Оценка кинематического возраста движущейся группы β Pictoris по современным данным
- Authors: Бобылев В.В.1, Байкова А.Т.1
-
Affiliations:
- Главная (Пулковская) астрономическая обсерватория РАН
- Issue: Vol 50, No 4 (2024)
- Pages: 269-280
- Section: Articles
- URL: https://journal-vniispk.ru/0320-0108/article/view/268795
- DOI: https://doi.org/10.31857/S0320010824040035
- EDN: https://elibrary.ru/NRRQEG
- ID: 268795
Cite item
Full Text
Abstract
Изучена кинематика около 40 одиночных звезд, принадлежащих движущейся группе Pictoris. По этим звездам с наземными определениями лучевых скоростей получена оценка возраста движущейся группы Pictoris двумя способами. Обе оценки являются кинематическими. В первом способе были рассмотрены траектории звезд, построенные в прошлое, что дало оценку млн лет. Во втором способе из анализа мгновенных скоростей звезд показано, что имеет место расширение звездной системы, происходящее в галактической плоскости . На основе этого эффекта найден промежуток времени, прошедший от начала расширения движущейся группы Pictoris до настоящего момента, млн лет.
Full Text
ВВЕДЕНИЕ
Движущаяся группа Pictoris (Бета Живописца) состоит из молодых (возрастом примерно 20 млн лет) звезд, которые распределены вокруг Солнца в области радиусом ~50 пк. Благодаря близкому расположению этих звезд к Солнцу, всестороннее их изучение представляет важное значение для решения различных звездно-астрономических задач. Большинство членов группы являются маломассивными звездами спектральных классов K и M, на диаграмме Герцшпрунга–Ресселла они занимают область, характерную для звезд, не достигших главной последовательности. В их атмосферах еще имеется литий, анализ содержания которого лежит в основе одного из методов оценки возраста звездных скоплений и ассоциаций. Собственно звезда Pictoris является достаточно яркой звездой спектрального класса А. Прямыми наблюдениями установлено, что она окружена осколочным диском, несколькими поясами планетезималей, вокруг нее обращаются две экзопланеты Pict b и Pict c. Динамическое взаимодействие этих экзопланет с дисками, планетезималями и экзокометами промоделировано в интересной работе Бойста и др. (2024).
Рассеянные звездные скопления (РЗС) содержат около членов, являются гравитационно-связанными системами на длительных интервалах времени, порядка 2–4 млрд лет. Многие РЗС, например, Плеяды или Гиады, можно наблюдать на небе в виде отчетливо выраженного компактного сгущения звезд. В отличие от РЗС, движущиеся группы звезд содержат небольшое количество членов (несколько десятков), они не образуют отчетливого сгущения на небе, выделяют их по общему пространственному движению звезд, металличности, возрасту и другим общим характеристикам. В настоящее время известно несколько таких структур различного возраста. Это, например, движущаяся группа звезд Большой Медведицы, движущаяся группа звезд Кастора или движущаяся группа звезд Дзеты Геркулеса.
Большую работу в задаче поиска и анализа движущихся групп звезд проделал в свое время Олин Эгген. Например, им была описана кинематическая группа Сириуса (Эгген, 1960). В работе Агекяна, Орлова (1984) был проведен анализ нескольких движущихся групп звезд по данным каталога близких к Солнцу звезд (Глизе, 1969). При этом звезда Pictoris (Glize 219) оказалась членом даже двух групп.
Революционное влияние на поиск и анализ движущихся групп звезд оказал каталог Hipparcos (1997). Так, начиная с работ Баррадо-и-Наваскуэса и др. (1999), а также Цукермана и др. (2001), основанных на использовании данных Hipparcos, была описана движущаяся группа Pictoris в виде, близком к принятому сейчас. Список кандидатов в эту группу звезд был дополнен благодаря работам Торреса и др. (2006), Шлидера и др. (2010, 2012), Кисса и др. (2011), Мало и др. (2014), Риделя и др. (2014), Школьник и др. (2017) с использованием результатов различных наблюдательных программ. В итоге для ряда членов этой группы были уточнены или заново определены важнейшие кинематические характеристики, в частности, значения их лучевых скоростей.
Новый всплеск интереса к изучению движущихся групп звезд был вызван публикацией высокоточных данных нескольких версий каталога, создаваемого по проекту Gaia (Коллаборация Gaia, 2016). В частности, современные результаты анализа движущейся группы Pictoris отражены в работах Кранделла и др. (2019), Мирет-Ройга и др. (2020), Кутюр и др. (2023) и Ли и др. (2024).
Для оценки возраста движущейся группы Pictoris применялись различные методы, такие как подгонка к подходящей изохроне, анализ содержания лития, кинематические методы и др. Многие из таких оценок отражены в работе Ли и др. (2023), где можно заметить плохое согласие результатов, полученных различными методами.
