Определение оптимальных параметров токовых систем магнитосферы меркурия по данным КА MESSENGER
- Authors: Лаврухин А.С.1, Алексеев И.И.1, Невский Д.В.1,2
-
Affiliations:
- Научно-исследовательский институт ядерной физики им. Д.В. Скобельцына, Московский государственный университет им. М.В. Ломоносова
- Московский государственный университет им. М.В. Ломоносова, Физический факультет
- Issue: Vol 58, No 5 (2024)
- Pages: 526-538
- Section: Articles
- URL: https://journal-vniispk.ru/0320-930X/article/view/273482
- DOI: https://doi.org/10.31857/S0320930X24050021
- EDN: https://elibrary.ru/LTPDYP
- ID: 273482
Cite item
Full Text
Abstract
Мы используем параболоидную модель магнитосферы Меркурия и данные магнитометра KA MESSENGER, полученные в апреле 2011 г. для определения оптимальных параметров токовых систем магнитосферы Меркурия, в том смысле, что они дают наименьшую невязку (меньше 10 нТл) между предсказаниями модели и измерениями. Полученные модельные данные сравниваются с экспериментальными данными и моделью магнитосферного магнитного поля Меркурия KT17.
Keywords
Full Text
Введение
Меркурий, ближайшая к Солнцу планета, обладает собственным магнитным полем, достаточным для создания собственной магнитосферы вокруг планеты. Оно было довольно подробно изучено в результате работы миссии MESSENGER (Mercury Surface, Space ENvironment, GEochemistry, and Ranging). Данный космический аппарат совершил более 4000 оборотов вокруг планеты с 2011 по 2015 г.. Формирование магнитосферы связано с возникающими в пространстве вокруг планеты токами, которые создают свое собственное магнитное поле, накладывающееся на планетарное магнитное поле. Эти токи, и, следовательно, создаваемое ими магнитное поле, могут меняться от пролета к пролету, или даже на масштабах одной орбиты КА из-за небольшого времени реконфигурации магнитосферы Меркурия, которое составляет порядка нескольких минут (Slavin и др., 2009). Для учета этих вкладов и для уточнения оценки планетарного магнитного момента требуется модель магнитосферного поля.
Собственный магнитный момент Меркурия направлен на юг, как у Земли, но значительно слабее его. Магнитное поле на экваторе Меркурия составляет ~192 нТл, а центр диполя сдвинут к северу относительно центра планеты на ~0.18 , где – радиус Меркурия, равный 2439 км (Alexeev и др., 2008). Наклон диполя к оси вращения Меркурия относительно мал, ~, с западной долготой в для северного полюса.
Шкалой, характеризующей размер магнитосферы, является расстояние от центра планеты до подсолнечной точки магнитопаузы . Магнитосфера Меркурия по размеру невелика, ее масштаб в среднем порядка (Winslow и др., 2013), что составляет около 5% от земной магнитосферы. Большой эксцентриситет орбиты Меркурия (0.309 а. е. в перигелии и 0.469 а. е. в афелии) приводит к возникновению вариаций расстояния до подсолнечной точки из-за изменения давления солнечного ветра (Winslow и др., 2013). Во время экстремальных событий, когда давление солнечного ветра очень велико, низкоширотная дневная магнитопауза может исчезнуть (Slavin и др., 2019). Также, при возрастании давления солнечного ветра и последующем приближении магнитопаузы к Меркурию, внутри него усиливаются индукционные токи, противодействующие сжатию магнитосферы, что может привести к увеличению дипольного момента планеты на 5% (Johnson и др., 2016).
Основной проблемой в создании динамической модели магнитного поля по данным КА MESSENGER является отсутствие данных о солнечном ветре выше по потоку относительно магнитосферы Меркурия во время нахождения КА внутри магнитосферы. За счет того, что время реконфигурации магнитосферы Меркурия составляет ~2 мин., измерения, проведенные до входа внутрь магнитосферы, были не актуальны для описания состояния магнитосферы уже через несколько минут при длительности внутримагнитосферного участка траектории в 1.5 ч. Таким образом, оценку динамического состояния магнитосферы можно получить только из наблюдений внутри магнитосферы при помощи модели.
Целью данной работы является определение оптимальных параметров токовых систем магнитосферы путем фитирования внутримагнитосферного магнитного поля, измеренного на борту КА MESSENGER за апрель 2011 г. Из всей миссии длительностью более четырех лет мы выбрали короткий промежуток времени работы КА на орбите для отработки метода анализа магнитосферных токовых систем. Для фитирования мы используем обновленную реализацию программы метода минимизации функционалов типа FUMILIM (Sitnik и др., 2020; 2024). Параметры магнитосферы Меркурия анализируются при помощи параболоидной модели магнитосферы. Она была представлена в работе (Alexeev и др., 2008) для анализа данных КА Mariner-10, а затем для анализа первых двух пролетов КА MESSENGER в работе (Alexeev и др., 2010), где было включено влияние наклона диполя. В работе (Johnson и др., 2012) на основе параболоидной модели (Alexeev и др., 2008; 2010) и орбитальных данных MESSENGER за период с 24 марта 2011 г. по 12 декабря 2011 г. была получена усредненная по времени модель магнитосферы Меркурия.
