Об особенностях трансформации профиля акустических нелинейных волн, отраженных от ступенчатой структуры
- Авторы: Бахтин В.К.1,2, Гурбатов С.Н.1, Дерябин М.С.1,2, Касьянов Д.А.2
-
Учреждения:
- Национальный исследовательский Нижегородский государственный университет им. Н.И. Лобачевского (ННГУ)
- Федеральный исследовательский центр Институт прикладной физики Российской академии наук (ИПФ РАН)
- Выпуск: Том 69, № 3 (2023)
- Страницы: 295-303
- Раздел: НЕЛИНЕЙНАЯ АКУСТИКА
- URL: https://journal-vniispk.ru/0320-7919/article/view/134437
- DOI: https://doi.org/10.31857/S0320791922700058
- EDN: https://elibrary.ru/YJVDKQ
- ID: 134437
Цитировать
Полный текст
Аннотация
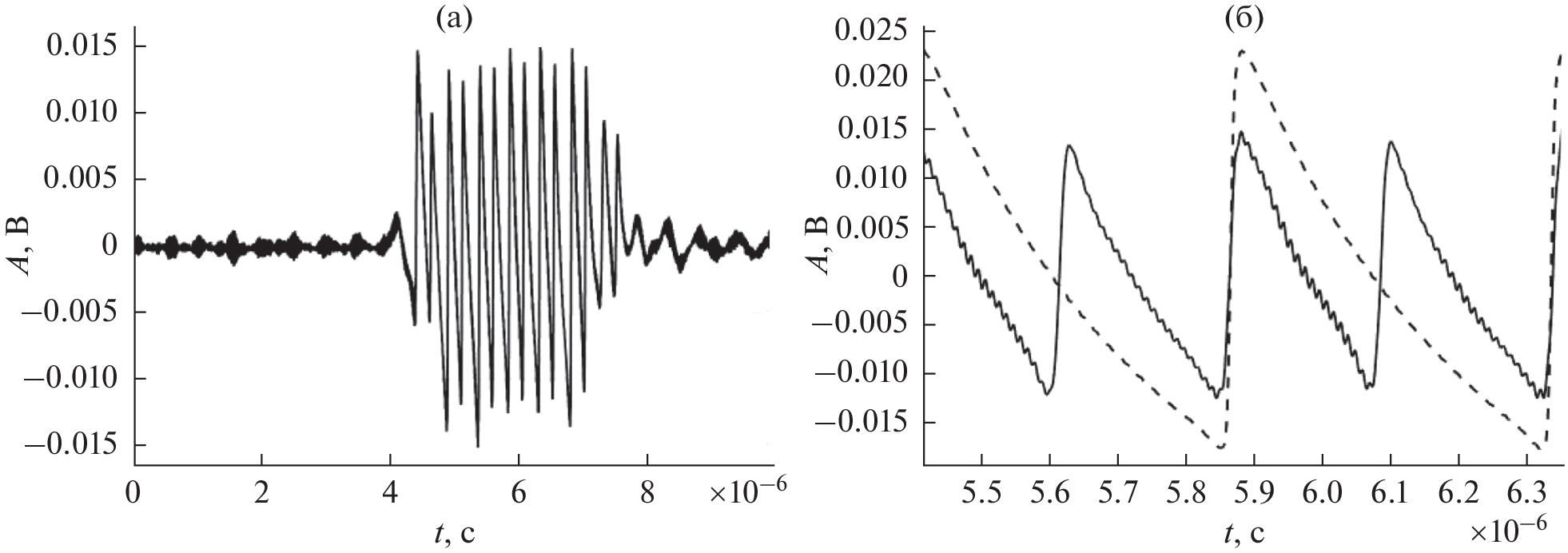
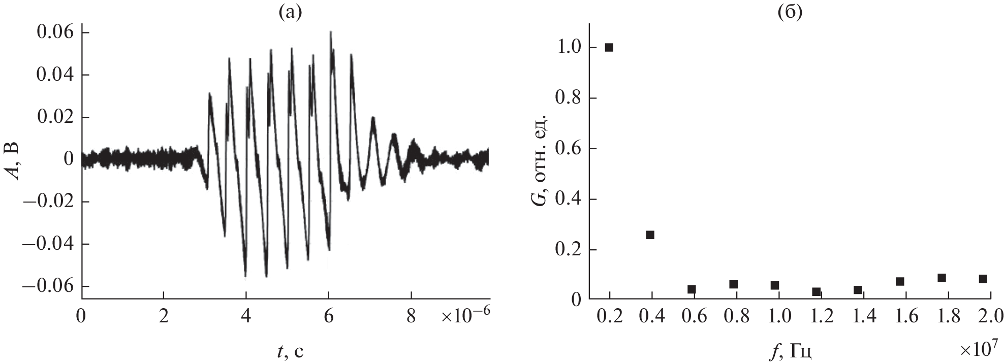
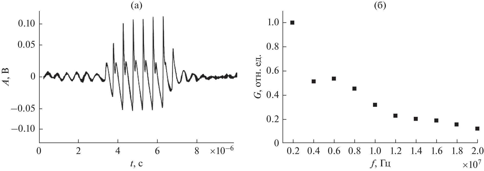
Приведены результаты исследования отражения интенсивного акустического пучка от ступенчатых структур. Рассмотрен случай больших чисел Рейнольдса, когда в падающем пучке сформировался пилообразный профиль волны, а препятствие в виде ступеньки располагалось нормально к акустической оси и находилось за координатой разрыва. При отражении от препятствия падающий на него акустический пучок расщепляется на две части, между которыми существует разность хода, задаваемая самой ступенчатой структурой. В эксперименте уделялось внимание препятствиям, создающим при отражении разность хода между двумя частями пучка, равную 0, λ/3, λ/2, λ и некоторым другим значениям. С помощью широкополосного мембранного гидрофона регистрировалась форма профиля нелинейных волн падающего и отраженного акустических пучков в произвольной пространственной точке. Это позволило проанализировать эволюцию формы пучка по