Characteristics of Scalar Frequency-Wave Spectrum of Wall Pressure Fluctuations at Gradient-Free Turbulent Boundary Layer
- Authors: Kudashev E.B.1, Yablonik L.R.2
-
Affiliations:
- Space Research Institute, Russian Academy of Sciences
- Polzunov Scientific and Development Association on Research and Design of Power Equipment
- Issue: Vol 70, No 2 (2024)
- Pages: 244-252
- Section: АТМОСФЕРНАЯ И АЭРОАКУСТИКА
- URL: https://journal-vniispk.ru/0320-7919/article/view/261608
- DOI: https://doi.org/10.31857/S0320791924020124
- EDN: https://elibrary.ru/YMXTTL
- ID: 261608
Cite item
Full Text
Abstract
An analysis of the basic properties of the scalar frequency-wave spectrum of turbulent pressures, representing the total energy of the wave components of the turbulent pressure field with a given wave vector modulus, has been carried out. Consideration of the scalar spectrum, which has independent applied significance, allows us to visualize the energy distribution of turbulent pressures in a wide range of frequencies and wave numbers. Based on well-known vector wave field models, relations are proposed for estimating the reduced scalar spectrum. The degree and nature of the parametric influence of the Mach and Reynolds numbers are determined.
Full Text
ВВЕДЕНИЕ
Скалярный частотно-волновой спектр [1] представляет суммарную энергию всех волновых компонент поля турбулентных давлений с заданным модулем волнового вектора. Помимо того, что данная характеристика имеет определенное прикладное значения, ее изучение позволяет относительно наглядно представить структуру пульсационного воздействия ввиду уменьшенного по сравнению с классическим волновым спектром количества переменных.
В данной работе выполнен анализ основных свойств скалярного частотно-волнового спектра турбулентных давлений на гладкой плоской поверхности под безградиентным турбулентным пограничным слоем при небольших дозвуковых скоростях внешнего потока. Анализ основывается на известных моделях частотно-волнового спектра.
Основное внимание уделено моделям, в которых рассматривается приведенный частотно-волновой спектр (отнесенный к частотному спектру), что позволяет уменьшить количество режимных и сторонних факторов, влияющих на исследуемые зависимости. В качестве основных исходных выбраны модифицированная модель Ефимцова [2], в которой данные [2] по продольному и поперечному спектрам распространены на всю волновую плоскость в соответствии со схемой волнового эллиптического окна [1], модель Смольякова–Ткаченко [3], а также относительно недавняя модель Френди–Чжана [4].
Оценки влияния числа Маха на скалярный спектр выполнены на основании моделей Чейза [5]. Влияние числа Рейнольдса оценивается с использованием соответствующих зависимостей для частотного спектра, определяемых моделью Гуди [6].
В качестве основных определяющих кинематических параметров рассматриваемого скалярного спектра приняты скорость внешнего потока U и толщина пограничного слоя δ. При приведении моделей [2–6] к унифицированной форме использованы соотношения между величиной δ и толщинами вытеснения δ* и потери импульса δ**, соответствующие закону степени 1/7 для распределения скоростей, справедливому при умеренно больших числах Рейнольдса [7]:
. (1)
Меняющееся в достаточно узком диапазоне (0.03…0.04) отношение “скорости трения” Uτ к скорости U принято равным 0.035. Отметим, что аналогичный подход принят при сопоставлении различных моделей в работах [3, 4].
КАЧЕСТВЕННЫЙ АНАЛИЗ
Некоторые универсальные свойства скалярного спектра могут быть получены из анализа графических зависимостей, представляющих (векторный) частотно-волновой спектр турбулентных давлений кривыми равного уровня на плоскости компонент k1 (вдоль направления внешнего потока) и k2 (в перпендикулярном направлении) волнового вектора k. Такое представление получило в настоящее время широкое распространение [1, 4, 8]. При всех заметных конкретных различиях, графики, схематически показанные на рис. 1, имеют очевидные общие свойства.
Рис. 1. К качественному анализу свойств скалярного волнового спектра; 1 – кривые равных значений частотно-волнового спектра; 2 – конвективный гребень (максимальные значения); 3 – контур интегрирования, соответствующий максимальному значению скалярного волнового спектра
Так, линии равных уровней частотно-волнового спектра представляют собой замкнутые контуры, вытянутые поперек направления потока. При этом вытянутая зона максимальных значений (зона конвективного гребня) концентрируется, как правило, вокруг единственной точки максимума, координаты которой оцениваются значениями , где ω – угловая частота, Uc – конвективная скорость, несколько меньшая скорости U внешнего потока. Скорость снижения уровней частотно-волнового спектра уменьшается по мере удаления от конвективного гребня. Собственно контуры постоянных значений волнового спектра симметричны относительно оси k2 = 0, их конфигурация для приведенных спектров зависит лишь от одного параметра – безразмерной частоты . Такая зависимость существенна лишь в диапазоне относительно небольших значений , в котором крутизна гребня возрастает с увеличением частоты . При значениях параметра выше граничного значения приведенный частотно-волновой спектр может быть оценен универсальной зависимостью от безразмерного вектора . В этой автомодельной области частот двукратное отклонение продольной компоненты волнового вектора от точки максимума влечет за собой снижение значений спектра более чем на порядок. Собственно конвективный гребень в данном случае расположен в коротковолновой области , в которой продольные масштабы меньше толщины пограничного слоя.