Работа состоит из следующих разделов: данные КА MESSENGER, используемая в расчетах параболоидная модель магнитосферы и программа для фитирования модели описаны в разделе “Методика”; в разделе “Определение оптимальных параметров токовых систем” описаны результаты наилучшего фитирования параметров токовых систем магнитосферы планеты на основе минимизации параметра и дано сравнение с другой моделью магнитосферного магнитного поля; в разделе “Обсуждение” рассмотрены полученные результаты и пути возможного их улучшения; в разделе “Выводы” описаны полученные результаты работы.
Методика
Данные магнитометра КА MESSENGER
Данные о магнитном поле, измеренном на борту КА MESSENGER, были получены из архива планетарных данных (https://pds-ppi.igpp.ucla.edu/search/?sc=Messenger&t=Mercury&i=MAG). Магнитометр и основные режимы его работы были подробно описаны в работе Anderson и др. (2007). Так как исходные данные были описаны в системе координат MSO (Mercury Solar Orbital), а параболоидная модель использует координаты в системе MSM (Mercury Solar Magnetospheric) в качестве входных, необходимо было провести их преобразование. Сдвиг внутреннего диполя планеты приводит к смещению начала координат, которое совпадает с центром планеты в случае системы координат MSO и с положением диполя в случае системы координат MSM. В системе координат MSO ось x направлена от центра планеты к Солнцу; ось z – перпендикулярна орбитальной плоскости Меркурия и направлена положительно на северный полюс мира; ось y – завершает правую тройку векторов. Система координат MSM получается из MSO путем сдвига центра системы координат на –0.18 .
Параболоидная модель
Мы используем "параболоидную" модель магнитосферы Меркурия, основанную на моделях магнитосферы Земли (Alexeev и др., 2003). Данная модель описывает поле меркурианского диполя, сдвинутого от центра планеты, поле токов на магнитопаузе и токовую систему хвоста, включающую ток поперек хвоста магнитосферы и токи его замыкания на магнитопаузе. Магнитопауза аппроксимируется параболоидом вращения. Также учитывается частично проникающее в магнитосферу межпланетное магнитное поле (ММП). Подробно модель описана в работах (Alexeev и др., 2008; 2010).
Параболоидная модель имеет несколько преимуществ по сравнению с отмасштабированными для случая Меркурия моделями магнитосферы Земли. В частности, параболоидная модель позволяет отдельно определять системы магнитопаузы и хвостового тока, чтобы позволяет лучше отразить условия в магнитосфере. Кроме того, параболоидная модель также отдельно параметризует влияния высокой эффективности пересоединения, а также интенсивность и ориентацию ММП, и позволяет использовать значения, аналогичные тем, которые обнаружены на Меркурии, соответствующие его местоположению во внутренней гелиосфере. Масштабированные модели Земли довольно сложно модифицировать, включив в них какой-либо из этих важных факторов. Этот момент очень важен по ряду причин, включая, например, преобладание -компоненты ММП на орбите Меркурия, что может иметь решающее значение для понимания структуры и некоторых динамических аспектов этой магнитосферы.
Параболоидная модель поля магнитосферы Меркурия определяется следующими параметрами: 1) – расстояние от центра Меркурия до подсолнечной точки на магнитопаузе; 2) – расстояние от центра планеты до внутреннего края токового слоя хвоста магнитосферы; 3) – магнитное поле диполя на экваторе Меркурия; 4) величина магнитного поля токового слоя хвоста магнитосферы на его внутреннем крае – , где ; 5) – угол наклона между направлением магнитного диполя и направлением , хотя в данной работе для простоты предполагалось, что в первом приближении диполь не имеет угла наклона; 6) – смещение токового слоя хвоста относительно магнитной экваториальной плоскости; 7) – часть проникающего в магнитосферу межпланетного магнитного поля , задаваемого как , где – коэффициент проникновения ММП в магнитосферу Меркурия. На рис. 1 представлена схема, иллюстрирующая основные параметры параболоидной модели магнитосферы Меркурия.
Внутри модельной магнитопаузы мы предполагаем два физических источника магнитного поля: внутреннее дипольное поле Меркурия и ток нейтрального слоя на ночной стороне планеты. Оба модуля создают магнитные поля, нормальные к границе магнитопаузы и экранированные токами магнитопаузы. Введение параболической системы координат позволяет найти аналитическое решение задачи экранировки дипольного поля параболоидальной магнитопаузой. Тем не менее расчет структуры магнитосферы – расчет трехмерной формы силовых линий – приходится проводить численно.
Рис. 1. Схема, иллюстрирующая основные параметры параболоидной модели магнитосферы Меркурия в солнечно-магнитосферной системе координат MSM. Параболоид вращения с параболической координатой описывает поверхность головной ударной волны, параболоид вращения с параболической координатой описывает поверхность магнитопаузы с расстоянием до подсолнечной точки .
