren, A. Bonafede, D. Dallacasa, R. Cassano, T. Venturi, R. Kale), Astron. Astrophys. 609, A61 (2018).
- Кучити и др. (V. Cuciti, R. Cassano, G. Brunetti, D. Dallacasa, R.J. vanWeeren, S. Giacintucci, A. Bonafede, F. de Gasperin, et al.), Astron. Astrophys. 647, A50 (2021).
- Е.В. Левич, Р.А. Сюняев, Астрон. журн. 48, 461 (1971) [E. V. Levich, R.A. Sunyaev, Sov. Astron. 15, 363 (1971)].
- Ленг К. “Астрофизические формулы (руководство для физиков и астрофизиков)” (ред. пер. Л.А. Покровский, В.Л. Хохлова), Мир: М., том 1, с. 68 (1978) [K.R. Lang “Astrophysical formulae (A Compendium for the Physicist and Astrophysicist)”, Springer-Verlag (1974)].
- Ли и др. (E. Lee, J. Chluba, and G.P. Holder), MNRAS 512, 5153L (2022).
- Маеда и др. (K. Maeda, H. Alvarez, J. Aparici, J. May, P. Reich), Astron. Astrophys. Suppl. Ser. 140, 145 (1999).
- Мрочковский и др. (T. Mroczkowski, D. Nagai, K. Basu, J. Chluba, J. Sayers, R. Adam, E. Churazov, A. Crites, et al.), Space Sci. Rev. 215, 17 (2019).
- Поздняков Л.А., Соболь И.М., Сюняев Р.А., Итоги науки и техники (сер. Астрономия) (М.: ВИНИТИ, ١٩٨٢), т. ٢١, с. ٢٣٨ [L. A. Pozdnyakov, I. M. Sobol’, and R. A. Syunyaev, Sov. Sci. Rev., Sec. E: Astrophys. Space Phys. Rev. ٢, ١٨٩ (١٩٨٣)].
- Райх и др. (P. Reich, J.C. Testori, W. Reich), Astron. Astrophys. 376, 861 (2001).
- Ремазейл и др. (M. Remazeilles, C. Dickinson, A.J. Banday, M.-A. Bigot-Sazy, T. Ghosh), MNRAS 451, 4311 (2015).
- Роджер и др. (R.S. Roger, C.H. Costain, T.L. Landecker, C.M. Swerdlyk), Astron. Astrophys. 137, 7 (1999).
- Сабир и др. (A. Sabyr, J.C. Hill, B. Boliet), Phys. Rev. D 106, 023529 (2022).
- Сазонов С.Ю., Сюняев Р.А., Письма в Астрон. журн. 27, 563 (2001) [S.Yu. Sazonov, R.A. Sunyaev, Astron. Lett. 27, 481 (2001)].
- Сейферт и др. (M. Seiffert, D.J. Fixsen, A. Kogut, S.M. Levin, M. Limon, P.M. Lubin, P. Mirel, J. Singal, et al.), Astrophys. J. 734, 6 (2011).
- Сехгал и др. (N. Sehgal, S. Aiola, Y. Akrami, K. Basu, M. Boylan-Kolchin, S. Bryan, C. M. Casey, S. Clesse, et al.), BAAS 51, 6 (2019).
- Сингал и др. (J. Singal, N. Fornengo, M. Regis, G. Bernardi, D. Bordenave, E. Branchini, N. Cappelluti, A. Caputo, et al.), PASP 135, 1045, id.036001 (2023).
- Сюняев (R.A. Sunyaev), Astrophys. Lett. 7, 19 (1970).
- Сюняев Р.А., Письма в Астрон. журн. 6, 387 (1980) [R.A. Sunyaev, Sov. Astron. Lett. 6, 213 (1980)].
- Сюняев, Зельдович (R.A. Sunyaev, Ya.B. Zeldovich), Astrophys. Sp. Sci. 7,3 (1970).
- Сюняев, Зельдович (R.A. Sunyaev, Ya.B. Zeldovich), Comm. Astrophys. Sp. Phys. 4, 173 (1972).
- Сюняев, Зельдович, (R.A. Sunyaev, Ya.B. Zeldovich), Ann. Rev. Astron. Astrophys. 18, 537 (1980).
- Сюняев, Зельдович, (R.A. Syunyaev, Ya.B. Zeldovich), Sov. Sci. Rev., Sec. E: Astrophys. and Space Phys. Rev., 1, 1 (1981).
- Фиксен и др. (D.J. Fixsen, A. Kogut, S. Levin, M. Limon, P. Lubin, P. Mirel, M. Seiffert, J. Singal, et al.), Astrophys. J. 734, 5 (2011).
- де Хаан и др. (T. de Haan, B.A. Benson, L.E. Bleem, S.W. Allen, D.E. Applegate, M.L.N. Ashby, M. Bautz, M. Bayliss, et al.), Astrophys. J. 832, 95 (2016).
- ван Хаарлем и др. (M.P. van Haarlem, M.W. Wise, A.W. Gunst, G. Heald, J.P. McKean, J.W.T. Hessels, A.G. de Bruyn, R. Nijboer, et al.), Astron. Astrophys. 556, A2 (2013).
- Хазелфилд и др. (M. Hasselfield, M. Hilton, T.A. Marriage, G.E. Addison, L.F. Barrientos, N. Battaglia, E. S. Battistelli, J.R. Bond, et al.), JCAP 07, 008 (2013).
- Хардкастл и др. (M.J. Hardcastle, T.W. Shimwell, C. Tasse, P.N. Best, A. Drabent, M.J. Jarvis, I. Prandoni, H.J.A. RÖttgering, et al.), Astron. Astrophys. 648, 10 (2021).
- Хилл, Лонгейр (J.M. Hill, M.S. Longair), MNRAS 154, 125 (1971).
- Хилтон и др. (M. Hilton, C. Sifon, S. Naess, M. Madhavacheril, M. Oguri, E. Rozo, E. Rykoff, T. M. C. Abbott, et al.), Astrophys. J. Suppl. Ser. 253, 3 (2021).
- Холдер, Хлуба (G.P. Holder, J. Chluba), Astrophys. J., arXiv:2110.08373 (2021).
- Хотан и др. (A.W. Hotan, J.D. Bunton, A.P. Chippendale, M. Whiting, J. Tuthill, V.A. Moss, D. Mc Connell, S.W. Amy, et al.), Publ. Astron. Soc. Austral. 38, 9 (2021).
Supplementary files


















