Interaction of Finite Perturbations with the Front and Singularity of the Profile of a Nonlinear Wave in a Dissipative Medium
- Authors: Gusev V.A.1,2, Rudenko O.V.1,3,2
-
Affiliations:
- Moscow State University, Faculty of Physics, Moscow, Russia
- Schmidt Institute of Physics of the Earth, Russian Academy of Sciences, 123995, Moscow, Russia
- Prokhorov General Physics Institute, Academy of Sciences, Moscow, Russia
- Issue: Vol 69, No 3 (2023)
- Pages: 304-311
- Section: НЕЛИНЕЙНАЯ АКУСТИКА
- URL: https://journal-vniispk.ru/0320-7919/article/view/134438
- DOI: https://doi.org/10.31857/S032079192360004X
- EDN: https://elibrary.ru/ITYQEZ
- ID: 134438
Cite item
Full Text
Abstract
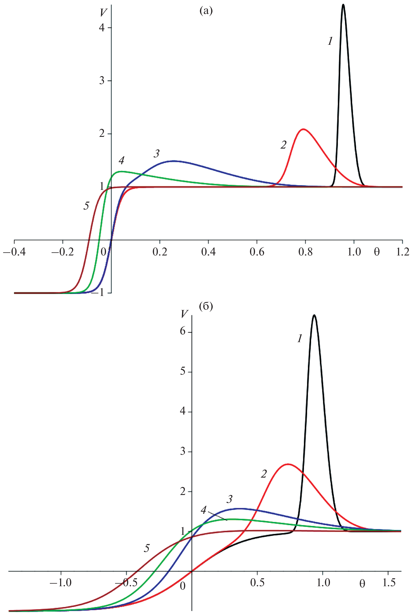
The interaction of a short pulse with three types of wave profiles in a nonlinear dissipative medium are described: a stationary shock front of finite width, a nonstationary forming front, and a “stationary” wave the profile of which contains a singularity. Exact solutions to the Burgers equation are used, which describe these interactions, as well as the symmetry properties of this equation.
About the authors
V. A. Gusev
Moscow State University, Faculty of Physics, Moscow, Russia; Schmidt Institute of Physics of the Earth, Russian Academy of Sciences, 123995, Moscow, Russia
Email: vgusev@bk.ru
Россия, Москва; Россия, Москва
O. V. Rudenko
Moscow State University, Faculty of Physics, Moscow, Russia; Prokhorov General Physics Institute, Academy of Sciences, Moscow, Russia; Schmidt Institute of Physics of the Earth, Russian Academy of Sciences, 123995, Moscow, Russia
Author for correspondence.
Email: rudenko@acs366.phys.msu.ru
Россия, Москва; Россия, Москва; Россия, Москва
References
- Маков Ю.Н., Руденко О.В. Динамика возмущений нелинейных пилообразных волн // Акуст. журн. 1996. Т. 42. № 6. С. 824-828.
- Маков Ю.Н., Руденко О.В. Возмущения формирующегося ударного фронта пилообразных волн в диссипативных средах // Акуст. журн. 1997. Т. 43. № 2. С. 257–260.
- Руденко О.В. Нелинейные пилообразные волны // Успехи физ. наук. 1995. Т. 165. № 9. С. 1011–1036.
- Гурбатов С.Н., Руденко О.В., Тюрина А.В. Трансформация высокочастотного шума в поле ударной волны // Акуст. журн. 2018. Т.64. № 4. С. 554–561.
- Гурбатов С.Н., Руденко О.В., Саичев А.И. Волны и структуры в нелинейных средах без дисперсии. М.: Физматлит, 2008. 496 с. ISBN 978-5-9221-1042-6.
- Руденко О.В., Солуян С.И. Теоретические основы нелинейной акустики. М.: Наука, 1975. 288 с.
- Ибрагимов Н.Х., Руденко О.В. Принцип априорного использования симметрий в теории нелинейных волн //Акуст. журн. 2004. Т. 50. № 4. С. 406–419.
- Руденко О.В. Разрушение сингулярности профиля сильно нелинейной волны в диссипативной среде // Докл. Акад. наук. Физика, технические науки. 2020. Т. 492. № 2. С. 61–65.
Supplementary files