Программа FUMILIM
Вариации параметров солнечного ветра и изменения в магнитосферных токовых системах приводят к изменениям магнитосферного магнитного поля со временем. Один из способов описания этих изменений состоит в изменении параметров токовых систем от одной орбиты к другой, в предположении, что в течение приблизительно часа состояние магнитосферы является стационарным, а в течение одного оборота КА – 12 ч. (или 8 ч. после июня 2012 г.) – параметры магнитосферы могут изменяться. Имея данные магнитометра вдоль орбит КА MESSENGER, можно найти параметры магнитосферных токовых систем, используя метод максимального правдоподобия, находя минимум величины :
где – квадрат величины вектора разности измеренного вектора магнитного поля и вектора магнитного поля, предсказываемого моделью в данной точке траектории i.
Программа для поиска минимума функционала, уравнение (1), рассчитывает модельный вектор магнитного поля , используя теоретическую параболоидную модель со свободными параметрами, которая позволяет рассчитать магнитное поле в магнитосфере планеты и сравнить его с полученными экспериментальными данными. Для определения параметров модели, дающих наилучшее фитирование, которые минимизируют среднеквадратичное стандартное отклонение между вектором модельного поля и измеренным магнитным полем, мы использовали код FUMILIM (Sitnik и др., 2020; 2024).
Для используемого набора данных при поиске минимума функционала (уравнение (1)) имеет смысл использовать информацию о знаке разности , или, учитывать не только модуль векторов разности, но также и угол между двумя векторами. Подход, использованный в (Alexeev и др., 2010), учитывал только модуль вектора невязки и терял чувствительность к знаку различия между экспериментом и теорией. Этот эффект был особенно выражен для параметра, который существенен только для одной из составляющих векторной функции (к таким параметрам относятся значения соответствующих компонент ММП, проникающих в магнитосферу). Новая версия программы поиска минимума функционала FUMILIM (Sitnik и др., 2020; 2024) может аккуратно работать в том числе и с векторными функциями. В новой версии пакета программе передаются все три компоненты вектора невязки, упомянутые в уравнении (1).
Наша задача состоит в нахождении параметров, описывающих состояние токовых систем магнитосферы Меркурия, образующихся при взаимодействии плазмы солнечного ветра с планетарным полем. Нами был проведен тестовый запуск на пяти первых из рассматриваемых орбитах. Для фитирования параметров токовых систем магнитосферы нами выбирался внутримагнитосферный участок, который для каждого витка занимает около часа. На этом участке есть перигермий – точка ближайшего сближения КА MESSENGER с Меркурием (поле максимально в этой точке – более 400 нТл). От этой точки мы расширяем отрезок для расчета , рассматривая только ту часть витка, где возмущения магнитного поля слабы, а не всю внутримагнитосферную часть траектории от последнего пересечения магнитопаузы на нисходящей части орбиты до первого пересечения магнитопаузы на восходящей части орбиты. Делается это из-за наличия областей возмущений у границ магнитопаузы, которые являются помехой для определения глобальных токовых систем. Из построенного -распределения (рис. 2), полученного в процессе обработки данных с пяти витков КА вокруг Меркурия, видно, что выбор участка траектории внутри магнитосферы, где возмущения большой амплитуды в районе магнитопаузы уже отброшены, проведен вполне удовлетворительно, и число точек, в которых превышает двойное среднее, невелико. Если построить временные профили экспериментальных данных и результаты обработки одного из витков спутника для трех составляющих магнитного поля, то полученные кривые практически сливаются, из-за плотности экспериментальных точек трудно различить модельные и экспериментальные кривые.
Рис. 2. Распределение для первых пяти из рассматриваемых орбит.
Данные для гистограммы формируются пакетом FUMILIM, а временные профили экспериментальных данных и модельные компоненты вектора поля строятся подпрограммой, встроенной в оболочку, которая выполняется сразу после окончания программы поиска минимума , который задает оптимальные для данного витка параметры параболоидной модели.
Определение оптимальных параметров токовых систем
После проведения тестовых расчетов мы рассмотрели вариант обработки данных, полученных КА MESSENGER за первые 10 дней работы в апреле 2011 г., и в результате обработали 16 витков (для некоторых витков ряд данных был неполным). Наилучшая точность определения параметров для рассмотренных 16 витков была достигнута для интервала усреднения, равного 4 с. Тем самым “вес” исходного массива был понижен в четыре раза без заметной потери точности. При обработке массива было оптимизировано 112 параметров – 16 раз по 7 параметров модели магнитосферы для каждого отдельного витка. Параметры планетарного диполя (поле на экваторе, коширота и долгота северного полюса и смещения центра диполя по всем трем осям относительно центра планеты) для упрощения мы считали неизменными для всего рассматриваемого интервала времени. Для каждого оборота MESSENGER вокруг Меркурия параметры магнитосферы мы считали неизменными в течение всего магнитосферного участка траектории, который длился в среднем около часа. Два последовательных оборота разделяли 12 ч, во время которых, как правило, происходили изменения размеров и интенсивности магнитосферных токовых систем, как вследствие изменения условий в солнечном ветре, так и из-за внутренней динамики магнитосферы. Мы рассматривали только две магнитосферные токовые системы – токи на магнитопаузе, экранирующие дипольное поле от проникновения в переходный слой, и токовую систему хвоста магнитосферы. В итоге состояние магнитосферы на каждом витке описывалось четырьмя параметрами: – поле токового слоя у его переднего края в нТл, – расстояние до подсолнечной точки на магнитопаузе в , – расстояние до переднего края токового слоя в , – смещение плоскости токового слоя в вертикальном направлении относительно экваториальной плоскости магнитосферной системы координат в . Еще три параметра задают три компоненты постоянного (меняющегося от одной орбиты к другой, но постоянного вдоль фиксированной орбиты MESSENGER) вектора магнитного поля, который делает невязку модели и измерений минимальной. Этот вектор формируется проникающим из переходного слоя в магнитосферу вектором ММП и, как следствие, регулярного отклонения параболоида вращения от реальной магнитосферы, которое дает “корректирующую константу” в поле токов на магнитопаузе. В будущем, когда будет выполнено усреднение в невозмущенном потоке солнечного ветра, мы будем знать зависимость от времени вектора ММП и сможем разделить эти два члена в . Однако сейчас остается неопределенность как в пространственном распределении проникающего межпланетного поля, так и в относительной величине коэффициента проникновения для разных компонент. Предварительные теоретические оценки дают коэффициент примерно 0.3 для , или для – перпендикулярной к линии Меркурий–Солнце компоненты – и на порядок меньше для продольного поля .