Целью настоящей работы является оценка кинематического возраста движущейся группы Pictoris. Для этого используются данные каталога Gaia DR3 (Коллаборация Gaia, 2022). Основой выборки являются исключительно одиночные звезды согласно классификации Ли и др. (2024). Метод заключается в построении орбит звезд в прошлом на заданном временном интервале и оценке того момента, когда звездная группировка имела минимальный пространственный размер.
МЕТОД
Используем прямоугольную систему координат с центром в Солнце, где ось направлена в сторону галактического центра, ось – в сторону галактического вращения и ось – в северный полюс Галактики. Тогда и где – гелиоцентрическое расстояние звезды в кпк, которое мы вычисляем через параллакс звезды в мсд (миллисекунды дуги).
Из наблюдений известны лучевая скорость и две проекции тангенциальной скорости и направленные вдоль галактической долготы и широты соответственно, выраженные в км/с. Здесь коэффициент 4.74 является отношением числа километров в астрономической единице к числу секунд в тропическом году. Компоненты собственного движения и выражены в мсд/год.
Через компоненты вычисляются скорости , где скорость направлена от Солнца к центру Галактики, в направлении вращения Галактики и на северный галактический полюс:
(1)
Для построения орбит звезд в системе координат, вращающейся вокруг центра Галактики, используем эпициклическое приближение (Линдблад, 1927):
(2)
где – время в млн лет (исходим из соотношения пк/млн лет = 0.978 км/с), и – постоянные Оорта; – эпициклическая частота; – угловая скорость галактического вращения местного стандарта покоя, ; – частота вертикальных колебаний, где – гравитационная постоянная, а – звездная плотность в околосолнечной окрестности.
Параметры и в системе уравнений (2) обозначают современные положения и скорости звезд соответственно. Возвышение Солнца над галактической плоскостью принято равным пк согласно работе Бобылева, Байковой (2016). Скорости вычисляем относительно местного стандарта покоя с использованием значений км/с, полученных Шонрихом и др. (2010). Мы приняли пк3 (Холмберг, Флинн, 2004), что дает км/с/кпк. Используем следующие значения постоянных Оорта км/с/кпк и км/с/кпк, близкие к современным оценкам. Обзор таких оценок можно найти, например, в работе Крисановой и др. (2020).
ДАННЫЕ
Основу нашей выборки составляют звезды, которые классифицированы как одиночные в работе Ли и др. (2024), где выполнен детальный анализ кандидатов в движущуюся группу Pictoris. Исходная выборка кандидатов в работе этих авторов включала 415 звезд из каталога Gaia DR3, для 99 из которых измерены лучевые скорости из этого каталога. Итоговый список вероятных членов в движущуюся группу Pictoris по версии Ли и др. (2024) содержит 86 звезд (одиночных, подтвержденных двойных и неразрешенных двойных).
Из этого списка мы отобрали одиночные звезды и сформировали две выборки. В первую вошла 31 звезда с тригонометрическими параллаксами, собственными движениями и лучевыми скоростями из каталога Gaia DR3. Во вторую выборку вошла 41 звезда с параллаксами, собственными движениями из каталога Gaia DR3 и лучевыми скоростями из литературных источников. Значения лучевых скоростей мы взяли из электронной базы SIMBAD1, где можно найти соответствующие ссылки.
Выбор именно одиночных звезд достаточно очевиден. Ведь орбитальное движение компонент двойной или кратной системы вокруг общего центра масс может существенным образом исказить результаты кинематического анализа. Конечно, это рассуждение относится к тому случаю, когда измерены мгновенные скорости звезд, а параметры орбиты двойной или кратной системы не определены.
Координаты, тригонометрические параллаксы и собственные движения отобранных звезд, взятые из каталога Gaia DR3, даны в табл. 1. Два варианта лучевых звезд даны в табл. 2.
