Падение на Землю фрагментов разрушенного астероида
- Авторы: Светцов В.В.1
-
Учреждения:
- Институт динамики геосфер им. М.А. Садовского РАН
- Выпуск: Том 57, № 3 (2023)
- Страницы: 275-283
- Раздел: Статьи
- URL: https://journal-vniispk.ru/0320-930X/article/view/134971
- DOI: https://doi.org/10.31857/S0320930X2303009X
- EDN: https://elibrary.ru/BSADIH
- ID: 134971
Цитировать
Полный текст
Аннотация
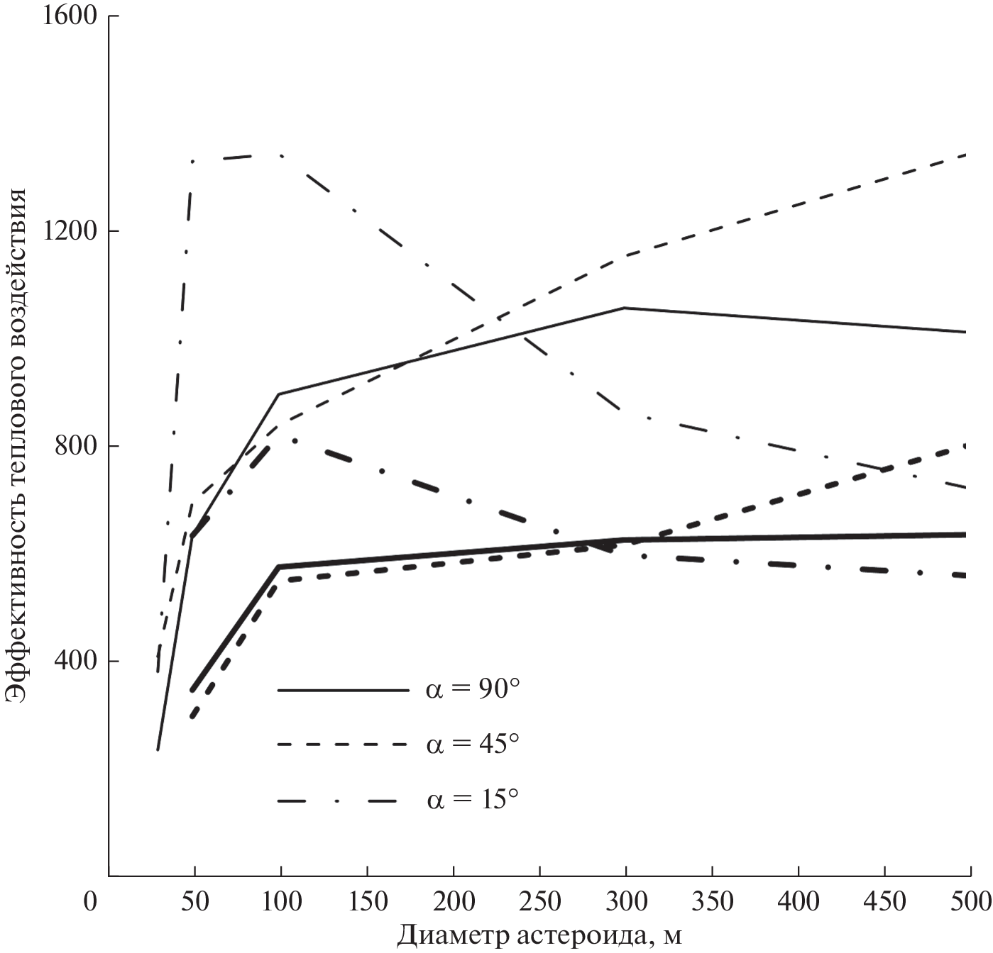
Проведены оценки влияния разрушения астероидов на орбитах при их приближении к Земле на последствия их ударов. Определены площади поражения ударной волной, сейсмической волной и излучением при ударе каменных астероидов по суше или при входе в атмосферу над сушей со скоростью 20 км/с для диапазона их размеров 20–500 м. Получено, что произвольное разрушение астероида недалеко от Земли может приводить к увеличению суммарной площади поражения ударными волнами и тепловым излучением при ударах отдельных фрагментов. В общем случае уменьшения ущерба при разрушении астероидов с диаметрами 150–500 м можно добиться, если основную массу фрагментов составляют тела с размерами менее 20–30 м, которые не представляют катастрофической опасности.
Ключевые слова
Об авторах
В. В. Светцов
Институт динамики геосфер им. М.А. Садовского РАН
Автор, ответственный за переписку.
Email: svettsov07@rambler.ru
Россия, Москва
Список литературы
- Акимов В.А., Глазачев Д.О., Емельяненко В.В., Краминцев А.П., Нароенков С.А., Овсяник А.И., Попова О.П., Пучков В.А., Рыхлова Л.В., Савельев М.И., Светцов В.В., Трубецкая И.А., Шувалов В.В., Шугаров А.С., Шустов Б.М. Астероидно-кометная опасность: стратегия противодействия. М.: ФГБУ ВНИИ ГОЧС (ФС), 2015. 272 с.
- Аристова Е.Ю. и 39 соавторов. Лазерное моделирование разрушительного воздействия ядерных взрывов на опасные астероиды // ЖЭТФ. 2018. Т. 153. С. 157–172.
- Глазачев Д.О., Попова О.П., Подобная Е.Д., Артемьева Н.А., Шувалов В.В., Светцов В.В. Эффекты ударной волны, генерируемой при падении космических тел размером от 20 м до 3 км // Физика Земли. 2021. № 5. С. 133–145.