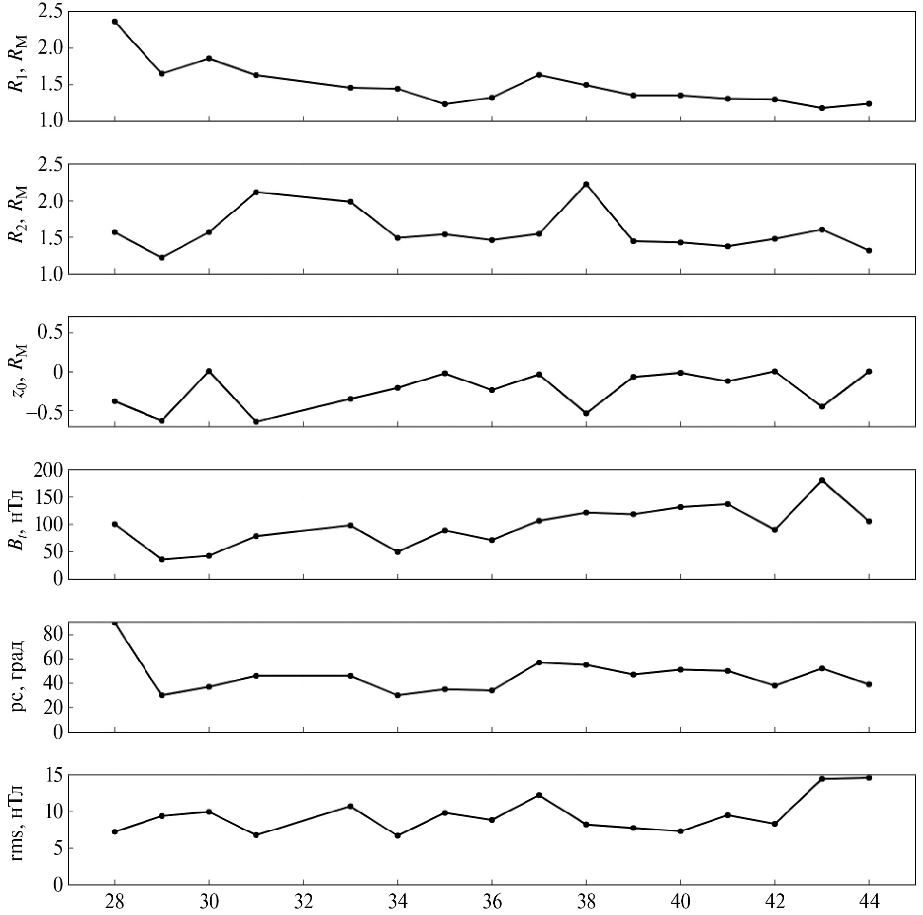
На рис. 3 приведены рассчитанные параметры параболоидной модели магнитосферы Меркурия с 28-го по 44-й виток КА MESSENGER. Величины , полученные в результате обработки всех рассматриваемых витков при помощи параболоидной модели, находятся в интервале , что хорошо согласуется с полученными ранее другими методами результатами (Winslow др., 2013; Philpott и др., 2020). При этом заметна сильная изменчивость этого параметра, и, как следствие, всей небольшой магнитосферы Меркурия в целом. Параметры , за исключением отдельных выбросов на “плохих” витках, варьируют в пределах нескольких десятков процентов. Они не сильно разнятся для соседних орбит, что указывает на достоверность полученных результатов. Тем не менее мы можем проанализировать изменения, которые произошли после первых пролетов MESSENGER к апрелю 2011 г. (к началу эпохи орбитальной фазы миссии MESSENGER). Размер полярной шапки на Меркурии колеблется около средней величины, равной . Средние за 16 витков в апреле 2011 г. значения оптимальных параметров, дающих минимальную невязку с данными MESSENGER, таковы: поле токового слоя у его внутреннего края нТл, – это несколько меньше среднего поля токового слоя по данным Alexeev и др. (2010), размер магнитосферы , расстояние до переднего края токового слоя , вертикальное смещение токового слоя , модуль константы, которая добавляется к модельному полю, чтобы уменьшить невязку, равен нТл. По компонентам это нТл, нТл, и нТл. Эта величина примерно соответствует имеющимся оценкам коэффициента проникновения межпланетного поля, равного 0.2, однако направление этого вектора не соответствует преобладанию радиальной компоненты магнитного поля в окрестности Меркурия. Для более точной оценки и коэффициента проникновения, и величины корректирующей константы необходима дальнейшая работа с данными, которая даст возможность разделить вклад каждой из компонент и сделать оценку их относительной величины. Для этого, необходимо обработать доступный массив данных (пока обработано только 2% данных) и дополнить модель описанием переменного флэринга магнитопаузы и моделью поля в переходном слое. Среднеквадратичное отклонение теории от эксперимента меняется от 6.67 нТл для рекордного по точности 34-го витка, до 14.65 нТл для самого “плохого” 44-го витка. При этом при усреднении по всему массиву получаем невязку 9.49 нТл.