Таблица 1. Одиночные звезды движущейся группы Pictoris,
Gaia DR3 | , град | , град | , мсд | , мсд/год | мсд /год |
66245408072670336 | 59.39 | 24.75 | 14.55±.02 | 34.34±.03 | -46.52±.02 |
2901786974419551488 | 82.44 | -32.65 | 33,60±.02 | 15.27±.02 | 10.77±.02 |
3238965099979863296 | 76.55 | 4.66 | 36.19±.03 | 30.16±.03 | -89.86±.02 |
3231945508509506176 | 74.90 | 1.78 | 40.99±.01 | 39.13±.01 | -94.90±.01 |
4764027962957023104 | 75.20 | -57.26 | 37,21±.01 | 35.39±.01 | 74.11±.02 |
5412403269717562240 | 146.62 | -44.96 | 21.44±.03 | -78.26±.03 | 9.26±.03 |
5963633872326630272 | 255.67 | -45.37 | 31.30±.02 | -20.10±.02 | -137.85±.02 |
5924485966955008896 | 262.48 | -54.26 | 14.79±.01 | -5.49±.01 | -63.44±.01 |
4067828843907821824 | 268.01 | -23.97 | 15.61±.02 | .16±.03 | -52.50±.02 |
4050178830427649024 | 271.07 | -30.31 | 18.15±.02 | 3.42±.02 | -65.22±.02 |
6648834361774839040 | 271.48 | -57.08 | 17.71±.02 | .89±.02 | -72.95±.02 |
6649786646225001984 | 280.52 | -55.90 | 19.36±.02 | 11.12±.02 | -78.05±.01 |
6649788119394186112 | 280.53 | -55.91 | 19.44±.02 | 12.01±.02 | -79.07±.01 |
6631685008336771072 | 281.72 | -62.18 | 19.72±.02 | 13.24±.02 | 80.28±.02 |
6736232346363422336 | 282.69 | -31.80 | 20.22±.01 | 17.27±.02 | -72.34±.01 |
6655168686921108864 | 283.27 | -50.18 | 21.16±.02 | 16.27±.02 | -85.52±.02 |
6663346029775435264 | 290.91 | -46.11 | 14.03±.02 | 18.07±.02 | -57.25+.01 |
6764421281858414208 | 292.52 | -29.66 | 16.60±.02 | 23.67±.03 | -59.61±.02 |
6754492966739292928 | 297.07 | -27.34 | 15,47 t.02 | 25.15+.02 | -53.38±.01 |
6747467224874108288 | 299.02 | −32.13 | 19.49±.02 | 33.60±.02 | −68.53.±01 |
6747106443324127488 | 300.41 | −33.22 | 16.68±.02 | 29.23±.02 | −61.39±.01 |
6700649538727351040 | 301.49 | −32.28 | 20.18±.03 | 38.44±.03 | −70.45±.02 |
6794047652729201024 | 311.29 | −31.34 | 102.94±.02 | 281.32±.02 | −360.15±.02 |
6833292181958100224 | 317.52 | −19.33 | 30.90±.03 | 90.61±.03 | −91.00±.02 |
6835588645136005504 | 320.03 | −16.76 | 20.72±.02 | 59.81±.02 | −58.13±.02 |
6382640367603744128 | 340.71 | −71.71 | 27.23±.01 | 94.85±.01 | −52.38±.01 |
2433191886212246784 | 353.13 | −12.26 | 36.43±.02 | 139.63±.02 | −82.07±.02 |
87555176071871744 | 36.07 | 20.53 | 14.13±.07 | 47.04±.08 | −39.79±.07 |
68012529415816832 | 53.76 | 23.71 | 19.72±.09 | 51.48±.11 | −62.85±.08 |
5266270443442455040 | 94.62 | −72.04 | 25.57±.01 | 7.71±.02 | 74.41±.01 |
6414282147589248000 | 272.28 | −76.22 | 36.6±6.02 | 7.20±.02 | −150.57±.02 |
4071532308311834496 | 281.81 | −28.15 | 16.69±.04 | 14.38±.05 | −60.94±.04 |
6850555648387276544 | 302.16 | −25.76 | 17.85±.04 | 35.14±.03 | −59.42±.02 |
6801191424589717888 | 317.63 | −27.18 | 24.84±.06 | 70.16±.05 | −76.06±.04 |
6801191355870240768 | 317.63 | −27.18 | 24.76±.03 | 68.01±.03 | −75.68±.02 |
6608255235884536320 | 338.45 | −29.84 | 19.19±.10 | 65.15±.09 | −45.92±.09 |
2324205785406060928 | 353.96 | −34.03 | 26.76±.04 | 101.72±.04 | −50.22±.04 |
2315849737553379840 | 7.06 | −32.47 | 28.56±.02 | 112.01±.02 | −44.58 ±.03 |
2357025657739386624 | 12.11 | −18.79 | 19.42±.03 | 73.28±.03 | −47.15±.03 |
5177677603263978880 | 41.28 | −7.14 | 14.66±.02 | 45.04±.03 | −37.59±.03 |
6603693808817829760 | 341.25 | −33.26 | 48.00±.03 | 176.82±.03 | −120.88±.02 |
Таблица 2. Лучевые скорости отобранных одиночных звезд
Gaia DR3 | , град | , град | , км/с | , км/с |
66245408072670336 | 59.39 | 24.75 | 11.85±0.66 | 14.30±0.01 |
