Многоэлементный излучатель низкочастотного ультразвука для создания фокусированных акустических пучков высокой интенсивности в воздухе
- Авторы: Асфандияров Ш.А.1, Цысарь С.А.1, Сапожников О.А.1
-
Учреждения:
- Московский государственный университет имени М.В. Ломоносова
- Выпуск: Том 70, № 4 (2024)
- Страницы: 622-635
- Раздел: ФИЗИЧЕСКИЕ ОСНОВЫ ТЕХНИЧЕСКОЙ АКУСТИКИ
- URL: https://journal-vniispk.ru/0320-7919/article/view/273836
- DOI: https://doi.org/10.31857/S0320791924040143
- EDN: https://elibrary.ru/XAPEKI
- ID: 273836
Цитировать
Полный текст
Аннотация
Исследованы акустические и электрические характеристики 128-элементного ультразвукового излучателя, разработанного для создания фокусированных акустических пучков высокой интенсивности в воздухе в диапазоне низких ультразвуковых частот. Для подавления паразитных дифракционных максимумов использовано спиральное расположение пьезоэлектрических элементов на сферической чаше. Рабочая частота излучения равна 35.5 кГц, диаметр источника и фокусное расстояние составляли около 50 см и намного превышали длину волны (порядка 1 см). Указанный выбор параметров позволил обеспечить эффективную фокусировку с локализацией волновой энергии в фокальной области малого размера и за счет этого достигнуть экстремально высоких уровней интенсивности ультразвука. Параметры ультразвукового поля изучены в рамках комбинированного подхода с использованием методов измерения акустической радиационной силы, действующей на конический отражатель, определения реальных граничных условий по измерению распределения амплитуды и фазы акустического давления микрофоном на плоскости перед источником и численного моделирования нелинейного распространения мощных волн на основе решения уравнения Вестервельта. Достигнутый уровень акустического давления составил 173 дБ при размере фокального пятна, соответствующем масштабу длины волны.
Полный текст
ВВЕДЕНИЕ
Мощные ультразвуковые (УЗ) источники мегагерцового диапазона частот широко применяются в терапевтических приложениях медицинского ультразвука [1]. Благодаря использованию фокусировки в жидкостях и биологических тканях удается достигать крайне высоких уровней акустического давления (до 100–150 МПа), необходимых для термического или механического разрушения участков биоткани в теле человека [2]. Ввиду распространенности и важности приложений ультразвуковых полей с такими свойствами в литературе при их описании широко используется аббревиатура HIFU (High Intensity Focused Ultrasound) – высокоинтенсивный фокусированный ультразвук.
Аналогичные HIFU-излучатели для воздушной среды пока еще не имеют такого широкого спектра различных конструктивных реализаций и соответствующих приложений. Для создания высоких уровней акустического давления к настоящему времени разработаны и внедрены в практику технологические установки низкочастотного УЗ диапазона (частоты от 20 до 100 кГц), основу которых составляет пьезокерамический излучатель в виде вибратора Ланжевена, сопряженный с профилированной излучающей пластиной большого диаметра [3]. Подобные воздушные ультразвуковые системы используются в промышленности для пеногашения, сушки овощей и фруктов, инактивации микроорганизмов и для ускорения других процессов в газообразных средах [4–6]. Согласно данным зарубежных разработчиков, такие установки в режиме фокусировки позволяют получать уровни давления до 175 дБ, а в режиме излучения квазиплоской волны имеют узкую диаграмму направленности (менее 2° по уровню –3 дБ) [3]. Отечественные производители, например ООО «Центр ультразвуковых технологий» (Бийск, Россия), выпускают технологические УЗ-установки такого типа, создающие несколько меньшие уровни акустического давления, до 150 дБ [7, 8]. Подобные излучатели эффективно справляются с задачами, под которые они разрабатываются, однако не позволяют достичь хорошей локализации зоны высокой интенсивности и создавать акустические поля с желаемой структурой.
По аналогии с приложениями HIFU-устройств в терапии, в воздушной акустике высокоинтенсивные фокусированные поля можно создавать с помощью многоэлементных антенных решеток. Поскольку амплитуды и фазы сигналов элементов в таких устройствах могут задаваться независимо, антенные решетки дают возможность гибко управлять структурой излучаемых волновых полей. При генерации волн большой амплитуды такие решетки позволяют реализовать нелинейные акустические режимы. Одним из устройств, построенных на принципах нелинейной акустики, является параметрический излучатель, предложенный изначально для задач гидроакустики [9]. Применительно к воздушной акустике, параметрическая генерация была впервые экспериментально реализована в работе [10], дальнейшие исследования привели к созданию коммерческих устройств [11]. Работы в этом направлении проводились и на кафедре акустики физического факультета МГУ [12]. Фокусированный ультразвук в воздухе было предложено использовать также для бесконтактной диагностики резиноподобных материалов [13]. Кроме того, была исследована возможность применения фокусированных УЗ пучков для осуществления акустической левитации в воздухе. Было продемонстрировано, что разработанные устройства позволяют перемещать, удерживать в пространстве, а также вращать небольшие легкие объекты (весом несколько мг), например, полистироловые шарики или небольшие капли жидкости [14–16].
В опубликованных на сегодня работах по многоэлементным воздушным решеткам до сих пор не удавалось выйти на уровни амплитуды давления в фокусе, достигнутые в упомянутых выше технологических одноэлементных излучателях (175 дБ). Так, в работе [17] сообщалось о максимальном уровне давления 150 дБ, а в более позднем исследовании [18] был достигнут уровень 163 дБ. Целью настоящей работы являлось создание и акустическая характеризация 128-элементной УЗ фокусирующей решетки, способной за счет использования более мощных элементов и острой фокусировки реализовать режим HIFU со сверхвысокими уровнями интенсивности в воздухе.