Рис. 3. Рассчитанные параметры параболоидной модели магнитосферы Меркурия с 28-го по 44-й витки КА MESSENGER. По оси абсцисс указан номер витка, по оси ординат – величины расстояния до подсолнечной точки , расстояния до хвоста магнитопаузы , смещения токового слоя хвоста относительно магнитной экваториальной плоскости , величины модуля магнитного поля на переднем краю токового слоя хвоста , границы полярной шапки и невязки .
Сравнение с моделью KT17
На настоящий момент существуют еще две эмпирические модели магнитосферы Меркурия, основанные на подходе к моделированию магнитосферы Земли с использованием большого массива данных (Tsyganenko, 2013), KT14 (Korth и др., 2015) и KT17 (Korth и др., 2017). Модель KT14 представляет собой среднюю модель магнитосферы Меркурия с внутренним дипольным магнитным полем ( ), сдвинутым относительно центра планеты на 479 км и внешним магнитосферным магнитным полем, создаваемым токами на магнитопаузе и в токовом слое хвоста магнитосферы. Для построения модели использовались данные, полученные внутри магнитосферы (определяемой интервалами между самыми внутренними пересечениями магнитопаузы из работы (Winslow и др., 2013) в период с 24 марта 2011 г. по 28 ноября 2012 г. (7 меркурианских лет). Динамическая модель KT17 (Korth и др., 2017) стала развитием модели KT14; в ней используются та же структура и математическая основа, однако постоянные значения расстояния до подсолнечной точки магнитопаузы и параметров силы тока в хвосте магнитосферы в модели КТ14 были заменены линейными зависимостями от индекса магнитной возмущенности (Anderson и др., 2013). Все остальные параметры модели остались идентичными модели KT14 (Korth и др., 2015).
Модели КТ14 и KT17 отличаются более сложной структурой магнитосферных токовых систем с большим числом свободных параметров, определяющих эти токи, чем в параболоидной модели. Однако некоторые из этих параметров нельзя сопоставить с конкретно наблюдаемыми физическими величинами и можно сравнивать только друг с другом. Распределение тока в этих моделях описывается диском в ближней к планете части хвоста магнитосферы и слоем в дальней части хвоста. Эти геометрические аппроксимации были введены для того, чтобы избежать нефизически резкого внутреннего края токового слоя, который присутствует в параболоидной модели. Итоговое магнитное поле токового слоя хвоста является суммой вкладов от диска и от слоя . В соответствии с моделью Johnson и др. (2012) авторы установили расстояние до внутреннего края токового слоя равным . Номинальная полутолщина токового слоя хвоста также была взята из работы (Johnson и др., 2012). Эмпирическое определение формы магнитопаузы Меркурия (Winslow и др., 2013) показало, что средняя наблюдаемая форма отличается от параболоида вращения, особенно в ночной стороне магнитосферы, и лучше представляется функциональной формой, предложенной Shue и др. (1997) для земной магнитосферы. Различия в форме магнитопаузы приводят к различиям между наблюдаемыми полями и предсказаниями модели в регионах вблизи дневной магнитопаузы и в высоких северных широтах. Поэтому для модели магнитопаузы в моделях KT14 и KT17 была использована форма Shue и др. (1997) с наилучшими параметрами фитирования для стационарной модели KT14, равными и .
В результате сравнения с усредненной параболоидной моделью Johnson и др. (2012) и Korth и др. (2015) сделали вывод, что невязки вблизи дневной магнитопаузы для модели KT14 больше, чем у параболоидной модели магнитосферы; для ночной стороны невязки для моделей КТ14 и параболоидной аналогичны. Большие невязки по обнаружены как для восходящей, так и для нисходящей частей орбит и простираются примерно от N до северного полюса, вероятнее всего, связаны с продольными токами Биркеланда (Anderson и др., 2014). Величины невязок больше на нисходящей части орбиты, чем на восходящей, что согласуется с возрастанием продольных токов на более низких высотах, где сходятся магнитные силовые линии. Распределение невязок для модели KT14 аналогичны для полученных в параболоидной модели, хотя возмущения относительно последней модели немного меньше (Korth и др., 2015). Для модели KT17, несмотря на улучшения параметризации внешнего поля, невязка между наблюдаемым и моделированным магнитным полем внутри магнитосферы лишь немного улучшилась по сравнению со статической моделью KT14. Однако пространственные распределения невязок компонент магнитного поля показывают значительное улучшение точности модели вблизи магнитопаузы, во всех остальных частях невязки аналогичны по величине статической модели Korth и др. (2017). В итоге для KT14 была получена средняя невязка, равная = 24.8 нТл. Итоговая невязка модели KT17, рассчитанная для полного набора данных КА MESSENGER, составляет 25.3 нТл, что слегка выше из-за более высокой активности в магнитосфере Меркурия в неучтенных для KT14 витках.