2901786974419551488 | 82.44 | -32.65 | 23.39±18.39 | 22.00±0.60 |
3238965099979863296 | 76.55 | 4.66 | 20.13±3.73 | 18.80±2.40 |
3231945508509506176 | 74.90 | 1.78 | 18.54±0.25 | 19.16±0.01 |
4764027962957023104 | 75.20 | −57.26 | 18.54±0.22 | 19.16±0.01 |
5412403269717562240 | 146.62 | −44.96 | 15.84±3.39 | 15.69±1.52 |
5963633872326630272 | 255.67 | −45.37 | −3.65±0.43 | -2.63±0.18 |
5924485966955008896 | 262.48 | −54.26 | −1.58±1.50 | 3.44±0.09 |
4067828843907821824 | 268.01 | −23.97 | −10.74±3.18 | −10.23±1.82 |
4050178830427649024 | 271.07 | −30.31 | −7.19±1.54 | −7.41±0.24 |
6648834361774839040 | 271.48 | −57.08 | −1.17±1.59 | 0.65±0.21 |
6649786646225001984 | 280.52 | −55.90 | 3.12±26.81 | 0.43±0.85 |
6649788119394186112 | 280.53 | −55.91 | 0.20±1.28 | 1.17±0.17 |
6631685008336771072 | 281.72 | −62.18 | 1.45±0.46 | 1.72±0.01 |
6736232346363422336 | 282.69 | −31.80 | −12.05±2.24 | −8.81±0.20 |
6655168686921108864 | 283.27 | −50.18 | −3.59±1.55 | −4.20±0.20 |
6663346029775435264 | 290.91 | −46.11 | −1.29±0.49 | −0.31±0.49 |
6764421281858414208 | 292.52 | −29.66 | −3.33±7.13 | −5.17±0.95 |
6754492966739292928 | 297.07 | −27.34 | −6.20±1.26 | −6.26±0.16 |
6747467224874108288 | 299.02 | −32.13 | −6.57±0.36 | −6.15±0.05 |
6747106443324127488 | 300.41 | −33.22 | −4.13±0.46 | −4.36±0.08 |
6700649538727351040 | 301.49 | −32.28 | −6.55±0.61 | −5.10±1.30 |
6794047652729201024 | 311.29 | −31.34 | −6.90±0.37 | −4.71±0.01 |
6833292181958100224 | 317.52 | −19.33 | −6.43±0.88 | −6.14±0.01 |
6835588645136005504 | 320.03 | −16.76 | −6.07±2.08 | −5.10±0.62 |
6382640367603744128 | 340.71 | −71.71 | 7.02±0.21 | 7.99±0.02 |
2433191886212246784 | 353.13 | −12.26 | −0.71±0.69 | 0.83±0.29 |
87555176071871744 | 36.07 | 20.53 | 8.62±1.22 | |
68012529415816832 | 53.76 | 23.71 | 15.50±1.70 | |
5266270443442455040 | 94.62 | −72.04 | 16.10±0.01 | |
6414282147589248000 | 272.28 | −76.22 | 6.98±0.38 | |
4071532308311834496 | 281.81 | −28.15 | −7.46±1.65 | |
6850555648387276544 | 302.16 | −25.76 | −5.74±1.57 | |
6801191424589717888 | 317.63 | −27.18 | −3.80±0.40 | |
6801191355870240768 | 317.63 | −27.18 | −4.21±0.33 | |
6608255235884536320 | 338.45 | −29.84 | −1.94±0.30 | |
2324205785406060928 | 353.96 | −34.03 | 5.90±0.78 | |
2315849737553379840 | 7.06 | −32.47 | 12.08±2.69 | 6.79±2.66 |
2357025657739386624 | 12.11 | −18.79 | 11.81±3.42 | 7.21±0.68 |
5177677603263978880 | 41.28 | −7.14 | 4.39±3.45 | 11.36±2.29 |
6603693808817829760 | 341.25 | −33.26 | -4.65±3.83 | 1.84 ± 0.02 |
РЕЗУЛЬТАТЫ
На рис. 1 даны современные положения (голубые кружки) и траектории в прошлом 31 звезды движущейся группы Pictoris. Параллаксы, собственные движения и лучевые скорости этих звезд были взяты нами из каталога Gaia DR3. Интегрирование орбит звезд в прошлое выполнено на интервале 45 млн лет. По 27 звездам вычислены средние значения положений и скоростей, которые мы считаем характеристиками кинематического центра этой звездной группировки. Четыре звезды, траектории которых показаны оранжевым цветом на рис. 1, были отброшены из-за больших отклонений от среднего тренда. Это звезды со следующими ID Gaia DR3:
(3)
расположенные в четырех нижних строках табл. 1 и 2. Как можно видеть из табл. 2, значения лучевых скоростей из каталога Gaia DR3 имеют заметные отличия от лучевых скоростей, измеренных наземными способами. Отметим, что эти звезды отбрасываются по критерию 3 при анализе зависимостей скоростей от координат , о чем будет сказано ниже.