мере удаления от препятствия, а также исследовать его поперечную структуру. Показан эффект удвоения характерной частоты сигнала при отражении акустического пучка от ступенчатой структуры, создающей между двумя частями отраженного пучка разность хода λ/2. Показано, что динамика нелинейных эффектов в интенсивных пучках, отраженных от ступенчатых структур, имеет сходство с трансформацией профиля акустических волн, образованных двухчастотными сигналами накачки.
Ключевые слова
Об авторах
В. К. Бахтин
Национальный исследовательский Нижегородский государственный университет им. Н.И. Лобачевского (ННГУ); Федеральный исследовательский центр Институт прикладной физики Российской академии наук (ИПФ РАН)
Email: mmm1984@inbox.ru
Россия, 603022, Нижний Новгород, пр. Гагарина 23; Россия, 603155, Нижний Новгород, ул. Ульянова 46
С. Н. Гурбатов
Национальный исследовательский Нижегородский государственный университет им. Н.И. Лобачевского (ННГУ)
Email: mmm1984@inbox.ru
Россия, 603022, Нижний Новгород, пр. Гагарина 23
М. С. Дерябин
Национальный исследовательский Нижегородский государственный университет им. Н.И. Лобачевского (ННГУ); Федеральный исследовательский центр Институт прикладной физики Российской академии наук (ИПФ РАН)
Email: mmm1984@inbox.ru
Россия, 603022, Нижний Новгород, пр. Гагарина 23; Россия, 603155, Нижний Новгород, ул. Ульянова 46
Д. А. Касьянов
Федеральный исследовательский центр Институт прикладной физики Российской академии наук (ИПФ РАН)
Автор, ответственный за переписку.
Email: mmm1984@inbox.ru
Россия, 603155, Нижний Новгород, ул. Ульянова 46
Список литературы
- Руденко О.В. Нелинейные пилообразные волны // Успехи физ. наук. 1995. Т. 165. С. 1011–1036.