МАТЕРИАЛЫ И МЕТОДЫ
Конструкция решетки и ее электрические характеристики
Фотография изготовленной решетки 1 и сопутствующего оборудования, необходимого для ее функционирования (усилитель 2 и генератор 3), представлена на рис. 1. Элементы решетки были установлены в прозрачной акриловой сферической чаше (Мастерская «Акрилайс», Москва, Россия) диаметром 500 мм и радиусом кривизны 500 мм. Элементами фокусирующей решетки служили 128 пьезоэлектрических преобразователей УП-3-01 (ООО «Аэрофон», Волгоград, Россия) с центральной частотой излучения 35.5 кГц и диаметром 30 мм [19]. Длина акустической волны в воздухе на центральной частоте составляет 9.7 мм. С целью подавления паразитных дифракционных максимумов индивидуальные преобразователи были расположены вдоль восьми плотных спиралей, предложенных ранее при конструировании HIFU-решеток для терапевтических применений мегагерцового ультразвука [20, 21]. Крепление преобразователей на сферической чаше осуществлялось с помощью специальных держателей в виде трубок с внешней резьбой, вкрученных в посадочные резьбовые отверстия на акриловой чаше. Внутри трубок были расположены электрические провода, питающие пьезоэлементы. Резьба держателей позволяла путем их вкручивания или выкручивания регулировать положение элементов относительно сферической чаши в пределах 40 мм с точностью позиционирования около 0.1 мм. На основании каждого держателя, находящегося с противоположной (выпуклой) стороны акриловой чаши, был установлен аудио-разъем TS с гнездовым контактом диаметром 3.5 мм, который позволял подключать элемент к источнику электрического напряжения. Все элементы решетки были электрически связаны с использованием параллельного соединения. Для этого идущий от источника электрической мощности двухжильный кабель разветвлялся на 128 кабелей длиной 500 мм, которые подключались к пьезоэлементам посредством TS разъемов со штыревым контактом диаметром 3.5 мм. Решетка, тем самым, представляла собой совокупную электрическую нагрузку для источника мощности.
Рис. 1. Фотография изготовленной 128-элементной фокусирующей решетки и сопутствующего оборудования. 1 – решетка, 2 – бытовой усилитель мощности Atoll AM 200, 3 – генератор сигналов Agilent 33120A
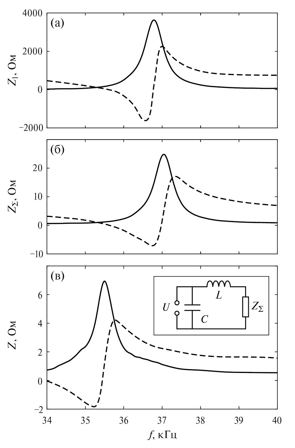
Электрические импедансы и соответствующие частотные характеристики отдельных элементов решетки были похожи, но не идентичны в силу особенностей процесса их изготовления. Типичные частотные зависимости действительной и мнимой частей электрического импеданса Z1 одного элемента решетки представлены на рис. 2а. Для описания гармонических сигналов предполагалась зависимость e-iωt (где ω = 2πf – циклическая частота, f – частота), поэтому емкостная нагрузка на этих кривых соответствует Im(Z1) < 0, а индуктивная Im(Z1) > 0. Вид кривых является типичным для электроакустических преобразователей. Мнимая часть обращается в ноль дважды, на частоте резонанса (около 35.5 кГц) и антирезонанса (около 37 кГц), при этом действительная часть импеданса принимает значения 80 и 3500 Ом, соответственно. С учетом того, что производитель пьезоэлементов ограничивал допустимую амплитуду электрического напряжения величиной 10 В, для эффективного подведения к элементам электрической мощности была выбрана частота резонанса 35.5 кГц. Поскольку все 128 элементов решетки были соединены параллельно, совокупный импеданс ZΣ решетки был меньше на два порядка по сравнению с импедансом одного элемента, т.е. являлся низкоомным и составлял на выбранной рабочей частоте 35.5 кГц величину порядка 1 Ом (рис. 2б). Усилитель электрической мощности имел заметно отличающееся от указанной величины номинальное выходное сопротивление, равное 8 Ом. Поэтому для исключения повреждения выходных каналов усилителя и эффективной передачи электрической энергии от усилителя к излучателю требовалось электрическое согласование. Для этого между усилителем мощности и решеткой размещалось согласующее устройство, изготовленное с использованием подобранных нужным образом реактивных элементов (индуктивности L и емкости C). Частотная зависимость импеданса нагрузки Z, измеренного на входе подключенного к решетке согласующего устройства, представлена на рис. 2в. Видно, что действительная часть указанного импеданса на центральной частоте была равна Re(Z) = 7 Ом, а мнимая близка к нулю, что позволяло считать, что условие согласования было достигнуто с достаточной точностью.
Рис. 2. (а) – частотные зависимости действительной (сплошная линия) и мнимой (штриховая) части импеданса Z1 одного элемента решетки, (б) – импеданса ZΣ параллельно соединенных 128 элементов решетки, (в) – импеданса Z решетки с подключенным согласующим устройством; на вставке показана схема устройства, согласующего источник напряжения U c электрической нагрузкой ZΣ
В качестве источника управляющих сигналов, подаваемых на вход усилителя мощности, использовался лабораторный генератор сигналов 33120A (Agilent Technologies, USA). Сигнал с генератора усиливался с помощью бытового усилителя мощности AM 200 (Atoll Electronique, Brecey, France), подавался на согласующее устройство и далее на антенную решетку (см. рис. 1). Номинальная мощность усилителя составляла 200 Вт, однако в экспериментах использовалось не более 45 Вт из-за ограничения на максимальную амплитуду напряжения 10 В на элементах решетки.