Рис. 1. Распределение 31 члена движущейся группы Pictoris в проекции на галактическую плоскость и их траектории в прошлом (a), вертикальное распределение этих звезд и их траектории в прошлом (б), траектории прослежены на интервале 45 млн лет, оранжевым цветом отмечены траектории четырех звезд, отброшенных при вычислении кинематического центра этой звездной группировки. Все данные для этих звезд были взяты нами из каталога Gaia DR3.
На рис. 2 даны современные положения и траектории в прошлом 27 звезд движущейся группы Pictoris вместе с траекторией их кинематического центра. Отметим, что траектории звезд вычислены с учетом возвышения Солнца над галактической плоскостью. Таким образом, на всех наших рисунках координата отражает положение звезд относительно плоскости Галактики.
Рис. 2. Распределение 27 членов движущейся группы Pictoris в проекции на галактическую плоскость и их траектории в прошлом (a), вертикальное распределение этих звезд и их траектории в прошлом (б), траектории прослежены на интервале 45 млн лет, траектория кинематического центра этой звездной группировки показана красным цветом. Все данные для этих звезд были взяты нами из каталога Gaia DR3.
Траектория кинематического центра задается следующим образом. Вычисляем средние значения положений и скоростей звездной группировки и . С использованием этих значений строится траектория кинематического центра. С использованием разностей (между звездой и кинематическим центром) координат на каждый момент интегрирования для каждой звезды вычисляем значение параметра следующего вида:
(4)
которое характеризует отклонение звезды от траектории кинематического центра.
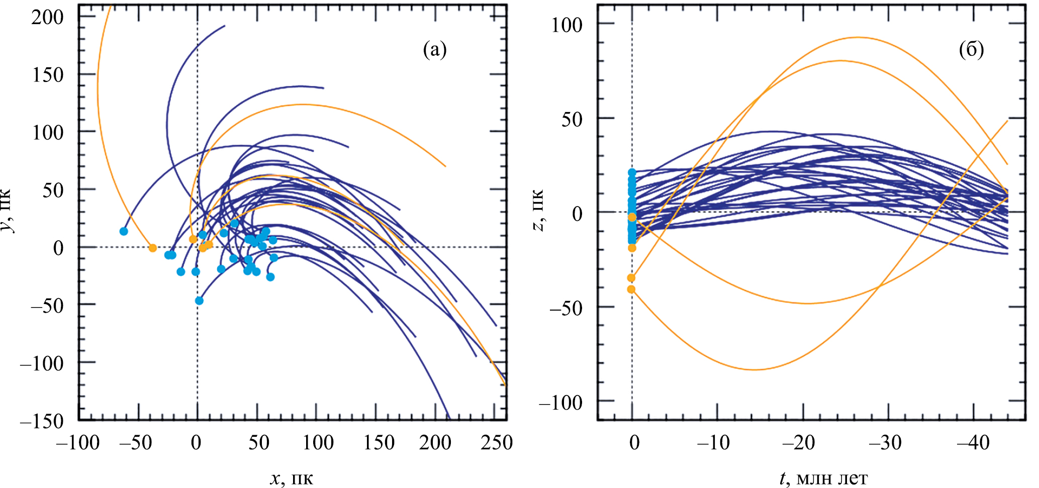
На рис. 3 даны современные положения и траектории 41 звезды движущейся группы Pictoris. Значения лучевых скоростей этих звезд были взяты нами из электронной базы SIMBAD.
Рис. 3. Распределение 41 члена движущейся группы Pictoris в проекции на галактическую плоскость и их траектории в прошлом (a), вертикальное распределение этих звезд и их траектории в прошлом (б), траектории прослежены на интервале 45 млн лет, траектория кинематического центра этой звездной группировки показана красным цветом. Значения лучевых скоростей этих звезд были взяты нами из электронной базы SIMBAD.
На рис. 4 даны значения параметра как для 27 звезд движущейся группы Pictoris с лучевыми скоростями из каталога Gaia DR3, так и для 41 звезды с лучевыми скоростями из электронной базы SIMBAD. На основе рис. 4б были отброшены три звезды со следующими ID Gaia DR3:
(5)
так как их траектории сразу сильно удаляются от настоящего положения. Таким образом, из ранее отброшенных четырех звезды списка (3) теперь не все отбраковываются.
