Secular Orbital Dynamics of Exoplanet Satellite Candidates
- Авторлар: Melnikov A.V.1
-
Мекемелер:
- Central (Pulkovo) Astronomical Observatory, Russian Academy of Sciences, St. Petersburg, Russia
- Шығарылым: Том 57, № 4 (2023)
- Беттер: 365-372
- Бөлім: Articles
- URL: https://journal-vniispk.ru/0320-930X/article/view/134983
- DOI: https://doi.org/10.31857/S0320930X23030064
- EDN: https://elibrary.ru/IHLLFC
- ID: 134983
Дәйексөз келтіру
Толық мәтін
Аннотация
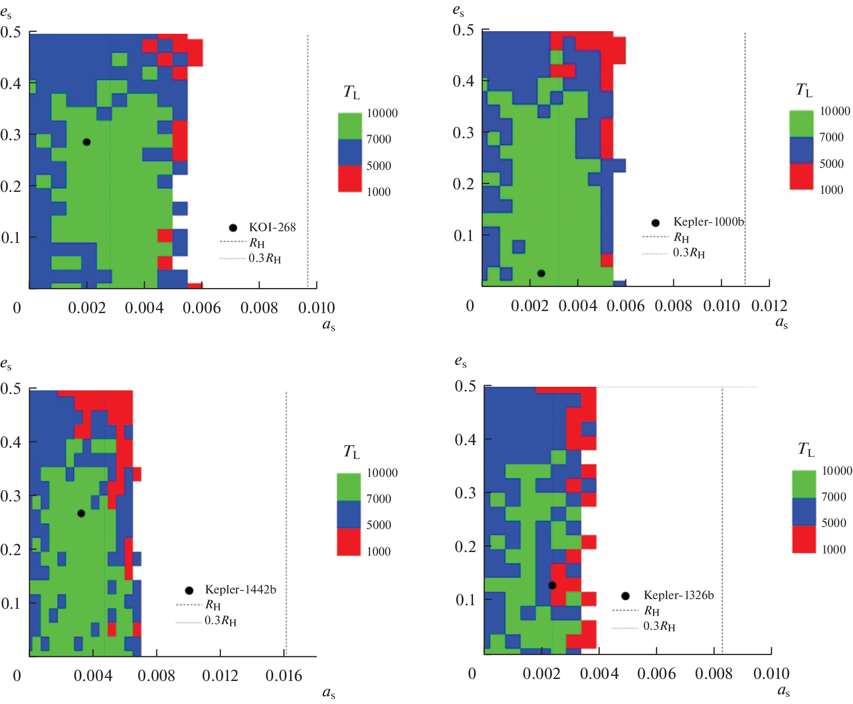
The stability of the secular orbital dynamics of a number of potentially existing satellites of exoplanets has been analyzed. The secular dynamics of possible satellites (“exomoons”) of the planets KOI-268.01, Kepler-1000b, and Kepler-1442b have been found to be stable. The possible values of the exomoon orbital parameters for these systems have been estimated. The dynamics of the satellites discovered around the planets Kepler-1625b and Kepler-1708b from the analysis of observations are considered. It has been found that the semimajor axis of the orbit of the moon of the planet Kepler-1625b can range from 5 to 25 planetary radii. It has been shown that the solution available for the satellites of the planet Kepler-1708b (Kipping et al., 2022) corresponds to a stable orbit of the satellites.
Негізгі сөздер
Авторлар туралы
A. Melnikov
Central (Pulkovo) Astronomical Observatory, Russian Academy of Sciences, St. Petersburg, Russia
Хат алмасуға жауапты Автор.
Email: melnikov@gaoran.ru
Россия, Санкт-Петербург
Әдебиет тізімі
- Емельянов Н.В. Динамика естественных спутников планет на основе наблюдений. Фрязино: Век 2, 2019. 575 с.
- Лихтенберг А., Либерман М. Регулярная и стохастическая динамика. М.: Мир, 1984. 528 с.
- Мельников А.В. Численные инструменты для анализа вековой динамики экзопланетных систем // Астрон. вестн. 2018. Т. 52. № 5. С. 427–436. (Melnikov A.V. Numerical instruments for the analysis of secular dynamics of exoplanetary systems // Sol. Syst. Res. 2018. V. 52. № 5. P. 417–425.) https://doi.org/10.1134/S0038094618050064.10.1134/S0320930X18050067
- Мельников А.В., Шевченко И.И. Об устойчивости вращательного движения несферических естественных спутников относительно наклона оси вращения // Астрон. вестн. 1998. Т. 32. № 6. С. 548–559. (Melnikov A.V., Shevchenko I.I. The stability of the rotational motion of nonspherical natural satellites with respect to tilting the axis of rotation // Sol. Syst. Res. 1998. V. 32. № 6. P. 480–490.)