Акустическая характеризация решетки
Для обеспечения эффективной фокусировки элементы излучающей антенной решетки должны быть взаимно сфазированы, чтобы акустические сигналы, излученные отдельными элементами, интерферировали в точке фокуса конструктивно, т.е. имели одинаковую фазу. В общем случае фазировка элементов неидеальна по двум причинам: из-за неодинаковых фазовых сдвигов, вносимых в процессе электроакустического преобразования в различных пьезоэлементах, и из-за того, что эффективные центры элементов не лежат на общей сфере. При независимом управлении фазами электрических сигналов, подаваемых на элементы, их взаимная фазировка может достигаться введением корректирующих фазовых сдвигов. Пример такого подхода описан в нашей недавней статье [22]. В антенной решетке, рассматриваемой в настоящей работе, на все элементы подавался один и тот же электрический сигнал, т.е. возможность независимой корректировки фаз на элементах отсутствовала. Чтобы обойти это ограничение, использовался альтернативный подход, основанный на механическом перемещении излучающих элементов относительно сферической чаши, на которой они крепились. Для обеспечения должной фазовой коррекции в фокусе решетки устанавливался микрофон и производилось последовательное излучение ультразвука одиночными элементами на рабочей частоте 35.5 кГц. Сигнал микрофона наблюдался на осциллографе и сравнивался с эталонным сигналом той же частоты. Вкручиванием или выкручиванием держателей элементов устанавливалась синфазность акустического сигнала элемента и эталонного сигнала. Поскольку точность перемещения пьезоэлементов составляла менее одной десятой длины волны, выравнивание фаз достигалось с высокой точностью.
Определение акустических характеристик разработанной решетки осуществлялось с помощью метода импульсной акустической голографии [23–26]. Голографические измерения проводились на экспериментальном стенде, схематическое изображение которого представлено на рис. 3а. Исследуемая решетка устанавливалась неподвижно на штативе. Напротив решетки устанавливался калиброванный конденсаторный микрофон 46BE (GRAS, Denmark) диаметром 1/4 дюйма (6.4 мм) с практически линейной амплитудно-частотной характеристикой в полосе частот 0–100 кГц. Питание микрофона обеспечивалось источником 12AL (GRAS, Denmark). Микрофон был установлен в центре держателя, имевшего форму конуса с углом раствора 90° (рис. 3а). Держатель был изготовлен из металлической воронки и играл роль акустического рефлектора, предотвращающего попадание на микрофон паразитных сигналов, отраженных от конструкции крепления микрофона. Микрофон в процессе измерений мог перемещаться контролируемым образом в автоматическом режиме. Для этого использовалась система микропозиционирования UMS-3 (Precision Acoustics, United Kingdom), позволяющая проводить пространственное трехмерное сканирование с точностью позиционирования до 6 мкм. Голограмма УЗ поля записывалась путем растрового сканирования и регистрации сигнала микрофона в узлах плоской квадратной сетки с шагом 4 мм. Плоскость голограммы (плоскость сканирования) была перпендикулярна оси решетки и располагалась от ее центра на расстоянии мм, примерно равном половине фокусного расстояния. Количество узлов сетки выбиралось равным 101×101, т.е. размер участка сканирования составлял 400×400 мм, что позволяло полностью охватить геометрические размеры пучка. Центр области сканирования устанавливался напротив центра решетки.
Рис. 3. (а) – схема проведения измерений с помощью микрофона, перемещающегося вдоль плоскости голограммы перед излучающей антенной решеткой на расстоянии 240 мм от ее центра. (б) – типичный временной профиль электрического сигнала на микрофоне в одной из точек голограммы при импульсном возбуждении антенной решетки. (в) – распределение амплитуды акустического давления вдоль поверхности голограммы, измеренное на рабочей частоте решетки 35.5 кГц
В ходе сканирования при записи сигнала микрофона в каждой точке голограммы на элементы решетки подавались одинаковые электрические сигналы. Они имели вид радиоимпульсов с синусоидальным заполнением на частоте 35.5 кГц, длительностью 20 периодов и с плавным нарастанием и затуханием огибающей. Для уменьшения шумов проводилось усреднение по 16 реализациям в импульсно-периодическом режиме, при этом период повторения импульсов составлял 10 мс. Электрический сигнал микрофона регистрировался с помощью осциллографа TDS5054B (Tektronix Inc., США). Запись сигнала производилась в пределах временного окна длительностью 4 мс: указанной длительности было достаточно для записи принимаемого микрофоном импульсного акустического сигнала. Шаг дискретизации сигнала был равен 1.6 мкс, что для выбранного временного окна соответствовало 2500 точкам записи. Типичный вид регистрируемого микрофоном сигнала в одной из точек плоскости голограммы при импульсном возбуждении элементов решетки представлен на рис. 3б.
Управление процессом сканирования и записи результатов измерений осуществлялось компьютером по программе, написанной в среде LabView и предоставленной производителем системы позиционирования (Precision Acoustics). На основе записанных импульсных сигналов акустического давления p(x, y, zH, t) во всех точках участка сканирования на плоскости zH = 240 мм с помощью преобразования Фурье рассчитывались распределения комплексной амплитуды акустического давления на разных частотах ω, где Ap – действительная амплитуда, φp – фаза соответствующей гармонической волны давления.
Используя найденные таким образом монохроматические голограммы, с помощью интеграла Рэлея осуществлялся расчет обратного распространения и находилось распределение нормальной компоненты колебательной скорости в точках (x, y, z) сферической поверхности, на которой располагались элементы решетки: , где Aν и φν – соответствующие амплитуда и фаза колебательной скорости [23].
Из измеренной голограммы p(x, y, zH, ω), кроме того, был рассчитан угловой спектр поля давления и с его помощью для каждой частоты ω найдена мощность Wак акустического поля, излучаемого при заданной амплитуде электрического напряжения U0, подаваемого на элементы решетки [27]. С использованием измеренного электрического импеданса решетки ZΣ при указанном значении U0 была рассчитана электрическая мощность . Указанные значения мощностей Wак и Wэл использовались для нахождения электроакустической эффективности E = Wак /Wэл на разных частотах.
Помимо сканирования голограммы (записи двумерной структуры акустического поля), проводились измерения продольного распределения акустического сигнала вдоль оси излучателя и поперечных распределений в фокальной плоскости. В точке фокуса дополнительно записывался сигнал микрофона при разных уровнях возбуждения решетки, вплоть до достижения амплитудой акустической волны в фокусе предела динамического диапазона микрофона, равного 160 дБ.