Рис. 4. Отклонения звезд от средней траектории (параметр ) на интервале интегрирования для 27 звезд движущейся группы Pictoris с лучевыми скоростями из каталога Gaia DR3 (а) и для 41 звезды этой группы с лучевыми скоростями из электронной базы SIMBAD (б), желтым цветом на панели (б) отмечены траектории трех звезд, которые не были использованы при оценивании возраста группы.
Возможно, требуются более точные кинематические данные для трех звезд списка (5). Отметим, что первые две звезды в списке (5) имеют отрицательные значения координаты с наибольшей абсолютной величиной (на рис. 3б их пк). Эти три звезды не были использованы нами при оценивании возраста движущейся группы Pictoris.
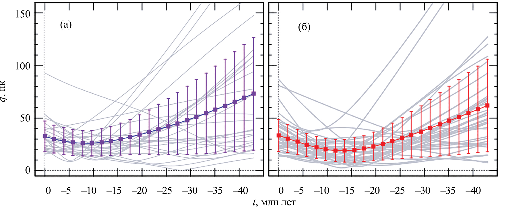
Рис. 5 фактически повторяет рис. 4 за исключением того, что на обеих панелях рисунка даны сглаженные средние. При этом хорошо видно, что а) размер звездной группировки 30–40 млн лет в прошлом имел существенно больший пространственный размер по сравнению с настоящим, б) имеется минимум средней линии на каждой панели, хотя минимум более глубокий на панели рис. 5б, в) имеется тенденция к расширению звездной группировки. Отметим, что на рис. 5б орбиты звезд были вычислены относительно новой траектории кинематического центра, вычисленной после исключения отскоков. Анализ 27 звезд с лучевыми скоростями из каталога Gaia DR3 (рис. 5а) дал следующую оценку возраста движущейся группы Pictoris:
(6)
в то время как по 38 звездам с наземными определениями лучевых скоростей (рис. 5(б)) найдено
(7)
Рис. 5. Отклонения звезд от средней траектории (параметр ) на интервале интегрирования для 27 звезд движущейся группы Pictoris с лучевыми скоростями из каталога Gaia DR3 (а) и для 38 звезды этой группы с лучевыми скоростями из электронной базы SIMBAD (б), даны усредненные значения с соответствующими дисперсиями.
Оценки ошибок результатов (6) и (7) были найдены в результате статистического моделирования методом Монте-Карло. При этом предполагалось, что орбиты звезд построены с относительными ошибками 10%, распределенными по нормальному закону.
На рис. 6 даны: зависимость скоростей от координаты , где показан найденный методом наименьших квадратов на основе этих данных градиент км/с/кпк с границами доверительных интервалов; зависимость скоростей от и градиент км/с/кпк, а также зависимость скоростей от . Фактически по данным трех представленных на рисунке панелей имеем возможность определить три градиента, которые в линейной модели Огородникова–Милна (Огородников, 1965; Бобылев, Байкова, 2023) являются диагональными членами матрицы деформации и описывают эффекты расширения звездной системы.
Рис. 6. Скорости в зависимости от координаты (а), скорости в зависимости от координаты (б) и скорости в зависимости от координаты (в) для 38 звезд движущейся группы Pictoris с лучевыми скоростями из электронной базы SIMBAD.
Для построения рис. 6 были использованы 38 звезд движущейся группы Pictoris с лучевыми скоростями из базы SIMBAD. Зависимость вертикальных скоростей от координаты отсутствует, что хорошо видно из рис. 6в. Вернее, значение градиента близко к нулю, но ошибка определения этого значения очень велика, ~12 км/с/кпк. Поэтому значение коэффициента объемного расширения звездной системы () надежно определить не удается.
На основе градиентов и можем оценить плоский эффект линейного расширения звездной системы, (расширение в плоскости ):
(8)
и найти промежуток времени, прошедший от начала расширения этой звездной системы до настоящего момента, :
(9)
ОБСУЖДЕНИЕ
В работе Ли и др. (2024) возраст движущейся группы Pictoris оценивался несколькими методами: а) путем подгонки к подходящей изохроне, б) путем подгонки границ истощения лития к моделям, которые учитывают влияние магнитной активности и пятен на молодых, быстро вращающихся звездах. Эти авторы установили, что оценки возраста сильно зависят от использованной модели. Магнитные модели с возрастом млн лет наилучшим образом соответствуют границе истощения лития, а млн лет лучше соответствуют диаграмме вида – показатель цвета . При этом стандартная магнитная модель Дартмута с возрастом млн лет обеспечивает наилучшее соответствие диаграмме вида – показатель цвета . Таким образом, оценки возраста движущейся группы Pictoris, полученные этими авторами по самым современным данным, заключены в широком интервале величин [11–33] млн лет.
