Acoustic Studies of the Melting and Crystallization of Eutectic Gallium–Silver Alloys in Porous Glasses
- Autores: Pirozerski A.L.1, Charnaya E.V.1, Abdulamonov K.A.1, Nedbai A.I.1, Kumzerov Y.A.2, Fokin A.V.2, Khomutova A.S.1
-
Afiliações:
- Faculty of Physics, St. Petersburg State University, 198504, St. Petersburg, Petrodvorets, Russia
- Ioffe Institute, 194021, St. Petersburg, Russia
- Edição: Volume 69, Nº 4 (2023)
- Páginas: 446-452
- Seção: ФИЗИЧЕСКАЯ АКУСТИКА
- URL: https://journal-vniispk.ru/0320-7919/article/view/134457
- DOI: https://doi.org/10.31857/S0320791923600014
- EDN: https://elibrary.ru/ZGMSPM
- ID: 134457
Citar
Texto integral
Resumo
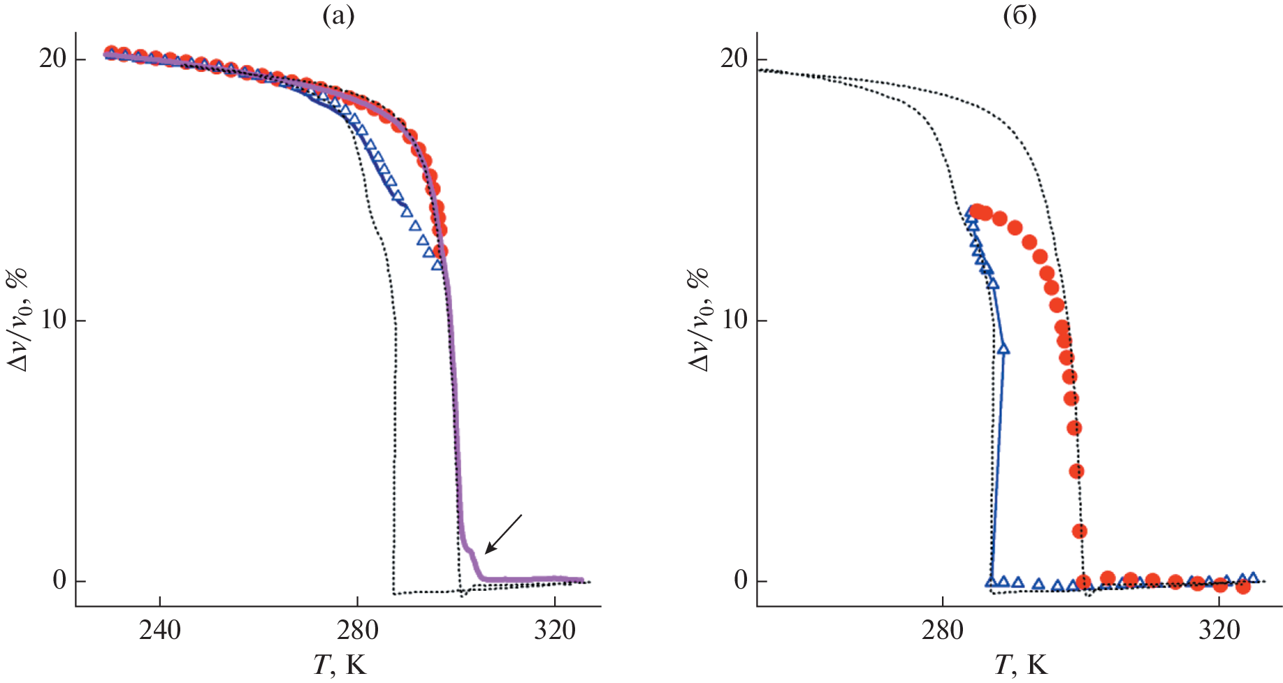
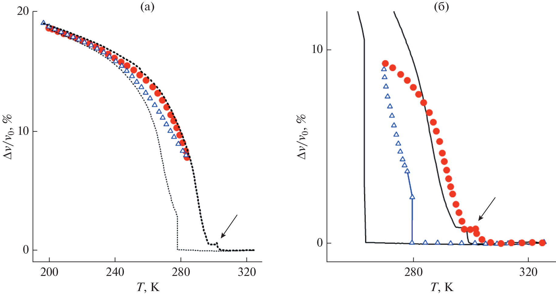
The paper presents the results of acoustic studies of the melting and crystallization of Ag–Ga alloys with a silver content of 1.5 and 3 at % embedded into porous glasses with an average pore size of 13 nm. The temperature dependences of the velocity of longitudinal ultrasonic waves are measured by a modified pulse-phase method at a frequency of 7 MHz in the 200–325 K range for complete and partial cooling–heating cycles. The temperature dependences of the ultrasonic velocity showed regions corresponding to phase transitions. Significant changes in the phase diagram of the bulk alloy due to nanostructuring have been revealed. It is shown that segregates with different crystal structures are formed in the pores for alloy of different compositions.