Нахождение акустической мощности путем регистрации радиационной силы, действующей на широкоапертурный отражатель
Для верификации количественных характеристик ультразвукового поля, полученных с помощью калиброванного микрофона, были проведены независимые измерения акустической мощности и эффективности электроакустического преобразования. С этой целью для излучателей мегагерцового диапазона, создающих мощные ультразвуковые пучки в жидкостях и биологических тканях, часто используется метод, основанный на измерении акустической радиационной силы, действующей на эталонный поглотитель или отражатель при его помещении в исследуемый ультразвуковой пучок [28, 29]. Подобные устройства часто называются акустическими радиометрами и используются в акустических измерениях уже много десятков лет [30]. Аналогичные измерения можно проводить не только в жидкостях, но и газах. С этой целью удобно использовать отражатели конической формы, поперечный размер которых превосходит диаметр акустического пучка.
На рис. 4 представлена фотография экспериментальной установки. УЗ фокусирующая решетка 1 была расположена в основании установки и излучала вверх. Над ней на подвесе располагался изготовленный из алюминия рефлектор 2, имевший форму конуса с углом раствора 90° и диаметр основания 210 мм. Рефлектор был закреплен на подвесе цифровых весов 310 C (Precisa Gravimetrics AG, Switzerland) 3 таким образом, что при воздействии на мишень акустической радиационной силы показания весов менялись. Регистрируемое изменение веса рефлектора равно вертикальной компоненте радиационной силы: F = mg, где m – изменение показания весов (в единицах массы), g = 9.81 м/c2 – ускорение свободного падения. Положение отражателя относительно решетки регулировалось за счет изменения длины подвеса. В ходе измерений на решетку на несколько секунд подавался непрерывный гармонический сигнал. Измерения проводились на разных частотах с шагом 0.1 кГц в диапазоне 35–36 кГц. Измерение электрической мощности Wэл, подаваемой на элементы решетки, производилось с помощью ваттметра 21A (Sonic Concepts Inc., USA) 4, который подключался в разрыв между согласующим устройством и элементами решетки.
Рис. 4. Фотография экспериментальной установки для измерения электроакустической эффективности УЗ решетки на основе измерения акустической радиационной силы. 1 – УЗ-решетка, 2 – конический отражатель, 3 – прецизионные весы, 4 – ваттметр
Величина вертикальной компоненты радиационной силы F, действующей на конический отражатель, связана с излучаемой акустической мощностью Wак следующей формулой:
,
где c = 340 м/с – скорость звука, коэффициент γ = 1.1651 учитывает форму рефлектора и геометрию акустического пучка для конкретного случая конического отражателя и фокусирующего излучателя [31]. Указанная формула выписана в приближении геометрической акустики, которое хорошо выполняется в случае, когда диаметр отражателя намного больше длины волны. В описываемых экспериментах длина волны составляла около 10 мм, а диаметр рефлектора 210 мм, т.е. условие применимости приведенной формулы выполнялось.
Одновременно с измерением радиационной силы, используемой для расчета акустической мощности Wак, проводились измерения электрической мощности Wэл. На их основе рассчитывалась электроакустическая эффективность решетки E = Wак /Wэл.
Численное моделирование высокоинтенсивного фокусированного ультразвука, создаваемого многоэлементной решеткой
Корректное измерение акустических волн высокой интенсивности затруднено из-за неизбежного проявления нелинейного отклика и возможного выхода из строя традиционных приемников (гидрофонов и микрофонов). Максимальное давление, создаваемое в фокальной области исследуемой решетки, превышало верхнюю границу динамического диапазона используемого микрофона, которая составляла 160 дБ. На высоких уровнях возбуждения нелинейный отклик микрофона был отчетливо виден и проявлялся, в частности, в эффекте отсечки вершины положительного полупериода профиля волны акустического давления.
Как и в случае HIFU в жидкостях, для HIFU в воздухе альтернативой прямым измерениям может быть численное моделирование нелинейного волнового уравнения с использованием найденного из эксперимента граничного условия на излучателе. В настоящем исследовании для проведения численного эксперимента использовался программный комплекс «HIFU beam», разработанный в Лаборатории медицинского и промышленного ультразвука МГУ имени М.В. Ломоносова [32, 33]. Программный комплекс позволяет моделировать нелинейные аксиально-симметричные фокусированные акустические поля на основе уравнения Вестервельта. Для анализа полей реальных излучателей, для которых условие аксиальной симметрии выполняется лишь приближенно, в комплексе «HIFU beam» используется модель эквивалентного поршневого излучателя, дающего в линейном режиме структуру поля в фокальной области, близкую к экспериментально измеренной. Указанный модельный поршневой излучатель имеет вид круглой сферической чаши с круглым центральным отверстием. При этом предполагается, что амплитуда нормальной компоненты колебательной скорости во всех точках поверхности чаши одинакова. Подгоночными параметрами для выбора эквивалентного излучателя являются его внешний диаметр D, диаметр центрального отверстия d, радиус кривизны излучающей поверхности F, а также амплитуда колебательной скорости на указанной поверхности при заданной амплитуде электрического напряжения, подаваемого на излучатель. Переход к нелинейному режиму акустического распространения осуществляется в предположении, что пьезоэлектрические элементы решетки являются линейными устройствами, т.е. колебательная скорость на излучающей поверхности пропорциональна подаваемому на излучатель электрическому напряжению.
На подготовительном этапе численного эксперимента находились параметры эквивалентного поршневого излучателя. Для этого использовались аналитические выражения для амплитуды акустического давления вдоль и поперек оси пучка для амплитуды заданного эффективного давления у поверхности поршневого УЗ излучателя, где ν0 – амплитуда нормальной компоненты колебательной скорости, ρ – плотность среды, с – скорость звука [32]. Значения параметров D, d и F, а также амплитуды давления p0 для заданной амплитуды напряжения U0 на элементах подбирались таким образом, чтобы получаемые теоретические распределения давления наилучшим образом аппроксимировали соответствующие зависимости, измеренные с помощью микрофона.
После нахождения эквивалентного поршневого излучателя с помощью комплекса «HIFU beam» проводился расчет акустического поля для разных уровней амплитуды электрического напряжения на излучателе. При этом амплитуда давления на эквивалентном излучателе p0 увеличивалась пропорционально напряжению U0 на элементах решетки в эксперименте до уровня максимально допустимого напряжения работы в непрерывном режиме, которое (согласно документации производителя пьезоэлементов) составляло 10 В.