Мы сравнили результаты с результатами моделирования по модели KT17 (\url{https://pds-ppi.igpp.ucla.edu/search/view/?f=yes&id=pds://PPI/mess-mag-kt17-model-residuals/data-sci-mso}). Невязка для спокойных внутримагнитосферных участков моделирования рассчитывалась по формуле:
где N – число точек данных, – значения компонент измеренного вектора магнитного поля, – значения компонент модельного вектора магнитного поля.
На рис. 4, 5, 6 показаны экспериментальные данные и модельные результаты, полученные после определения оптимальных параметров, для трех компонент и суммарного вектора магнитного поля. Показаны как результаты обработки при помощи параболоидной модели, так и результаты KT17.
На рис. 4 видно, почему для нахождения оптимальных параметров токовых систем нами выбиралась лишь гладкая часть внутримагнитосферного участка (границы красной кривой на рисунке), определяемого точками пересечений магнитопаузы, отобранным вручную по данным магнитометра (Winslow и др., 2013; Philpott и др., 2020). Ввиду очень сильных высокочастотных вариаций, присутствующих вблизи магнитопаузы планеты с величиной до 50 нТл (более 10% от максимума в перигермии), данные участки могут внести в итоговый результат моделирования большую неточность и связаны с процессами, не учитываемыми моделью. На рассматриваемых нами участках невязка также значительно меньше для модели KT17, поэтому мы пересчитали значения и для нее. В итоге для данного витка невязка для модуля магнитного поля для параболоидной модели составляет 14.5 нТл, а для модели KT17 – 23.8 нТл, т.е. результаты фитирования параболоидной моделью почти в два раза лучше.
Риc. 4. Сравнение экспериментально измеренного (черный), рассчитанного по параболоидной модели (красный) и по модели KT17 (синий) магнитного поля для 43-го витка КА MESSENGER. Верхний ряд – x-компонента магнитного поля (слева), y-компонента (справа); нижний ряд – z-компонента (слева), модуль магнитного поля (справа).
На некоторых витках результаты фитирования параболоидной моделью и KT17 довольно близки. Для витка 37 (рис. 5) невязка для параболоидной модели составляет 12.27 нТл, а для KT17 – 14.95 нТл. Это связано, в том числе с тем, что, как видно из рисунка, параболоидная модель плохо отработала в области пересечения космическим аппаратом токового слоя хвоста магнитосферы, в то время как модель KT17 близка к описанию уменьшения поля в районе хвоста.
Рис. 5. Сравнение экспериментально измеренного (черный), рассчитанного по параболоидной модели (красный) и по модели KT17 (синий) магнитного поля для 37-го витка КА MESSENGER. Верхний ряд – x-компонента магнитного поля (слева), y-компонента (справа); нижний ряд – z-компонента (слева), модуль магнитного поля (справа).
В компоненте наблюдаются некоторые расхождения экспериментальных и модельных данных после прохождения КА наибольшего приближения к планете. Это расхождение возникает из-за отсутствия в параболоидной модели компоненты магнитного поля, возникающей из-за продольных токов.
Среди обработанных витков есть витки, где результаты обработки параболоидной моделью гораздо лучше, чем для модели KT17. На рис. 6 приведены измерения для 30-го витка КА MESSENGER. Невязка для параболоидной модели для этого витка составляет 9.97 нТл, а для KT17 – 24.85 нТл, что почти в три раза хуже, чем для параболоидной модели.
Рис. 6. Сравнение экспериментально измеренного (черный), рассчитанного по параболоидной модели (красный) и по модели KT17 (синий) магнитного поля для 30-го витка КА MESSENGER. Верхний ряд – x-компонента магнитного поля (слева), y-компонента (справа); нижний ряд – z-компонента (слева), модуль магнитного поля (справа).
Обсуждение
Результаты фитирования наблюдений КА MESSENGER параболоидной моделью магнитосферы говорят о том, что во время каждого из пролетов магнитосфера Меркурия каждый раз находилась в новом состоянии. Эти состояния соответствуют различным расстояниям до подсолнечной точки, различным расстояниям до внутреннего края токового слоя хвоста магнитосферы, различным магнитным потокам долей хвоста и размерам полярной шапки, различным вертикальным смещениям плоскости токового слоя хвоста магнитосферы и различным величинам проникновения ММП.
Ключевым параметром параболоидной модели является расстояние до подсолнечной точки магнитопаузы . После фитирования данных была получена средняя его величина, которая составила что хорошо согласуется с предыдущими результатами в (Philpott и др., 2020). Параметры не сильно отличаются друг от друга для различных орбит, что говорит о достоверности полученных результатов. Это позволяет надеяться, что предложенный метод сделает возможным выделить временную динамику магнитосферы и ограничить число реальных параметров, описывающих эту динамику. Также необходимо иметь ограничения на значения параметров.