Практически все модели предполагают ненулевое значение частотно-волнового спектра при .
Отмеченные основные свойства модельных частотно-волновых спектров в целом подтверждаются результатами относительно недавних прямых измерений [9–12]. Некоторое отличие состоит в фактическом существовании дополнительной составляющей в акустической зоне (c – скорость звука), в значительной мере связанной со сторонними источниками шума.
Из представленных свойств можно сделать некоторые общие выводы о характеристиках скалярного волнового спектра Ф(ω, kS), представляющего собой интеграл от волнового спектра E(ω, k1, k2) по окружности радиуса kS [1]. При этом естественно сравнивать скалярный спектр
(2)
с достаточно изученными продольным E1(k1, ω) и поперечным E2(k2, ω) волновыми спектрами, являющимися интегралами
(3)
от E(k1, k2, ω) по всему диапазону значений соответственно k2 и k1.
Рассмотрение приведенных на рис. 1 графических зависимостей приводит к следующим достаточно общим выводам:
1) В автомодельном диапазоне частот с ярко выраженным конвективным гребнем зона максимальных значений скалярного спектра близка к аналогичной области продольного волнового спектра. При этом собственно уровни максимальных значений скалярного спектра должны быть немного ниже, а пиковая зона несколько смещена в сторону высоких значений волновых чисел. Снижение частотного параметра , сопровождаемое размыванием конвективного гребня, приводит к росту этого смещения и в целом к большему различию между областями максимальных значений продольного и скалярного спектров.
2) В силу вытянутости контуров постоянных значений, интегрирование волнового спектра по контуру при больших волновых числах можно приближенно заменить суммой интегралов по k1 при и при . В этом случае, с учетом фактора симметрии, величины скалярного спектра турбулентных давлений приближаются к удвоенным значениям поперечного спектра:
(4)
3) Поскольку в длинноволновой области ненулевое значение частотно-волнового спектра меняется относительно медленно, то здесь скалярный спектр пристеночных турбулентных давлений практически линейно зависит от волнового числа kS, так что
. (5)
Представленные общие выводы иллюстрируются на рис. 2 конкретными зависимостями в терминах отнесенных к частотному спектру P(ω) безразмерных величин приведенного скалярного спектра
, (6)
Рис. 2. Приведенные спектральные зависимости при различных значениях безразмерной частоты . Модели: (a) – Смольякова–Ткаченко [3]; (б) – модифицированная Ефимцова [2]; (в) – Френди–Чжана [4]. Значения : 1 – 10; 2 – 1.0; 3 – 0.1. Кривые: ; —— ; ---- ; ••••••
продольного e1 и поперечного e2 волновых спектров
(7)
и частотно-волнового спектра
. (8)
Графические зависимости, представленные на рис. 2, показывают, что положения 1)…3) справедливы для всех рассмотренных достаточно различных моделей в широком диапазоне изменения параметра .
КОЛИЧЕСТВЕННЫЕ ОЦЕНКИ
Результаты расчетов приведенных скалярных спектров применительно к моделям [2–4] показаны на рис. 3а–3в.
Рис. 3. Кривые равных уровней приведенного скалярного спектра . Показаны значения 10lgφ. Модели: (а) – Смольякова–Ткаченко [3]; (б) – модифицированная Ефимцова [2]; (в) – Френди–Чжана [4]; (г) – приближение (10)
Несмотря на определенные различия, характеристики модельных спектров имеют очевидные общие свойства. Так, при высоких значениях линии равного уровня стремятся к вертикальным прямым, так что волновая характеристика приобретает универсальный характер с выраженным максимумом (конвективный гребень) в зоне величины немногим больше единицы. При снижении характерной частоты конвективный гребень размывается, в то время как зона максимальных значений несколько смещается в сторону увеличения волновых чисел.