РЕЗУЛЬТАТЫ
Рассчитанные из измеренной голограммы распределения амплитуды Aν и фазы φν нормальной компоненты колебательной скорости на сферической поверхности решетки представлены на рис. 5 на рабочей частоте решетки 35.5 кГц и на близкой к ней частоте 36 кГц. Полученные картины отчетливо показывают расположенные вдоль спиралей элементы антенной решетки. Из распределения амплитуды видно, что часть элементов решетки колеблется с малой относительно большинства элементов решетки амплитудой, однако большая часть, около 70% элементов, работает оптимально. По распределению фазы виден результат проведенной фазировки элементов: большинство элементов излучает в фазе. Малая амплитуда неэффективных элементов связана с отличием резонансной частоты этих элементов от выбранной рабочей частоты решетки. На рис. 5 представлено аналогичное амплитудное распределение Aν на частоте 36 кГц, из которого видно, что все элементы излучают более однородно, но менее эффективно. Фазовое распределение φν на частоте 36 кГц иллюстрирует, что на этой частоте фазировка элементов уже не является оптимальной.
Рис. 5. Распределения амплитуды Aν и фазы φν нормальной компоненты колебательной скорости на поверхности решетки на рабочей частоте 35.5 кГц и на частоте 36 кГц
Важность проведения фазировки элементов для достижения эффективной фокусировки хорошо видна на рассчитанной из голограммы пространственной структуре интенсивности ультразвука в фокальной плоскости. На рис. 6 показано поперечное распределение интенсивности Iак, нормированной на полную акустическую мощность излучения Wак, на частотах f = 35.5 и 36 кГц. При такой нормировке в случае синфазности всех элементов величина Iак / Wак для близких частот должна быть одной и той же. Результат для двух указанных частот, однако, заметно отличается: значение нормированной интенсивности на рабочей частоте 35.5 кГц, для которой была произведена фазовая коррекция, выше на 30%, чем на частоте 36 кГц.
Рис. 6. Распределение интенсивности Iак акустического излучения, нормированное на полную акустическую мощность Wак излучения, на оси x в фокальной плоскости на частотах 35.5 кГц (сплошная линия) и 36 кГц (штриховая линия)
Для достижения высоких уровней интенсивности волны в фокусе требуется не только обеспечение синфазности отдельных элементов решетки, но и достижение высоких уровней излучаемой акустической мощности Wак. При известной чувствительности акустического приемника эта величина может быть рассчитана из голограммы [34]. Поскольку в процессе эксплуатации чувствительность приемника может по тем или иным причинам измениться относительно паспортной, желательно иметь независимый способ измерения акустической мощности. В настоящей работе для этого использовался метод, основанный на измерении акустической радиационной силы.
На рис. 7 представлены результаты измерения частотной зависимости акустической мощности Wак при амплитуде электрического напряжения на элементах излучателя U0 =1 В. Сплошной линией показана акустическая мощность, рассчитанная для такого напряжения из полной голограммы (размером 400×400 мм). Как видно, максимальное значение достигается на выбранной рабочей частоте 35.5 кГц и составляет примерно 0.045 Вт. Точками на рис. 7 показаны результаты измерения акустической мощности на основе измерения радиационной силы. Эти измерения показывают примерно в 2 раза меньшую акустическую мощность, что естественно, поскольку рефлектором захватывается лишь часть ультразвукового пучка. Штриховой линией показана рассчитанная из голограммы акустическая мощность, проходящая через круг диаметром 180 мм, что примерно совпадает с диаметром основания акустического рефлектора (210 мм). Некоторое уменьшение эффективного диаметра может быть объяснено тем, что на краю рефлектора приближение геометрической акустики нарушается из-за дифракции, и поэтому краевая область рефлектора не дает полного вклада в результирующую радиационную силу. Таким образом, метод акустического радиометра подтвердил корректность калибровки микрофона и правильность микрофонных измерений абсолютных величин акустического давления.
Рис. 7. Частотные зависимости акустической мощности при напряжении 1 В на элементах решетки: сплошная линия – расчет из полной голограммы, точки – результат измерения методом акустического радиометра, штриховая линия – расчет из участка голограммы в виде круга диаметром 180 мм
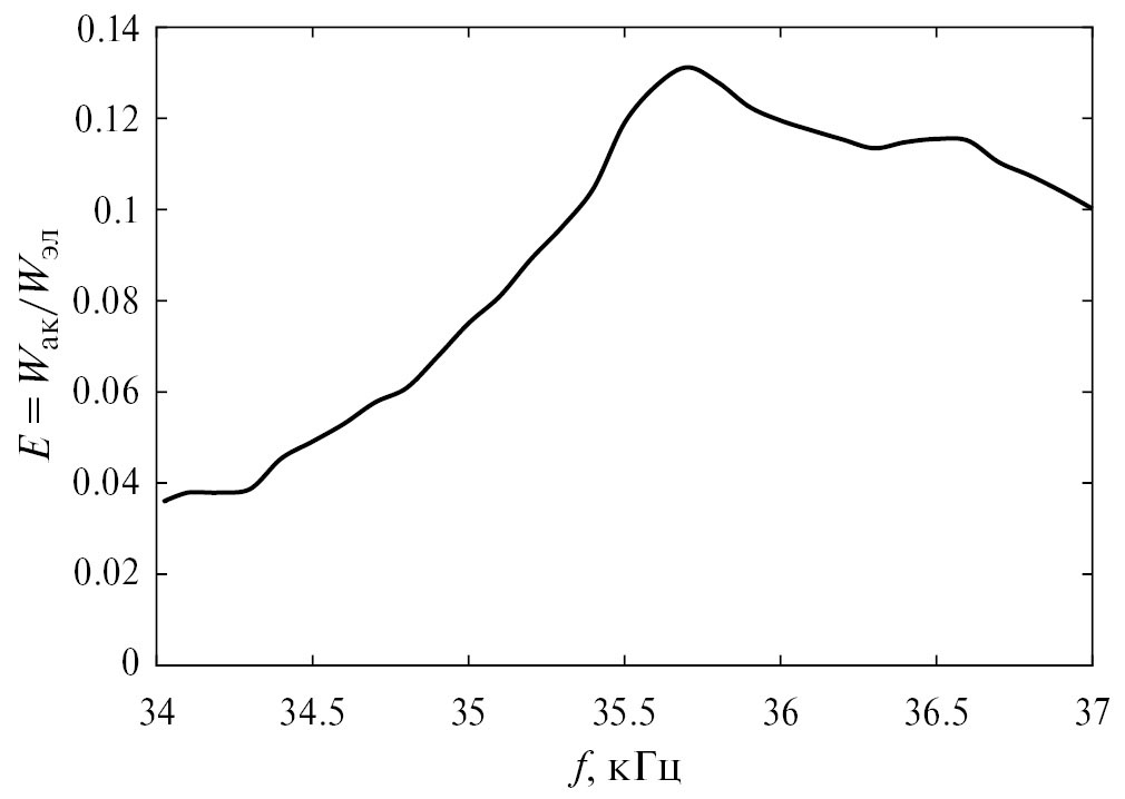
Одной из важных характеристик любого электроакустического преобразователя является эффективность преобразования электрической энергии в акустическую. Поскольку метод акустической голографии позволяет измерить полную акустическую мощность, а измерение электрического импеданса излучателя и напряжения на нем позволяет найти электрическую мощность, то комбинация указанных измерений позволяет рассчитать эффективность. На рис. 8 представлены результаты нахождения электроакустической эффективности E разработанной решетки в зависимости от частоты. Измерения показали, что максимальное значение эффективности решетки достигается на частоте 35.7 кГц и составляет порядка 13%. Эффективность на выбранной рабочей частоте 35.5 кГц примерно такая же (12%).