Результаты говорят о том, что расстояние до подсолнечной точки магнитопаузы уменьшается с увеличением невязки, что и ожидается в случае, когда увеличенная возмущенность магнитосферы связана с возросшим динамическим давлением солнечного ветра. Также результаты согласуются с гипотезой о том, что повышенная магнитная активность приводит к увеличенным скоростям пересоединения, более сильной циркуляции магнитного потока и, в конечном счете, к возрастанию силы тока поперек хвоста магнитосферы.
Динамическая модель KT17 (Korth и др., 2017) дает невязку того же порядка, что и для земной магнитосферы – около 20 нТл. Несколько лучшие результаты получаются при сопоставлении данных MESSENGER со средней параболоидной моделью магнитосферы Меркурия (Johnson и др., 2012). Примерно вдвое меньшее среднеквадратичное отклонение измеренного поля от модельного дает параболоидная модель, параметры которой подобраны для каждого отдельного витка при нахождении минимума по методу максимального правдоподобия (Alexeev и др., 2010; Sitnik и др., 2020).
Дальнейшее понимание магнитосферы Меркурия зависит от точного описания известных токов в хвосте и магнитопаузе, которые настолько свободны от разрывов и математических артефактов, насколько это возможно, чтобы обеспечить надежное определение дополнительных внешних источников тока. Таким образом, существует необходимость в другом формализме, который мог бы учитывать наблюдаемую форму магнитопаузы и включать дополнительные внешние токовые системы.
Выводы
Наша оценка внутримагнитосферного поля Меркурия дает наименьшее стандартное отклонение между предсказаниями модели и данными MESSENGER, составляющее 9.5 нТл, по сравнению с 19.1 нТл для такого же внутримагнитосферного участка для модели KT17 (Korth и др., 2017).
Такой уровень согласия между моделью и экспериментальными данными возможен только в условиях, когда параметры магнитосферных токовых систем были определены отдельно для каждого пролета. Для каждого оборота были независимо определены магнитосферное расстояние, расстояние от центра планеты до внутреннего края токового слоя хвоста, магнитный поток в долях хвоста магнитосферы и смещение токового слоя хвоста относительно плоскости солнечно-магнитосферной экваториальной плоскости Меркурия.
Наша модель основана на априорном предположении, что положение, ориентация и величина дипольного момента не изменяются во времени. Солнечно-магнитосферные координаты на Меркурии определяются параметрами диполя (ориентация и сдвиг диполя). В результате, вклад магнитосферных токов в суммарное магнитосферное поле зависит в том числе от параметров диполя. Нами было получено хорошее согласие путем применения процедуры, в которой для каждой орбиты определялось состояние магнитосферы. Фитирование было в итоге проведено за несколько десятков шагов. В дальнейшем мы планируем рассчитать оптимальные параметры модели за все время работы спутника на орбите Меркурия – что составляет около 4000 витков в 2011–2015 г..
Также результаты расчетов по параболоидной модели могут использоваться в качестве затравочного поля для гибридной модели. В работе (Parunakian и др., 2017) этот метод был применен впервые в построении магнитосфер планет. Сравнение результатов расчетов по комбинированной модели с данными КА MESSENGER подтвердило хорошую точность модели. Комбинированная модель позволила получить самосогласованное магнитосферное магнитное поле и учесть наличие магнитосферной плазмы. Она позволила расширить возможности каждой из используемых моделей: полуэмпирической параболоидной модели и самосогласованной глобальной кинетической модели. Уточнение параметров параболоидной модели для каждого витка MESSENGER может улучшить точность работы таких гибридных моделей.
Проведенное исследования показывает, что предложенный метод делает возможным моделирование магнитосферы Меркурия. На основе измерений КА MESSENGER и, в будущем, КА BepiColombo возможно оценить параметры магнитосферных токовых систем и получить структуру магнитного поля в магнитосфере.
Работа выполнена при частичной финансовой поддержке гранта РФФИ 21-52-12025.
Конфликт интересов: Авторы заявляют, что у них нет конфликта интересов.
About the authors
А. С. Лаврухин
Научно-исследовательский институт ядерной физики им. Д.В. Скобельцына, Московский государственный университет им. М.В. Ломоносова
Author for correspondence.
Email: lavrukhin@physics.msu.ru
Russian Federation, Москва
И. И. Алексеев
Научно-исследовательский институт ядерной физики им. Д.В. Скобельцына, Московский государственный университет им. М.В. Ломоносова
Email: lavrukhin@physics.msu.ru
Russian Federation, Москва
Д. В. Невский
Научно-исследовательский институт ядерной физики им. Д.В. Скобельцына, Московский государственный университет им. М.В. Ломоносова; Московский государственный университет им. М.В. Ломоносова, Физический факультет
Email: lavrukhin@physics.msu.ru
Russian Federation, Москва; Москва
References
- Alexeev I.I., Belenkaya E.S., Bobrovnikov S.Y., Kalegaev V.V. Modelling of the electromagnetic field in the interplanetary space and in the Earth's magnetosphere // Space Sci. Rev. 2003. V. 107. P. 7–26.