Аппроксимация скалярных спектров на рис. 3а–3в единым аналитическим выражением представляет собой технически непростую задачу, поскольку для всех значений частотного параметра требуется выполнения условия
, (9)
непосредственно следующего из определения приведенного спектра φ. К настоящему времени, исходя из представленных модельных данных и условия (9), можно предложить приближенную формулу для оценки приведенного скалярного спектра поля пристеночных турбулентных давлений применительно к частотам в форме
(10)
Здесь функции φ0, a1, a2 и a3 определены выражениями:
Кривые равных уровней скалярного спектра, посчитанного по формуле (10), приведены на рис. 3г. Несмотря на некоторую громоздкость, использование данных соотношений достаточно удобно при моделировании экспериментов и прикладных оценках. Последние естественно проводить в переменных kSδ и , в которых линейная и временна́я компоненты независимы.
В переменных kSδ и выражение для приведенного скалярного спектра ψ(kSδ, ) связано с рассмотренной характеристикой простым соотношением
. (11)
При этом скалярный волновой спектр (2) представляется посредством произведения
. (12)
На рис. 4 представлены результаты расчетов безразмерного скалярного волнового спектра
(13)
Рис. 4. Кривые равных уровней безразмерного скалярного спектра . Показаны значения 10lg. Модели: (а) – Смольякова–Ткаченко [3]; (б) – модифицированная Ефимцова [2]; (в) – Френди–Чжана [4]; (г) – скалярная модель (10)
(τ – касательное напряжение на стенке) применительно к рассмотренным моделям. Расчеты выполнены в соответствии с (12), где частотный спектр P(ω) определен эмпирическим соотношением Гуди [6, 13], получившим к настоящему времени наибольшее признание, при значении параметра Гуди , равном 100.
Графические зависимости рис. 4 дают исчерпывающую наглядную информацию о скалярном волновом спектре пристеночных турбулентных давлений в рамках рассматриваемых моделей. В частности, из них видно, что наибольшие уровни скалярного спектра наблюдаются в зоне волновых чисел в районе .
О ВЛИЯНИИ ЧИСЕЛ МАХА И РЕЙНОЛЬДСА
Влияние сжимаемости на характеристики скалярного спектра может быть оценено на основании расширенной модели Чейза [5]. Согласно этой модели, обоснованной для значений > 1 [14], волновое поле турбулентных пристеночных давлений может быть представлено в рамках схемы несжимаемой жидкости при условии, что квадраты волновых чисел турбулентных давлений значительно превышают соответствующие значения генерируемого потоком звукового поля, т.е. при
. (14)
В переменных диаграмм рис. 4 данное условие может быть переписано в виде соотношения
, (15)
определяющего зону относительного влияния числа Маха M на форму соответствующего представления скалярного спектра.
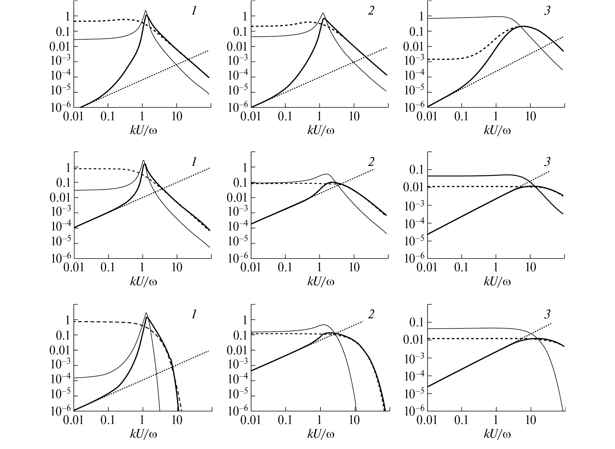
Результаты конкретных расчетов скалярного спектра для различных чисел M представлены на рис. 5. Расчеты показывают степень и характер искажения линий постоянного уровня скалярного спектра по мере роста числа Маха. Изменения, как и следовало ожидать, развиваются в левом верхнем углу диаграммы и в рассмотренном диапазоне частот даже в случае M = 0.5 не затрагивают уровни, приближающиеся к максимальным. Безусловно, данный результат относится к случаю отсутствия сторонних акустических источников.
Рис. 5. Влияние числа Маха на безразмерный скалярный спектр . Расширенная модель Чейза [5]. Значения чисел M: (а) – 0.01 (пунктир – 0); (б) – 0.1; (в) – 0.3; (г) – 0.5
Что касается чисел Рейнольдса, то, в рамках рассмотренных моделей [2–4] и прикладного приближения (10), их влияние оказывается независящим от волнового числа и проявляется лишь посредством изменений частотного спектра согласно формуле (12). При этом данные соответствующих оценок, продемонстрированные на рис. 6, показывают, что снижение значений параметра RT (однозначно связанного с числом Рейнольдса Reδ) от 300 до 30 заметно “сплющивает” контуры постоянных значений скалярного спектра при значениях .