Рис. 8. Частотная зависимость электроакустической эффективности решетки
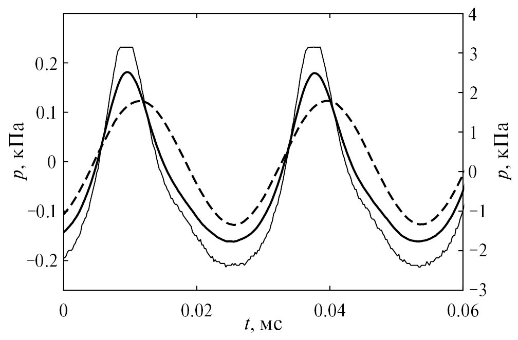
Важным аспектом исследования возможностей разработанной антенной решетки была проверка возможности достижения режимов высокой интенсивности, при которых сильно выражены нелинейные эффекты. С этой целью были проведены измерения формы волны в точке фокуса при различных уровнях напряжения на излучающих элементах. На рис. 9 показаны профили акустического давления в фокусе на разных уровнях возбуждения элементов. Серой линией показан профиль при относительно малой амплитуде электрического напряжения U0 = 0.5 В на элементах, когда нелинейность не проявляется, и поэтому профиль является синусоидальным. Черной толстой линией показан сигнал микрофона при амплитуде напряжения U0 = 5.8 В. Как видно, форма сигнала искажена и уже заметно отличается от синусоидальной. В соответствии с чувствительностью микрофона, в последнем случае амплитуда акустического давления достигала значения 2500 Па, что соответствует 162 дБ. Такой уровень акустического давления является максимально допустимым значением в пределах динамического диапазона используемого микрофона GRAS 46BE, т.е. измерения при бо́льших уровнях заведомо искажены самим нелинейным откликом микрофона. Этот эффект отчетливо виден по отсечке сигнала для возбуждающего напряжения 7.7 В (черная тонкая линия на графике).
Рис. 9. Профили акустического давления в фокусе, измеренные при разных уровнях возбуждения элементов. Штриховая линия – профиль в линейном режиме при амплитуде электрического напряжения 0.5 В на элементах (шкала давления – слева). Сплошные линии – профили в нелинейном режиме; толстая линия – при амплитуде напряжения 5.8 В, тонкая линия при 7.7 В (шкала давления – справа)
Для анализа акустического поля антенной решетки при тех уровнях ее возбуждения, когда измерения микрофоном были невозможны, проводилось численное моделирование в соответствии с ранее описанной методикой с использованием программного комплекса "HIFU beam".
Полученные в результате численного моделирования профили акустической волны в фокусе при напряжении на элементах U0 = 7 В и максимально допустимом напряжении U0 = 10 В представлены на рис. 10. Наблюдаемое искажение формы волны типично для режимов HIFU, когда существенную роль играет акустическая нелинейность среды. Фазы сжатия укорочены, фазы разрежения, напротив, растянуты, а пиковое положительное давление заметно превышает абсолютное значение пикового отрицательного давления. При напряжении U0 = 10 В в профиле волны наблюдается ударный фронт. Важным результатом является также то, что пиковое значение акустического давления, полученное при моделировании, основанном на экспериментально заданном граничном условии, для U0 = 10 В составляет 8.6 кПа, что соответствует уровню 173 дБ.
Рис. 10. Профили акустической волны в фокусе, полученные с помощью численного моделирования с использованием комплекса «HIFU beam» при амплитуде напряжения на излучателе 7 В (штриховая линия) и 10 В (сплошная линия)
ОБСУЖДЕНИЕ И ВЫВОДЫ
В настоящей работе представлена и исследована 128-элементная антенная решетка со спиральным расположением элементов на сферической чаше, предназначенная для излучения фокусированного ультразвука в воздухе в низкочастотном ультразвуковом диапазоне (на рабочей частоте 35.5 кГц). Диаметр решетки примерно равен фокусному расстоянию (0.5 м), причем эти размеры намного превышают длину волны (9.6 мм), что позволило обеспечить эффективную фокусировку и, за счет этого, локализовать акустическое поле в фокальной области малого размера и достичь в этой области экстремально высоких уровней интенсивности ультразвука. Как видно из рис. 6, диаметр фокальной области по уровню 3 дБ около 10 мм, что лишь ненамного превышает длину волны.
