Новый морфологический каталог кратеров Меркурия
- Авторы: Феоктистова Е.А.1, Родионова Ж.Ф.1, Майкл Г.Г.2, Завьялов И.Ю.3, Козлова Н.А.3
-
Учреждения:
- Государственный астрономический институт им. П.К. Штернберга Московского государственного университета им. М.В. Ломоносова
- Center for Lunar and Planetary Sciences, CAS Institute of Geochemistry
- Московский государственный университет геодезии и картографии
- Выпуск: Том 59, № 1 (2025)
- Страницы: 27-38
- Раздел: Статьи
- URL: https://journal-vniispk.ru/0320-930X/article/view/289440
- DOI: https://doi.org/10.31857/S0320930X25010021
- EDN: https://elibrary.ru/LQGAXI
- ID: 289440
Цитировать
Аннотация
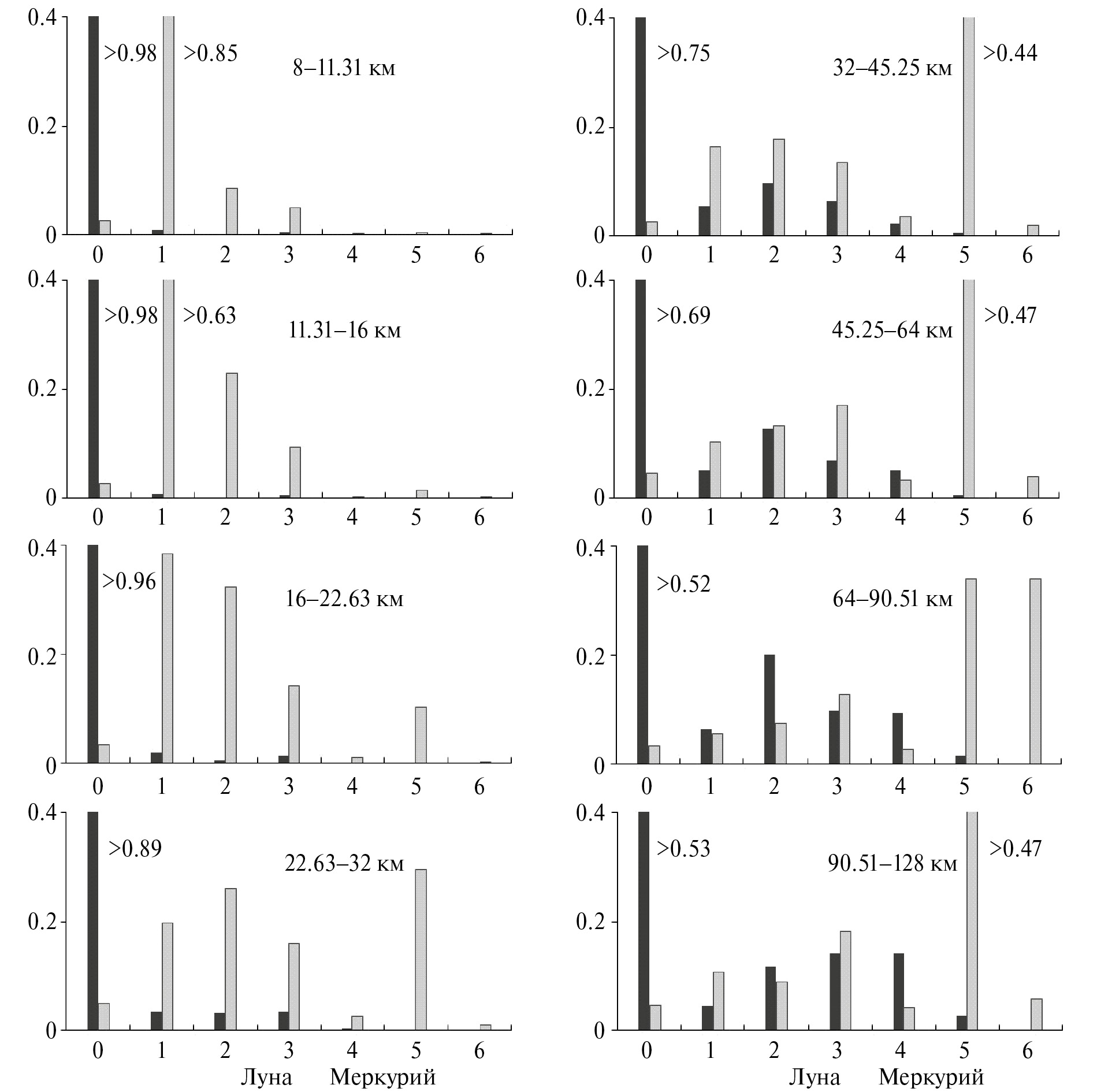
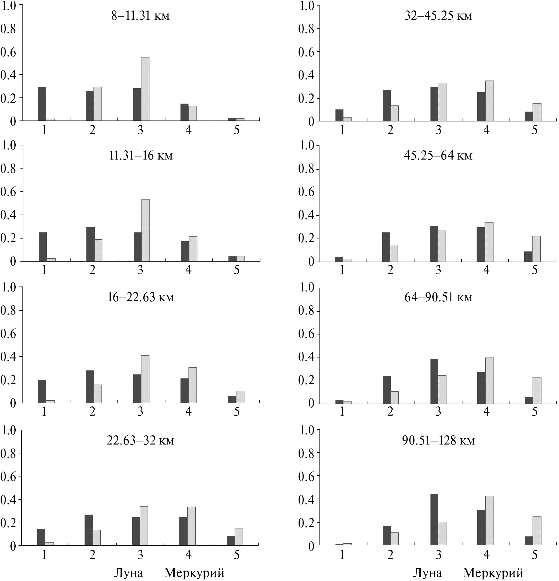
Новый Морфологический каталог кратеров Меркурия был создан в ГАИШ МГУ совместно с МИИГАиК по данным КА MESSENGER. Этот каталог включает информацию о координатах, диаметрах и морфологии 12365 кратеров с диаметрами ≥10 км. Для создания каталога использовались данные Каталога кратеров Меркурия, подготовленного в Университете Брауна (США) и глобальная мозаика изображений поверхности Меркурия по данным КА MESSENGER. Анализ нового Морфологического каталога показал, что большинство кратеров Меркурия диаметром ≥10 км имеют сглаженный или частично разрушенный гребень вала и плоское дно. В статье приведено подробное описание морфологических признаков кратеров Меркурия. В табл. 1 указано