Sobre autores
A. Pirozerski
Faculty of Physics, St. Petersburg State University, 198504, St. Petersburg, Petrodvorets, Russia
Email: piroz@yandex.ru
Россия, 198504, Петродворец, ул. Ульяновская 1, Санкт-Петербург
E. Charnaya
Faculty of Physics, St. Petersburg State University, 198504, St. Petersburg, Petrodvorets, Russia
Email: charnaya@mail.ru
Россия, 198504, Петродворец, ул. Ульяновская 1, Санкт-Петербург
Kh. Abdulamonov
Faculty of Physics, St. Petersburg State University, 198504, St. Petersburg, Petrodvorets, Russia
Email: charnaya@mail.ru
Россия, 198504, Петродворец, ул. Ульяновская 1, Санкт-Петербург
A. Nedbai
Faculty of Physics, St. Petersburg State University, 198504, St. Petersburg, Petrodvorets, Russia
Email: charnaya@mail.ru
Россия, 198504, Петродворец, ул. Ульяновская 1, Санкт-Петербург
Yu. Kumzerov
Ioffe Institute, 194021, St. Petersburg, Russia
Email: charnaya@mail.ru
Россия, 194021, Санкт-Петербург, ул. Политехническая 26
A. Fokin
Ioffe Institute, 194021, St. Petersburg, Russia
Email: charnaya@mail.ru
Россия, 194021, Санкт-Петербург, ул. Политехническая 26
A. Khomutova
Faculty of Physics, St. Petersburg State University, 198504, St. Petersburg, Petrodvorets, Russia
Autor responsável pela correspondência
Email: charnaya@mail.ru
Россия, 198504, Петродворец, ул. Ульяновская 1, Санкт-Петербург
Bibliografia
- Huber P. Soft matter in hard confinement: phase transition thermodynamics, structure, texture, diffusion and flow in nanoporous media // J. Phys.: Condens. Matter. 2015. V. 27. Art. №. 103102.
- Christenson H.K. Confinement effects on freezing and melting // J. Phys.: Condens. Matter. 2001. V. 13. № 11. P. R95–R133.
- Alba-Simionesco C., Coasne B., Dosseh G., Dudziak G., Gubbins K.E., Radhakrishnan R., Sliwinska-Bartkowiak M. Effects of confinement on freezing and melting // J. Phys.: Condens. Matter. 2006. V. 18. P. R15–R68.
- Jackson C.L., McKenna G.B. The melting behavior of organic materials confined in porous solids // J. Chem. Phys. 1990. V. 93. № 12. P. 9002–9011.
- Molz E., Wong A.P.Y., Chan M.H.W., Beamish J.R. Freezing and melting of liquids in porous glasses // Phys. Rev. B. 1993. V. 48. № 9. P. 5741–5750.
- Dereppe J.M., Борисов Б.Ф., Чарная Е.В., Шеляпин А.В., Нассар М.М., Кумзеров Ю.А. Акустические исследования плавления и затвердевания галлия, введенного в матрицу опала // ФТТ. 2000. Т. 42. № 1. С. 184–187.
- Charnaya E.V., Tien C., Lee M.K., Kumzerov Yu.A. NMR studies of metallic tin confined within porous matrices // Phys. Rev. B. 2007. V. 75. № 14. Art. № 144101.
- Charnaya E.V., Tien C., Lee M.K., Kumzerov Yu.A. Slowdown of self-diffusion induced by partial freezing in confined liquid indium // Phys. Rev. B. 2007. V. 75. № 21. Art. № 212202.
- Charnaya E.V., Plotnikov P.G., Michel D., Tien C., Borisov B.F., Sorina I.G., Martynova E.I. Acoustic studies of melting and freezing for mercury embedded into Vycor glass // Physica B. 2001. V. 299. № 1−2. P. 56–63
- Чарная Е.В. Акустические исследования фазовых переходов в кристаллах и нанокомпозитах // Акуст. журн. 2008. Т. 54. № 6. С. 926−938.
- Kofman R., Cheyssac P., Aouaj A., Lereah Y., Deutscher G., Ben-David T., Penisson J.M., Bourret A. Surface melting enhanced by curvature effects // Surf. Sci. 1994. V. 303. P. 231–246.