Особенностью конструкции разработанной решетки является возможность независимого позиционирования отдельных элементов с высокой точностью, что позволяет перемещением держателей элементов управлять формой фазового фронта фокусированного ультразвукового пучка. В настоящей работе эта возможность была использована для коррекции фазового фронта на рабочей частоте (см. рис. 5), что позволило существенно повысить качество фокусировки (рис. 6). Поскольку перемещение элементов может быть выполнено в пределах нескольких длин волн, корректировка фаз в разработанной конструкции решетки позволяет создавать пучки с более сложной структурой фазового фронта, например так называемые закрученные («вортексные») пучки [35]. Кроме того, имеется возможность сдвига фокусного расстояния относительно геометрического фокуса. Спиральный характер расположения элементов при этом позволяет подавить паразитные дифракционные максимумы, характерные для антенных решеток с периодическим расположением элементов.
В качестве излучающих элементов в представленной решетке использованы пьезоэлектрические излучатели [19]. Согласно проведенным измерениям, эффективость электроакустического преобразования в них составила 10–13% (рис. 8). Эта величина намного меньше эффективности одноэлементных ультразвуковых систем с использованием изгибных колебаний профилированных пластин, для которых производители называют величину 75–80% [3]. С другой стороны, эффективность типичных бытовых динамиков гораздо ниже, в лучшем случае несколько процентов [36]. Поскольку антенная решетка позволяет обеспечить излучение с большой поверхности за счет использования большого количества сфазированных элементов, удается создавать острофокусированные ультразвуковые пучки и даже при эффективности электроакустического преобразования 10% добиться экстремально высоких уровней интенсивности. В настоящей работе таким способом был достигнут уровень акустического давления более 170 дБ.
Правильность рассчитываемой из микрофонных измерений величины излучаемой акустической мощности была проверена независимым методом, основанным на измерении акустической радиационной силы, действующей на рефлектор конической формы. Поскольку подводимая электрическая мощность пропорциональна квадрату амплитуды напряжения, то при максимально возможной амплитуде (U0 = 10 В), согласно рис. 7, мощность достигала значения около 5 Вт. Примечательно, что при максимальных уровнях возбуждения излучателя радиационная сила составляла 2 мН. Такие высокие уровни радиационной силы указывают на возможность использования разработанной решетки для левитации в воздухе довольно тяжелых объектов.
Важным результатом работы явилась также экспериментальная реализация режима фокусировки, при котором форма ультразвуковых волн сильно искажена из-за акустической нелинейности. Благодаря фокусировке на расстоянии порядка диаметра излучателя удалось получить волновые профили, содержащие ударные участки. Форма волны при этом похожа на форму акустических сигналов, получаемых в современных приложениях высокоинтенсивного ультразвука (HIFU) мегагерцового диапазона в терапии. Наличие ударного фронта и экстремально высокие пиковые давления могут найти различные применения как в ультразвуковых технологиях, так и научных исследованиях взаимодействия интенсивного ультразвука со средой.
Об авторах
Ш. А. Асфандияров
Московский государственный университет имени М.В. Ломоносова
Автор, ответственный за переписку.
Email: asfandiiarov.sa14@physics.msu.ru
Россия, Москва
С. А. Цысарь
Московский государственный университет имени М.В. Ломоносова
Email: asfandiiarov.sa14@physics.msu.ru
Россия, Москва
О. А. Сапожников
Московский государственный университет имени М.В. Ломоносова
Email: asfandiiarov.sa14@physics.msu.ru
Россия, Москва
Список литературы
- Бэйли М. Р., Хохлова В. А., Сапожников О. А., Каргл С. Г., Крам Л. А. Физические механизмы воздействия терапевтического ультразвука на биологическую ткань. (Обзор) // Акустический журнал. 2003. Т. 49. № 4. P. 437–464.
- Sapozhnikov O. A., Khokhlova V. A., Cleveland R. O., Blanc-Benon P., Hamilton M.F. Nonlinear Acoustics Today // Acoust. Today. 2019. V. 15, № 3. P. 55.
- Gallego-Juarez J. A., Graff K. F., Lucas M. Power Ultrasonics. Woodhead Publishing, 2023.
- Charoux C. M. G., Ojha K. S., O’Donnell C. P., Cardoni A., Tiwari B. K. Applications of airborne ultrasonic technology in the food industry // J. of Food Engineering. 2017. V. 208. P. 28–36.
- Gallego-Juarez J. A. High-power ultrasonic processing: Recent developments and prospective advances // Physics Procedia. 2010. V. 3, № 1. P. 35–47.
- Борисов Ю. Я., Гныкина Н. М. Акустическая сушка // Физические основы ультразвуковой технологии. М.: Наука, 1970. С. 686.
- Khmelev V. N., Shalunov A. V., Nesterov V. A., Dorovskikh R. S., Golykh R. N. Ultrasonic radiators for the action on gaseous media at high temperatures // 2015 16th Int. Conf. of Young Specialists on Micro/Nanotechnologies and Electron Devices. Erlagol, Russia: IEEE, 2015. P. 224–228.
- Khmelev V. N., Tsyganok S. N., Barsukov R. V., Khmelev M. V., Barsukov A. R. Ultrasonic devices for noncontact intensification of technological processes // Fibre Chem. 2022. V. 53. № 6. P. 391–394.
- Зверев В. А. Как зарождалась идея параметрической акустической антенны // Акуст. журн. 1999. Т. 45. № 5. С. 685–692.
- Bennett M. B., Blackstock D. T. Parametric array in air // J. Acoust. Soc. Am. 1975. V. 57. № 3. P. 562–568.
- Pompei F. J. The use of airborne ultrasonics for generating audible sound beams // J. of the Audio Engineering Society. 1999. V. 47, № 9.
- Виноградов Н. С., Дорофеев М. С., Коробов А. И., Михайлов C. Г., Руденко О.В., Шанин А.В., Шилкин А.В. О нелинейной генерации звука в воздухе волнами ультразвуковых частот // Акуст. журн. 2005. Т. 51. № 2. С. 189–194.