процентное отношение количества кратеров с теми или иными признаками на Меркурии и Луне. Оказалось, что хорошо сохранившихся кратеров на Луне значительно больше, чем на Меркурии. Большинство кратеров Меркурия имеют террасы и обрушения на внутренних склонах (65%, в отличие от 7% лунных кратеров). Подробно представлено соотношение кратеров разной степени сохранности вала, кратеров с террасами и обрушениями в зависимости от диаметров.
Ключевые слова
Полный текст
Об авторах
Е. А. Феоктистова
Государственный астрономический институт им. П.К. Штернберга Московского государственного университета им. М.В. Ломоносова
Автор, ответственный за переписку.
Email: Hrulis@yandex.ru
Россия, Москва
Ж. Ф. Родионова
Государственный астрономический институт им. П.К. Штернберга Московского государственного университета им. М.В. Ломоносова
Email: Hrulis@yandex.ru
Россия, Москва
Г. Г. Майкл
Center for Lunar and Planetary Sciences, CAS Institute of Geochemistry
Email: Hrulis@yandex.ru
Китай
И. Ю. Завьялов
Московский государственный университет геодезии и картографии
Email: Hrulis@yandex.ru
Россия, Москва
Н. А. Козлова
Московский государственный университет геодезии и картографии
Email: Hrulis@yandex.ru
Россия, Москва
Список литературы
- Липский Ю.Н., Родионова Ж.Ф., Скобелева Т.П., Дехтярева К.И., Казимиров Д.А., Ситников В.Д., Порошкова Г.А., Бубнова Н.В., Шуваева В.А. Каталоги кратеров Меркурия и Луны. М.: ЦСП ВГФ, 1977. 55 с.