- Alexeev I.I., Belenkaya E.S., Bobrovnikov S.Y., Slavin J.A., Sarantos M. Paraboloid model of Mercury's magnetosphere // J. Geophys. Res.: Space Physics. 2008. V. 113. № A12. P. 1-18.
- Alexeev I.I., Belenkaya E.S., Slavin J.A., Korth H., Anderson B.J., Baker D.N., Boardsen S.A., Johnson C.L., Purucker M.E., Sarantos M., Solomon S.C. Mercury’s magnetospheric magnetic field after the first two MESSENGER flybys // Icarus. 2010. V. 209. № 1. P. 23–39.
- Anderson B.J., Acuna M.H., Lohr D.A., Scheifele J., Raval A., Korth H., Slavin J.A. The Magnetometer Instrument on MESSENGER // The Messenger Mission to Mercury / Eds: Domingue D.L., Russell C.T. NY: Springer, 2007. 623 p.
- Anderson B.J., Johnson C.L., Korth H. A magnetic disturbance index for Mercury's magnetic field derived from MESSENGER magnetometer data // Geochem., Geophys., Geosyst. 2013. V. 14. № 9. P. 3875–3886.
- Anderson B.J., Johnson C.L., Korth H., Slavin J.A., Winslow R.M., Phillips R.J., McNutt R.L., Solomon S.C. Steady-state field-aligned currents at Mercury // Geophys. Res. Lett. 2014. V. 41. № 21. P. 7444–7452.
- Johnson C.L., Purucker M.E., Korth H., Anderson B.J., Winslow R.M., Al Asad M.M., Slavin J.A., Alexeev I.I., Phillips R.J., Zuber M.T., Solomon S.C. MESSENGER observations of Mercury's magnetic field structure // J. Geophys. Res.: Planets. 2012. V. 117. № E12. P.
- Johnson C.L., Philpott L.C., Anderson B.J., Korth H., Hauck S.A., Heyner D., Phillips R.J., Winslow R.M., Solomon S.C. MESSENGER observations of induced magnetic fields in Mercury's core // Geophys. Res. Lett. 2016. V. 43. № 6. P. 2436–2444.
- Korth H., Tsyganenko N.A., Johnson C.L., Philpott L.C., Anderson B.J., Al Asad M.M., Solomon S.C., McNutt R.L. Modular model for Mercury's magnetospheric magnetic field confined within the average observed magnetopause // J. Geophys. Res.: Space Physics. 2015. V. 120. № 6. P. 4503–4518.
- Korth H., Johnson C.L., Philpott L., Tsyganenko N.A., Anderson B.J. A dynamic model of Mercury's magnetospheric magnetic field // Geophys. Res. Lett. 2017. V. 44. № 20. P. 10147–10154.
- Parunakian D., Dyadechkin S., Alexeev I., Belenkaya E., Khodachenko M., Kallio E., Alho M. Simulation of Mercury's magnetosheath with a combined hybrid-paraboloid model // J. Geophys. Res.: Space Physics. 2017. V. 122. № 8. P. 8310–8326.
- Philpott L.C., Johnson C.L., Anderson B.J., Winslow R.M. The shape of Mercury's magnetopause: The picture from MESSENGER magnetometer observations and future prospects for BepiColombo // J. Geophys. Res.: Space Physics. 2020. V. 125. № 5. P.
- Shue J.-H., Chao J.K., Fu H.C., Russell C.T., Song P., Khurana K.K., Singer H.J. A new functional form to study the solar wind control of the magnetopause size and shape // J. Geophys. Res.: Space Physics. 1997. V. 102. № A5. P. 9497–9511.
- Sitnik I.M., Alexeev I.I., Selugin O.V. The final version of the FUMILIM minimization package // Computer Phys. Commun. 2020. V. 251. P. 1.
- Sitnik I.M., Alexeev I.I., Nevsky D.V. Debugging the FUMILIM minimization package // Computer Phys. Commun. 2024. V. 294. P. 1–2.
- Slavin J.A., Acuña M.H., Anderson B.J., Baker D.N., Benna M., Boardsen S.A., Gloeckler G., Gold R.E., Ho G.C., Korth H. and 8 co-authors. MESSENGER observations of magnetic reconnection in Mercury’s magnetosphere // Science. 2009. V. 324. № 5927. P. 606–610.
- Slavin J.A., Middleton H.R., Raines J.M., Jia X., Zhong J., Sun W.-J., Livi S., Imber S.M., Poh G.-K., Akhavan-Tafti M., and 5 co-authors. MESSENGER observations of disappearing dayside magnetosphere events at Mercury // J. Geophys. Res.: Space Physics. 2019. V. 124. № 8. P. 6613–6635.
- Tsyganenko N.A. Data-based modelling of the Earth's dynamic magnetosphere: a review // Ann. Geophys. 2013. V. 31. P. 1745–1772.
- Winslow R.M., Anderson B.J., Johnson C.L., Slavin J.A., Korth H., Purucker M.E., Baker D.N., Solomon S.C. Mercury's magnetopause and bow shock from MESSENGER Magnetometer observations // J. Geophys. Res.: Space Physics. 2013. V. 118. № 5. P. 2213–2227.
Supplementary files