Отметим обширную сводку результатов определения различными авторами возраста движущейся группы Pictoris, представленную в работе Мамаека, Белла (2014). Применяя изохронный фиттинг, эти авторы нашли млн лет, а в сочетании с результатом анализа содержания лития они получили млн лет. В работе Мирет-Ройга и др. (2020) также дана сводка оценок возраста движущейся группы Pictoris, охватывающая 20 результатов, полученных с 1999 по 2020 год. Из таблицы 6 этих авторов видно, что оценки лежат примерно в интервале [10–50] млн лет, хотя в основном группируются вблизи значения 20 млн лет.
Полученная в настоящей работе оценка находится в хорошем согласии с кинематическими оценками, полученными рядом авторов. Например, в работе Кранделла и др. (2019) было идентифицировано 10 новых вероятных членов, а также подтверждены 48 кандидатов в члены движущейся группы Pictoris. С использованием данных каталога Gaia DR2 (Коллаборация Gaia, 2018) и лучевыми скоростями из литературы найдена оценка млн лет.
В работе Мирет-Ройга и др. (2020) с использованием данных из каталога Gaia DR2 для 81 звезды получена кинематическая оценка млн лет. При этом были привлечены значения лучевых скоростей звезд, полученные различными авторами в результате наземных наблюдений.
Кутюр и др. (2023) по данным каталога Gaia DR3 для 25 членов движущейся группы Pictoris получили кинематическую оценку ее возраста млн лет.
В работе Торреса и др. (2006) при анализе около 40 членов движущейся группы Pictoris был найден градиент км/с/кпк (без указания ошибки), который можно интерпретировать как параметр расширения данного скопления вдоль координаты . Найденное нами значение этого параметра находится в хорошем согласии с оценкой Торреса и др. При этом наш результат (8) более интересен, более физичен, описывает реальное распределение векторов скоростей в плоскости .
В целом можем заключить, что имеется неплохое согласие с кинематическими оценками возраста движущейся группы Pictoris, полученными в настоящей работе и аналогичными оценками других авторов. Существенно худшее согласие имеется между кинематическими оценками возраста и оценками, полученными альтернативными способами в работе Ли и др. (2023).
ЗАКЛЮЧЕНИЕ
По данным из работы Ли и др. (2024) нами были сформированы две рабочие выборки одиночных звезд, вероятных членов движущейся группы Pictoris. В первую вошла 31 звезда с тригонометрическими параллаксами, собственными движениями и лучевыми скоростями из каталога Gaia DR3. Во вторую – 41 звезда с параллаксами, собственными движениями из каталога Gaia DR3 и лучевыми скоростями из электронной базы SIMBAD.
Для оценки кинематического возраста движущейся группы Pictoris были построены орбиты звезд в прошлом на интервале 45 млн лет, и определен момент, когда звездная группировка имела минимальный пространственный размер. Показано, что оценки кинематического возраста движущейся группы сильно зависят от использованных значений лучевых скоростей звезд-кандидатов. При этом видно, что лучевые скорости анализируемых звезд, полученные в результате наземных наблюдений (взятые из базы SIMBAD), являются более надежными по сравнению с представленными в каталоге Gaia DR3. Они измерены с меньшими случайными ошибками, их использование дает более согласованные между собой результаты.
В итоге по 38 звездам с наземными определениями лучевых скоростей мы получили оценку возраста двумя способами. Обе оценки являются кинематическими. Во-первых, изучение траекторий звезд, построенных в прошлое, дает оценку млн лет (результат (7)). Во-вторых, анализ мгновенных скоростей звезд позволяет говорить о расширении этой звездной системы, происходящем, по-крайней мере, в галактической плоскости (плоский -эффект). На основе этого эффекта найден промежуток времени, прошедший от начала расширения движущейся группы Pictoris до настоящего момента, млн лет (результат (9)).
Авторы благодарны рецензенту за полезные замечания, которые способствовали улучшению работы.
1 http://simbad.cds.unistra.fr/simbad/
About the authors
В. В. Бобылев
Главная (Пулковская) астрономическая обсерватория РАН
Author for correspondence.
Email: bob-v-vzz@rambler.ru
Russian Federation, Санкт-Петербург
А. Т. Байкова
Главная (Пулковская) астрономическая обсерватория РАН
Email: bob-v-vzz@rambler.ru
Russian Federation, Санкт-Петербург
References
- Агекян Т.А., Орлов В.В., Астрон. журн. 61, 60 (1984) [T.A. Agekyan, V.V. Orlov, SovA 28, 36 (1984)].
- Баррадо-и-Наваскуэс и др. (D. Barrado y Navascués, J.R. Stauffer, I. Song, and J.-P. Caillault), Astrophys. J. 520, L123 (1999)
- Бобылев В.В., Байкова А.Т., Письма в Астрон. журн. 42, 3 (2016) [V.V. Bobylev, A.T. Bajkova, Astron. Lett. 42, 1 (2016)].