- Зельдович Я.Б., Райзер Ю.П. Физика ударных волн и высокотемпературных гидродинамических явлений. М.: Наука, 1966. 688 с.
- Мелош Г. Образование ударных кратеров: геологический процесс. М.: Мир, 1994. 336 с.
- Садовский М.А. Механическое действие воздушных ударных волн взрыва по данным экспериментальных исследований // Физика взрыва. АН СССР. № 1. 1952. С. 20–110.
- Светцов В.В., Артемьева Н.А., Шувалов В.В. Сейсмическая эффективность метеорных взрывов // Докл. Акад. наук. 2017. Т. 475. № 5. С. 576–579.
- Хазинс В.М., Шувалов В.В., Светцов В.В. Сейсмическая эффективность ударов космических тел // Астрон. вестн. 2018. Т. 52. № 6. С. 566–576. (Khazins V.M., Shuvalov V.V., Svettsov V.V. The seismic efficiency of space body impacts // Sol. Syst. Res. 2018. V. 52. № 6. P. 547–556.)
- Artemieva N., Shuvalov V. Atmospheric shock waves afterimpacts of cosmic bodies up to 1000 m in diameter // Meteoritics and Planet. Sci. 2019. V. 54. № 3. P. 592–608.
- Berger M., Goodman J. Airburst-generated tsunami // Pure and Appl. Geophysics. 2018. V. 175. P. 1525 –1543.
- Brown P.G. and 32 co-authors. A 500-kiloton airburst over Chelyabinsk and an enhanced hazard from small impactors // Nature. 2013. V. 503. P. 238–241.
- Chesley S.R., Ward S.N. A quantitative assessment of the human and economic hazard from impact-generated tsunami // Natural Hazards. 2006. V. 38. P. 355–374.
- Gisler G., Weaver R., Gittings M. Calculations of asteroid impact into deep and shallow water // Pure and Appl. Geophysics. 2011. V. 168. P. 1187–1198.
- Glasstone S., Dolan P.J. The effects of nuclear weapons. Washington, DC: U.S. Dep. Defense, Dep. Energy, 1977. 653 p.
- Horan L.S. IV, Holland D.E., Syal M.B., Bevins J.E., Wasem J.V. Impact of neutron energy on asteroid deflection performance // Acta Astronautica. 2021. V. 183. P. 29–42.
- Hupp R., DeWald S., Wie B., Barbee B.W. Suborbital intercept and fragmentation of an asteroid with very short warning time scenario // 4th IAA Planetary Defense Conf. 2015. IAA-PDC-15-03-09.
- Hussein A., Rozenheck O., Utrilla C.M.E. From detection to deflection: Mitigation techniques for hidden global threats of natural space objects with short warning time // Acta Astronautica. 2016. V. 126. P. 488–496.
- Kaplinger B., Wie B., Dearborn D. Earth-impact modeling and analysis of a near-Earth object fragmented and dispersed by nuclear subsurface explosions // J. Astronautical Sci. 2012. V. 59. P. 103–121.
- Kartashova A.P., Popova O.P., Glazachev D.O., Jenniskens P., Emel’yanenko V.V., Podobnaya E.D., Skripnik A.Ya. Study of injuries from the Chelyabinsk airburst event // Planet. and Space Sci. 2018. V. 160. P. 107–114.
- King P.K., Syal M.B., Dearborn D.S.P., Managan R., Owen J.M., Raskin C. Late-time small body disruptions for planetary defense // Acta Astronautica. 2021. V. 188. P. 367–386.
- Lubin P. PI – Therminal planetary defense // Eprint arXiv:2110.07559. 2021. https://arxiv.org/abs/2110.07559.
- Mannan S., Lees F.P. Lee’s loss prevention in the process industries. V. 1: Hazard identification, assessment, and control. Amsterdam: Elsevier, 2005. id. 8 (79 p.)
- Morrison D., Venkatapathy E. Asteroid generated tsunami: Summary of NASA/NOAA workshop. 2017. NASA/Technical Memorandum (NASA/TM-219463).
- Morrison D. Overview of active planetary defense methods: Global collaboration for defending Earth from asteroids and comets // Planetary Defense, Space and Society. Springer Nature Switzerland, 2019. P. 113–121.
- Perna D., Barucci M.A., Fulchignoni M. The near-Earth objects and their potential threat to our planet // Astron. and Astrophys. Rev. 2013. V. 21. id. 65 (28 p.).
- Popova O.P. and 59 co-authors. Chelyabinsk airburst, damage assessment, meteorite recovery, and characterization // Science. 2013. V. 342. P. 1069–1073.
- Robertson D.K., Gisler G.R. Near and far-field hazards of asteroid impacts in oceans // Acta Astronautica. 2019. V. 156. P. 262–277.
- Sanchez J.P., Vasile M., Radice G. On the consequences of a fragmentation due to a NEO mitigation strategy // 59th Int. Astronautical Congress IAC 2008. IAC-08-C1.3.10.
- Svetsov V.V., Shuvalov V.V. Thermal radiation and luminous efficiency of superbolides // Earth and Planet. Sci. Lett. 2018. V. 503. P. 10–16.
- Svetsov V.V., Shuvalov V.V. Thermal radiation from impact plumes // Meteoritics and Planet. Sci. 2019. V. 54. № 1. P. 126–141.
- Syal M.B., Dearborn D.S.P., Schultz P.H. Limits on the use of nuclear explosives for asteroid deflection // Acta Astronautica. 2013. V. 90. P. 103–111.