- Мельников А.В., Шевченко И.И. Вращательная динамика и эволюция спутников планет Солнечной и экзопланетных систем // Астрон. вестн. 2022. Т. 56. № 1. С. 3–26. (Melnikov A.V., Shevchenko I.I. Rotational dynamics and evolution of planetary satellites in the Solar and exoplanetary systems // Sol. Syst. Res. 2022. V. 56. № 1. Р. 1–22.)https://doi.org/10.31857/S0320930X2201004210.31857/S0320930X22010042.https://doi.org/10.31857/10.1134/S003809462201004X
- Awiphan S., Kerins E. The detectability of habitable exomoons with Kepler // Mon. Notic. Roy. Astron. Soc. 2013. V. 432. P. 2549–2561.
- Benettin G., Galgani L., Strelcyn J.-M. Kolmogorov entropy and numerical experiments // Phys. Rev. A. 1976. V. 14. № 6. P. 2338–2345.
- Benettin G., Galgani L., Giorgilli A., Strelcyn J.-M. Lyapunov characteristic exponents for smooth dynamical systems and for Hamiltonian systems – A method for computing all of them. I – Theory. II – Numerical application // Meccanica. 1980. V. 15. P. 9–30.
- von Bremen H.F., Udwadia F.E., Proskurowski W. An efficient QR based method for the computation of Lyapunov exponents // Physica D. 1997. V. 101. P. 1–16.
- Cassese B., Kipping D. Kepler-1708 b-i is likely undetectable with HST // Mon. Notic. Roy. Astron. Soc. 2022. V. 516. P. 3701–3708.
- Domingos R.C., Winter O.C., Yokoyama T. Stable satellites around extrasolar giant planets // Mon. Notic. Roy. Astron. Soc. 2006. V. 373. P. 1227–1234.
- Fox C., Wiegert P. Exomoon candidates from transit timing variations: Eight Kepler systems with TTVs explainable by photometrically unseen exomoons // Mon. Notic. Roy. Astron. Soc. 2021. V. 501. P. 2378–2393.
- Hairer E., Nørsett S.P., Wanner G. Solving Ordinary Differential Equations. I. Nonstiff Problems. Berlin: Springer-Verlag, 1993. 528 p.
- Heller R. Exomoon habitability constrained by energy flux and orbital stability // Astron. and Astrophys. 2012. V. 545. id. L8.
- Heller R. Detecting extrasolar moons akin to Solar System satellites with an orbital sampling effect // Astrophys. J. 2014. V. 787. id. 14.
- Heller R. The nature of the giant exomoon candidate Kepler-1625 b-i2018 // Astron. and Astrophys. 2018. V. 610. id. A39.
- Heller R., Rodenbeck K., Bruno G. An alternative interpretation of the exomoon candidate signal in the combined Kepler and Hubble data of Kepler-1625 // Astron. and Astrophys. 2019. V. 624. id. A95.
- Heller R., Williams D., Kipping D., Limbach M.A., Turner E., Greenberg R., Sasaki T., Bolmont É., Grasset O., Lewis K., Barnes R., Zuluaga J.I. Formation, habitability, and detection of extrasolar moons // Astrobiology. 2014. V. 14. № 9. P. 798–835.
- Holman M., Wiegert P. Long-term stability of planets in binary systems // Astron. J. 1999. V. 117. № 1. P. 621–628.
- Kaltenegger L. Characterizing habitable exomoons // Astrophys. J. 2010. V. 712. № 2. P. L125–L130.
- Kaltenegger L. How to characterize habitable worlds and signs of life // Ann. Rev. Astron. and Astrophys. 2017. V. 55. № 1. P. 433–485.
- Kipping D.M. Transit timing effects due to an exomoon // Mon. Notic. Roy. Astron. Soc. 2009. V. 392. № 1. P. 181–189.
- Kipping D.M. LUNA: an algorithm for generating dynamic planet-moon transits // Mon. Notic. Roy. Astron. Soc. 2011. V. 416. P. 689–709.
- Kipping D.M. An independent analysis of the six recently claimed exomoon candidates // Astrophys. J. Lett. 2020. V. 900. № 2. id. L44.
- Kipping D.M., Bakos G.Á., Buchhave L.A., Nesvorný D., Schmitt A. The Hunt for Exomoons with Kepler (HEK). I. Description of a new observational project // Astrophys. J. 2012. V. 750. id. 115.
- Kipping D., Bryson S., Burke C., Christiansen J., Hardegree-Ullman K., Quarles B., Hansen B., Szulágyi J., Teachey A. An exomoon survey of 70 cool giant exoplanets and the new candidate Kepler-1708 b-i // Nature Astronomy. 2022. V. 6. P. 367–380.
- Kipping D.M., Forgan D., Hartman J., Nesvorný D., Bakos G.A., Schmitt A., Buchhave L. The Hunt for Exomoons with Kepler (HEK). III. The first search for an exomoon around a habitable-zone planet // Astrophys. J. 2013a. V. 777. № 2. id. 134.
- Kipping D.M., Hartman J., Buchhave L.A., Schmitt A.R., Bakos G.A., Nesvorný D. The Hunt for Exomoons with Kepler (HEK). II. Analysis of seven viable satellite-hosting planet candidates // Astrophys. J. 2013b. V. 770. № 2. id. 101.