- Руденко О.В. Взаимодействия интенсивных шумовых волн // Успехи физ. наук. 1986. Т. 149. С. 413–447.
- Гурбатов С.Н., Руденко О.В., Саичев А.И. Волны и структуры в нелинейных средах без дисперсии. Приложения к нелинейной акустике. М.: Физматлит, 2008. 495 с.
- Frisch U., Bec J. Burgulence // New trends in Turbulence, Les Houches 2001. Springer, Berlin, Heidelberg, 2001. P. 341–383.
- Gee K.L., Sparrow V.W., James M.M., Downing J.M., Hobbs C.M., Gabrielson T.B., Atchley A.A. The role of nonlinear effects in the propagation of noise from high-power jet aircraft // J. Acoust. Soc. Am. 2008. V. 123. № 6. P. 4082–4093.
- Muhlestein M.B., Gee K.L. Evolution of the temporal slope density function for waves propagating according to the inviscid Burgers equation // J. Acoust. Soc. Am. 2016. V. 139. P. 958–967.
- Гурбатов С.Н., Дерябин М.С., Касьянов Д.А., Курин В.В. Вырожденное параметрическое взаимодействие интенсивных акустических пучков // Известия вузов. Радиофизика. 2016. Т. 59. № 10. С. 887–889.
- Гаврилов А.М. Зависимость характеристик параметрической антенны от фазовых соотношений в спектре накачки // Акуст. журн. 1994. Т. 40. № 2. С. 235–239.
- Гурбатов С.Н., Малахов А.Н. О возможности использования параметрического взаимодействия волн для выделения слабых акустически сигналов // Акуст. журн. 1979. Т. 25. С. 53–59.
- Гурбатов С.Н., Дерябин М.С., Касьянов Д.А., Курин В.В. Об использовании вырожденного параметрического взаимодействия интенсивных акустических пучков для усиления слабых сигналов // Акуст. журн. 2017. Т. 63. № 3. С. 235–245.
- Bulat P.V., Volkov K.N. Numerical simulation of shock wave diffraction at a right angle on unstructured grids // Scientific and Technical Journal of Information Technologies, Mechanics and Optics. 2016. V. 16. № 2. P. 354–362.
- Yang G., Feng S., Huang W. Wave-blocking characteristics of corrugated plates under explosion // Shock and Vibration. 2020. Article ID 5895812.
- Nian X.-Z., Zhang Y., Sun C.-H., Wang H.-Z., Yan D.-J. Analysis of transmission and diffraction effects of air shock waves upon flexible explosion-proof walls // Engineering Mechanics. 2015. V. 32. № 3. P. 241–248.
- Yuldashev P.V., Shmeleva S.M., Ilyin S.A., Sapozhnikov O.A., Gavrilov L.R., Khokhlova V.A. The role of acoustic nonlinearity in tissue heating behind a rib cage using a high-intensity focused ultrasound phased array // Physics in Medicine & Biology. 2013. V. 58. № 8. P. 2537–2559.
- Дерябин М.С., Касьянов Д.А., Курин В.В. Особенности формирования ударных акустических волн в ограниченных пучках большой интенсивности при наличии мягкой границы в области взаимодействия // Известия вузов. Радиофизика. 2014. № 4. С. 291–300.
- Дерябин М.С., Касьянов Д.А., Курин В.В., Гарасев М.А. Особенности стадии дестабилизации профиля волны при отражении интенсивного акустического пучка от мягкой границы // Известия вузов. Радиофизика. 2015. Т. 58. №12. С. 1052–1061.
- Дерябин М.С., Гурбатов С.Н., Вьюгин П.Н., Бахтин В.К., Курин В.В., Касьянов Д.А., Тюрина А.В. О дифракции пилообразной нелинейной волны на узком круглом отверстии в экране // Акуст. журн. 2021. Т. 67. № 3. С. 235–243.
Дополнительные файлы