Рис. 6. Влияние числа Рейнольдса на безразмерный скалярный спектр . Скалярная модель (10). Значения RT: —— 300; ---- 30
Необходимо отметить, что представленная формальная независимость степени воздействия чисел Рейнольдса от волновых масштабов может быть объяснена лишь ограниченностью использованных здесь моделей приведенного частотно-волнового спектра, в которых фактор вязкости не учитывается.
ЗАКЛЮЧЕНИЕ
Рассмотрены характеристики скалярного частотно-волнового спектра, представляющего в компактной и наглядной форме информацию о волновой структуре поля турбулентных пристеночных пульсаций давления в пограничном слое. Исходя из сложившихся к настоящему времени общих представлений о частотно-волновом спектре турбулентных давлений, сформулированы универсальные свойства его скалярного аналога. Полученные на базе известных моделей конкретные результаты расчетов скалярного спектра позволили установить его характерные особенности и сформулировать степень и характер влияния основных определяющих параметров. В частности, отмечено определенное смещение максимума приведенного скалярного спектра в сторону высоких волновых чисел при уменьшении характерной частоты ниже значения = 1. Предложена приближенная модель собственно скалярного волнового спектра, допускающая использование как при моделировании и отработке экспериментальных методов, так и при решении широкого круга прикладных задач, в которых значимые эффекты воздействия турбулентных пульсаций зависят лишь от модуля волнового вектора.
Работа выполнена при поддержке Министерства науки и высшего образования РФ (тема “Мониторинг” № 122042500031-8).
About the authors
E. B. Kudashev
Space Research Institute, Russian Academy of Sciences
Author for correspondence.
Email: fmkdshv@gmail.com
Russian Federation, Moscow
L. R. Yablonik
Polzunov Scientific and Development Association on Research and Design of Power Equipment
Email: yablonik@gmail.com
Russian Federation, St. Petersburg
References
- Кудашев Е.Б., Яблоник Л.Р. Модели и методы скалярной волновой фильтрации полей пристеночных турбулентных пульсаций давления // Акуст. журн. 2022. Т. 68. № 6. С. 670–678.
- Ефимцов Б.М. Критерии подобия спектров пристеночных пульсаций давления турбулентного пограничного слоя // Акуст. журн. 1982. Т. 28. № 4. С. 491–497.
- Смольяков А.В., Ткаченко В.М. Модели поля псевдозвуковых турбулентных пристеночных давлений и опытные данные // Акуст. журн. 1991. Т. 37. № 6. С. 1199–1207.
- Frendi A., Zhang M. A New Turbulent Wall-Pressure Fluctuation Model for Fluid-Structure Interaction // J. Vib. Acoust. 2020. V. 142. № 2. P. 021018. https://doi.org/10.1115/1.4045771
- Chase D.M. The character of the turbulent wall pressure spectrum at subconvective wavenumbers and a suggested comprehensive model // J. Sound Vib. 1987. V. 112. № 1. P. 125–147.
- Goody M. An empirical model of surface pressure fluctuations // AIAA J. 2004. V. 42. P. 1788–1794.
- Шлихтинг Г. Теория пограничного слоя. М.: Наука, 1969. 744 с.
- Prigent S.L., Salze É., Bailly C. Deconvolution of wavenumber-frequency spectra of wall pressure fluctuations // AIAA J. 2020. V. 58. № 1. P. 164–173.
- Leclere Q., Dinsenmeyer A., Salze E., Antoni J. A comparison between different wall pressure measurement devices for the separation and analysis of TBL and acoustic contributions // Flinovia–Flow Induced Noise and Vibration Issues and Aspects-III. P. 181–206. Springer Nature Switzerland AG, 2021.
- Arguillat B., Ricot D., Robert G., Bailly C., Robert G. Measured wavenumber: Frequency spectrum associated with acoustic and aerodynamic wall pressure fluctuations // J. Acoust. Soc. Am. 2010. V. 128. P. 1647.
- Robin O., Moreau S., Berry A. Measurement of the wavenumber-frequency spectrum of wall pressure fluctuations: spiral-shaped rotative arrays with pinhole-mounted quarter inch microphone // 19th AI-AA/CEAS Aeroacoustics Conference May 27-29, 2013, Berlin, Germany (AIAA 2013-2058)
- Salze É., Bailly C., Marsden O., Jondeau E., Juvé D. An experimental investigation of wall pressure fluctuations beneath pressure gradients // AIAA AVIATION Forum. 21th AIAA/CEAS Aeroacoustics Conference, June 22-26th 2015, Dallas, Texas.
- Кудашев Е.Б., Яблоник Л.Р. Развитие экспериментальных исследований турбулентных пристеночных пульсаций давления. Критический анализ и обобщение накопленных опытных данных // Акуст. журн. 2021. Т. 67. № 6. С. 639–649.
- Howe M.S. Acoustics of Fluid-Structure Interactions. Cambridge University Press, 1998. 560 p.
Supplementary files