- Kipping D.M., Nesvorný D., Buchhave L.A., Hartman J., Bakos G.Á., Schmitt A.R. The Hunt for Exomoons with Kepler (HEK). IV. A search for moons around eight M dwarfs // Astrophys. J. 2014. V. 784. № 1. id. 28.
- Kipping D.M., Schmitt A.R., Huang X., Torres G., Nesvorný D., Buchhave L.A., Hartman J., Bakos G.A. The Hunt for Exomoons with Kepler (HEK). V. A survey of 41 planetary candidates for exomoons // Astrophys. J. 2015. V. 813. № 1. id. 14.
- Martin D.V., Fabrycky D.C., Montet B.T. Transits of in lined exomoons – hide and seek and an application to Kepler-1625 // Astrophys. J. 2019. V. 875. № 2. id. L25.
- Martínez-Rodríguez H., Caballero J.A., Cifuentes C., Piro A.L., Barnes R. Exomoons in the habitable zones of M dwarfs // Astrophys. J. 2019. V. 887. № 2. id. 261.
- Moraes R.A., Borderes-Motta G., Winter O.C., Monteiro J. On the stability of additional moons orbiting Kepler-1625 b // Mon. Notic. Roy. Astron. Soc. 2022. V. 510. № 2. P. 2583–2596.
- Moraes R.A., Vieira Neto E. Exploring formation scenarios for the exomoon candidate Kepler-1625b I // Mon. Notic. Roy. Astron. Soc. 2020. V. 495. № 4. P. 3763–3776.
- Nicholson P.D., Ćuk M., Sheppard S.S., Nesvorný D., Johnson T.V. Irregular satellites of the giant planets // The Solar System beyond Neptune / Eds Barucci M.A., Boehnhardt H., Cruikshank D.P., Morbidelli A. Tucson: Univ. Arizona Press, 2008. P. 411–424.
- Quarles B., Li G., Rosario-Franco M. Application of orbital stability and tidal migration constraints for exomoon candidates // Astrophys. J. Lett. 2020. V. 902. № 1. id. L20.
- Quarles B., Eggl S., Rosario-Franco M., Li G. Exomoons in systems with a strong perturber: Applications to α Cen AB // Astron. J. 2021. V. 162. id. 58.
- Rosario-Franco M., Quarles B., Musielak Z.E., Cuntz M. Orbital stability of exomoons and submoons with applications to Kepler 1625b-I // Astron. J. 2020. V. 159. № 6. id. 260.
- Saha S., Sengupta S. Transit light curves for exomoons: analytical formalism // Astrophys. J. 2022. V. 936. № 1. id. 2.
- Shevchenko I.I., Kouprianov V.V. On the chaotic rotation of planetary satellites: The Lyapunov spectra and the maximum Lyapunov exponents // Astron. and Astrophys. 2002. V. 394. P. 663–674.
- Sucerquia M., Alvarado-Montes J.A., Zuluaga J.I., Cuello N., Giuppone C. Ploonets: formation, evolution, and detectability of tidally detached exomoons // Mon. Notic. Roy. Astron. Soc. 2019. V. 489. P. 2313–2322.
- Sucerquia M., Alvarado-Montes J.A., Bayo A., Cuadra J., Cuello N., Giuppone C.A., Montesinos M., Olofsson J., Schwab C., Spitler L., Zuluaga J.I. Cronomoons: origin, dynamics, and light-curve features of ringed exomoons // Mon. Notic. Roy. Astron. Soc. 2022. V. 512. № 1. P. 1032–1044.
- Sucerquia M., Ramírez V., Alvarado-Montes J.A., Zuluaga J.I. Can lose-in giant exoplanets preserve detectable moons? // Mon. Notic. Roy. Astron. Soc. 2020. V. 492. № 3. P. 3499–3508.
- Teachey A. The exomoon corridor for multiple moon systems // Mon. Notic. Roy. Astron. Soc. 2021. V. 506. № 2. P. 2104–2121.
- Teachey A., Kipping D.M. Evidence for a large exomoon orbiting Kepler-1625b // Sci. Adv. 2018. V. 4. № 10. id. Eaav1784.
- Teachey A., Kipping D., Burke C.J., Angus R., Howard A.W. Loose ends for the exomoon candidate host Kepler-1625b // Astron. J. 2020. V. 159. № 4. id. 142.
- Teachey A., Kipping D.M., Schmitt A.R. HEK. VI. On the dearth of Galilean analogs in Kepler, and the exomoon candidate Kepler-1625b I // Astron. J. 2018. V. 155. № 1. id. 36.
- Tjoa J.N.K.Y., Mueller M., van der Tak F.F.S. The subsurface habitability of small, icy exomoons // Astron. and Astrophys. 2020. V. 636. id. A50.
- Tokadjian A., Piro A.L. Probing planets with exomoons: The cases of Kepler-1708 b and Kepler-1625 b // Astrophys. J. Lett. 2022. V. 929. № 1. id. L2.
- Williams D.M., Kasting J.F., Wade R.A. Habitable moons around extrasolar giant planets // Nature. 1997. V. 385. № 6613. P. 234–236.