- Бобылев В.В., Байкова А.Т., Письма в Астрон. журн. 49, 495 (2023) [V.V. Bobylev, A.T. Bajkova, Astron. Lett. 49, 410 (2023)].
- Бойст и др. (H. Beust, J. Milli, A. Morbidelli, S. Lacour, A.-M. Lagrange, G. Chauvin, M. Bonnefoy, and J. Wang), Astron Astrophys. 683, id. A89 (2024).
- Глизе (W. Glieze), Catalog of Nearby Stars (Veröff. Astron. Rechen-Inst. (Heidelberg), 22, 1969).
- Кисс и др. (L.L. Kiss, A. Moór, T. Szalai, J. Kovacs, D. Bayliss, G.F. Gilmore, O. Bienayme, J. Binney, et al.), MNRAS 411, 117 (2011).
- Коллаборация Gaia (Gaia Collaboration, T. Prusti, J.H.J. de Bruijne, A.G.A. Brown, A. Vallenari, C. Babusiaux, C.A.L. Bailer-Jones, U. Bastian, M. Biermann, et al.), Astron. Astrophys. 595, A1 (2016).
- Коллаборация Gaia (Gaia Collaboration, A.G.A. Brown, A. Vallenari, T. Prusti, et al.), Astron. Astrophys. 616, 1 (2018).
- Коллаборация Gaia (Gaia Collaboration, A. Vallenari, A.G.A. Brown, T. Prusti, et al.), arXiv: 2208.0021 (2022).
- Крисанова О.И., Бобылев В.В., Байкова А.Т., Письма в Астрон. журн. 46, 395 (2020) [O.I. Krisanova, V.V. Bobylev, A.T. Bajkova, Astron. Lett. 46, 370 (2020)].
- Кранделл и др. (T.D. Crundall, M.J. Ireland, M.R. Krumholz, Ch. Federrath, M. Zerjal, and J.T. Hansen), MNRAS 489, 3625 (2019).
- Кутюр и др. (D. Couture, J. Gagné, and R. Doyon), Astrophys. J. 946, 6 (2023).
- Ли и др. (R.A. Lee, E. Gaidos, J. van Saders, et al.), MNRAS 528, 4760 (2024).
- Линдблад (B. Lindblad), Arkiv för Mat., Astron., och Fysik, Bd. 20, A, No 17 (1927).
- Мало и др. (L. Malo, É. Artigau, R. Doyon, D. Lafreniere, L. Albert, and J. Gagne), Astrophys. J. 788, 81 (2014).
- Мамаек, Белл (E.E. Mamajek and C.P.M. Bell), MNRAS 445, 2169 (2014).
- Мирет-Ройг и др. (N. Miret-Roig, P.A.B. Galli, W. Brandner, H. Bouy, D. Barrado, J. Olivares, T. Antoja, M. Romero-Gomez, F. Figueras, and J. Lillo-Box), Astron. Astrophys. 642, A179 (2020).
- Огородников К.Ф., Динамика звездных систем (М.: Физматгиз, 1965) [K.F. Ogorodnikov, Dynamics of stellar systems (Oxford: Pergamon, Ed. Beer, A. 1965)].
- Ридель и др. (A.R. Riedel, C.T. Finch, T.J. Henry, J.P. Subasavage, W.-Ch. Jao, L. Malo, D.R. Rodriguez, R.J. White, et al.), Astron. J. 147, 85 (2014).
- Торрес и др. (C.A.O. Torres, G.R. Quast, L. da Silva, R. de La Reza, C.H.F. Melo, and M. Sterzik), Astron. Astrophys. 460, 695 (2006).
- Холмберг, Флинн (J. Holmberg and C. Flinn), MNRAS 352, 440 (2004).
- Цукерман и др. (B. Zuckerman, I. Song, M.S. Bessell, and R.A. Webb), Astrophys. J. 562, L87 (2001).
- Школьник и др. (E.L. Shkolnik, K.N. Allers, A.L. Kraus, M.C. Liu, and L. Flagg), Astron. J. 154, 69 (2017).
- Шлидер и др. (J.E. Schlieder, S. Lépine, and M. Simon), Astron. J. 140, 119 (2010).
- Шлидер и др. (J.E. Schlieder, S. Lépine, and M. Simon), Astron. J. 143, 80 (2012).
- Шонрих и др. (R. Schönrich, J. Binney, and W. Dehnen), MNRAS 403, 1829 (2010).
- Эгген (O. Eggen), MNRAS 120, 563 (1960).
- The HIPPARCOS and Tycho Catalogues, ESA SP-1200 (1997).
Supplementary files