- Charnaya E.V., Tien C., Lee M.K., Kumzerov Yu.A. Superconductivity and structure of gallium under nanoconfinement // J. Phys.: Condens. Matter. 2009. V. 21. № 45. Art. № 455304.
- Lee M.K., Tien C., Charnaya E.V., Sheu H.-S., Kumzerov Yu.A. Structural variations in nanosized confined gallium // Phys. Lett. A. 2010. V. 374. № 13−14. P. 1570–1573.
- Пирозерский А.Л., Чарная Е.В., Латышева Е.Н., Недбай А.И., Кумзеров Ю.А., Бугаев А.С. Акустические исследования плавления и кристаллизации индий‑галлиевого сплава в пористом стекле // Акуст. журн. 2011. Т. 57. № 5. С. 618–622.
- Латышева Е.Н., Пирозерский А.Л., Чарная Е.В., Кумзеров Ю.А., Фокин А.В., Недбай А.И., Бугаев А.С. Полиморфизм сплавов Ga‑In в условиях наноконфайнмента // ФТТ. 2015. Т. 57. № 1. С. 124–128.
- Пирозерский А.Л., Чарная Е.В., Lee M.K., Chang L.J., Недбай А.И., Кумзеров Ю.А., Фокин А.В., Самойлович М.И., Лебедева Е.Л., Бугаев А.С. Акустические и ЯМР исследования плавления и кристаллизации индий‑галлиевых сплавов в порах синтетических опаловых матриц // Акуст. журн. 2016. Т. 62. № 3. С. 295–301.
- Pirozerskii A.L., Nedbai A.I., Kumzerov Yu.A., Fokin A.V., Lebedeva E.L. Melting and crystallization of a Ga‑In alloy confined in a porous glass // IJAER. 2017. V. 12. № 21. P. 11107–11113.
- Пирозерский А.Л., Чарная Е.В., Недбай А.И. Акустические исследования фазовых переходов плавление и кристаллизация в индий‑галлиевых сплавах, внедренных в поры мезопористых силикатных матриц // Изв. Росс. Акад. наук. Сер. физич. 2020. Т. 84. № 6. С. 803–807.
- Uskov A.V., Charnaya E.V., Kuklin A.I., Lee M.-K., Chang L.-J., Kumzerov Y.A., Fokin A.V. SANS studies of the gallium–indium alloy structure within regular nanopores // Nanomaterials. 2022. V. 12. № 13. Art. № 2245.
- Xiong Y., Lu X. Metallic Nanostructures. From Controlled Synthesis to Applications // Springer International Publishing: Cham, Switzerland. 2015.
- Pirozerski A.L., Charnaya E.V., Baryshnikov S.V., Nedbai A.I., Borisov B.F., Mikushev V.M., Lebedeva E.L., Khomutova A.S., Dolgova M.V. Acoustic studies of the ferroelastic phase transition in LiCsSO4/MCM-41 nanocomposite using longitudinal ultrasonic waves // IJAER. 2016. V. 11. № 5. P. 3309–3313.
- Гитис М.Б., Михайлов И.Г., Шутилов В.А. Измерение температурной зависимости скорости звука в твердых образцах малых размеров // Акуст. журн. 1969. Т. 15. № 1. С. 28–32.
- Сорина И.Г., Tien C., Чарная Е.В., Кумзеров Ю.А., Смирнов Л.А. Структурные особенности твердого галлия в микропористом стекле // ФТТ. 1998. Т. 40. № 8. С. 1552–1553.
- Weibke F., Meisel K., Weigels L. Das Zustandsdiagramm des systems Silber-Gallium // Z. Anorg. Allg. Chem. 1932. V. 226. P. 201–208.
- Predel B., Stein D.W. Bildungsenthalpien binarer verbindungen des galliums mit kupfer, silber und gold sowie analyse der thermodynamischen eigenschaften von 3/2-elektronen-erbindungent // Metallurgica. 1972. V. 20. P. 681–692.
- Baren M.R. The Ag‑Ga (Silver‑Gallium) System // Bulletin of Alloy Phase Diagrams. 1990. V. 11. № 4. P. 334−339.
- Okamoto H. Ag‑Ga (Silver-Gallium) // J. Phase Equilibria. 1992. V. 13 № 3. P. 324–325.
- Zhang Y., Li J.-B., Liang J.K., Liu Q.L., Xiao Y.G., Zhang Q., Rao G.H., Li C.R. Thermodynamic assessment of the Ag–Ga system // Computer Coupling of Phase Diagrams and Thermochemistry. 2006. V. 30. P. 316–322.
Arquivos suplementares