- Коробов А. И., Изосимова М. Ю., Ненарокомов К. А., Одина Н. И. Дистанционная диагностика резиноподобных материалов методами нелинейной акустики // Письма в журнал технической физики. 2017. Т. 43. № 17. С. 86.
- Marzo A., Barnes A., Drinkwater B.W. TinyLev: A multi-emitter single-axis acoustic levitator // Review of Scientific Instruments. 2017. V. 88, № 8. P. 085105.
- Marzo A., Caleap M., Drinkwater B. W. Acoustic virtual vortices with tunable orbital angular momentum for trapping of Mie particles // Phys. Rev. Lett. 2018. V. 120. № 4. P. 044301.
- Marzo A., Seah S. A., Drinkwater B. W., Sahoo D. R., Long B., Subramanian S. Holographic acoustic elements for manipulation of levitated objects // Nat. Commun. 2015. V. 6. № 1. P. 8661.
- Haupt R. W. High-powered parametric acoustic array in air // J. Acoust. Soc. Am. 2009. V. 125. № 4. Supplement. P. 2688–2688.
- Liebler M., Kling C., Gerlach A., Koch C. Experimental characterization of high-intensity focused airborne ultrasound fields // J. Acoust. Soc. Am. 2020. V. 148. № 3. P. 1713–1722.
- Гейер А. Ф., Пономарев В. А. Разработка пьезокерамических электроакустических преобразователей для акустических устройств со звуковым давлением 125 дБ и более // Вопросы радиоэлектроники. 2019. № 10. С. 11–16.
- Гаврилов Л. Р., Сапожников О. А., Хохлова В. А. Спиральное расположение элементов двумерных ультразвуковых терапевтических решеток как метод повышения интенсивности в фокусе // Изв. РАН. Сер. физ. 2015. Т. 79. № 10. С. 1386–1392.
- Bawiec C. R., Khokhlova T. D., Sapozhnikov O. A., Rosnitskiy P. B., Cunitz B. W., Ghanem M. A., Hunter C., Kreider W., Schade G. R., Yuldashev P. V., Khokhlova V. A. A Prototype therapy system for boiling histotripsy in abdominal targets based on a 256-element spiral array // IEEE Trans. Ultrason. Ferroelect. Freq. Contr. 2021. V. 68. № 5. P. 1496–1510.
- Tsysar S. A., Rosnitskiy P. B., Asfandiyarov S. A., Petrosyan S. A., Khokhlova V. A., Sapozhnikov O. A. Phase correction of the channels of a fully populated randomized multielement therapeutic array using the acoustic holography method // Acoust. Phys. 2024. V. 70. № 1. P. 82–89.
- Сапожников О.А., Пономарев А.Е., Смагин М.А. Нестационарная акустическая голография для реконструкции скорости поверхности акустических излучателей // Акуст. журн. 2006. Т. 52. № 3. С. 385–392.
- Sapozhnikov O. A., Tsysar S. A., Khokhlova V. A., Kreider W. Acoustic holography as a metrological tool for characterizing medical ultrasound sources and fields // J. Acoust. Soc. Am. 2015. V. 138. № 3. P. 1515–1532.
- Цысарь С. А., Николаев Д. А., Сапожников О. А. Широкополосная виброметрия двумерной ультразвуковой решетки методом нестационарной акустической голографии // Акуст. журн. 2021. Т. 67. № 3. С. 328–337.
- Калоев А. З., Николаев Д. А., Хохлова В. А., Цысарь С. А., Сапожников О. А. Пространственная коррекция акустической голограммы для восстановления колебаний поверхности аксиально-симметричного ультразвукового излучателя // Акуст. журн. 2022. Т. 68. № 1. С. 83–95.
- Nikolaev D. A., Tsysar S. A., Khokhlova V. A., Kreider W., Sapozhnikov O. A. Holographic extraction of plane waves from an ultrasound beam for acoustic characterization of an absorbing layer of finite dimensions // J. Acoust. Soc. Am. 2021. Т. 149. № 1. С. 386–404.
- Колесников А. Е. Ультразвуковые измерения. Изд. 2-е доп. и перераб. М: Изд-во стандартов, 1982. 247 p.
- Maruvada S., Harris G. R., Herman B. A., King R. L. Acoustic power calibration of high-intensity focused ultrasound transducers using a radiation force technique // J. Acoust. Soc. Am. 2007. V. 121. № 3. P. 1434–1439.
- Duck F. Ultrasonic metrology II — The history of the measurement of acoustic power and intensity using radiation force // Med. Phys. Int. J. 2021. V. 5. P. 519–536.
- Shou W., Huang X., Duan S., Xia R., Shi Z., Geng X., Li F. Acoustic power measurement of high intensity focused ultrasound in medicine based on radiation force // Ultrasonics. 2006. V. 44. P. e17–e20.
- Юлдашев П. В., Мездрохин И. С., Хохлова В. А. Моделирование высокоинтенсивных полей сильно фокусирующих ультразвуковых излучателей с использованием широкоугольного параболического приближения // Акуст. журн. 2018. Т. 64. № 3. С. 318–329.
- Yuldashev P. V., Karzova M. M., Kreider W., Rosnitskiy P. B., Sapozhnikov O. A., Khokhlova V. A. “HIFU Beam:” A simulator for predicting axially symmetric nonlinear acoustic fields generated by focused transducers in a layered medium // IEEE Trans. Ultrason. Ferroelect. Freq. Contr. 2021. V. 68. № 9. P. 2837–2852.
- Sapozhnikov O. A., Bailey M. R. Radiation force of an arbitrary acoustic beam on an elastic sphere in a fluid // J. Acoust. Soc. Am. 2013. V. 133. № 2. P. 661–676.
- Терзи М. Е., Цысарь С. А., Юлдашев П. В., Карзова М. М., Сапожников О.А. Получение закрученного ультразвукового пучка с помощью фазовой пластины с угловой зависимостью толщины // Вестн. Моск. ун-та. Сер. 3. Физ. Астрон. 2017. № 1. С. 58.
- Eargle J. Loudspeaker Handbook. Springer US, 2003.
Дополнительные файлы