- Родионова Ж.Ф., Карлов А.А., Скобелева Т.П., Конотопская Е.В., Шевченко В.В., Козубский К.Э., Дехтярева К.И., Смолякова Т.Ф., Тишик Л.И., Федорова Е.А. Морфологический каталог кратеров Луны. М.: Изд. МГУ, 1987. 173 с.
- Cintala M.J., Wood C.A., Head J.W. The effects of target characteristics on fresh crater morphology-Preliminary results for the Moon and Mercury // Proc. Lunar Sci. Conf. 8th, Houston, Tex., March 14–18. 1977. V.3. (A78-41551 18-91). New York: Pergamon Press, Inc., 1977. P. 3409–3425.
- Davies M.E. Atlas of Mercury // Prepared for the Office of Space Sciences, National Aeronautics and Space Administration. 1976. V. 423. 128 p.
- Fassett C.I., Kadish S.J., Head J.W., Solomon S.C., Strom R.G. The global population of large craters on Mercury and comparison with the Moon // Geophys. Res. Lett. 2011. V. 38. Id. L10202/ https://doi.org/10.1029/2011GL047294
- Fassett C.I., Crowley M.C., Leight C., Dyar M.D., Minton D.A., Hirabayashi M., Thomson B.J., Watters W.A. Evidence for rapid topographic evolution and crater degradation on Mercury from simple crater morphometry // Geophys. Res. Lett. 2017. V. 44. P. 5326–5335. https://doi.org/10.1002/2017GL073769
- Feoktistova E.A., Rodionova Zh.F., Zharkova A.Yu., Kokhanov A.A., Zavyalov I.Yu. Morphological and morphometric features of Mercurian craters // Abstract book of the twelfth Moscow Solar System Symposium. 12MS3-MN-PS-11. M.: Space Research Institute, 2021. P. 428–430.
- Hartmann W.K. Lunar crater counts. VI: The young craters Tycho, Aristarchus, and Copernicus // Comm. Lunar and Planet. Lab. 7. 1968. P. 145–156.
- Head III J.W., Cintala M.J., Mutch T.A. Craters on the Moon, Mars and Mercury: a comparison of depth/diameter characteristics // Proc. Lunar Sci. Conf. 7. 1976. P. 149–151.
- Herrick R.R., Curran L.L., Baer A.T. A Mariner/MESSENGER global catalogue of Mercurian craters // Icarus. 2011. V. 215 № 1. P. 452–454. https://doi.org/10.1016/j.icarus.2011.06.02
- Herrick R.R., Bateman E.M., Crumpacker W.G., Bates D. Observations from a global database of impact craters on Mercury with diameters greater than 5 km // J. Geophys. Res. 2018. V. 123. № 8. P. 2089–2109. https://doi.org/10.1029/2017JE005516
- Johnson C.L., Hauck S.A. A whole new Mercury: MESSENGER reveals a dynamic planet at the last frontier of the inner Solar System // J. Geophys. Res. 2016. V. 121. № 11. P. 2349–2362. https://doi.org/10.1002/2016JE005150
- Jozwiak L.M., Izenberg N.R., Olson C.L., Head J.W. Investigating the age of Mercury's pyroclastic deposits // Proc. Conf Mercury: Current and Future Science of the Innermost Planet. Columbia, Maryland 1–3 May 2018. LPI Contribution № 2047.
- Kalynn J., Johnson C.L., Osinski G.R., Barnouin O. Topographic characterization of lunar complex craters // Geophys. Res. Lett. 2013. V. 40. № 1. P. 38–42. https://doi.org/10.1029/2012GL053608
- Kneissl T., van Gasselt S., Neukum G. Map-projection-independent crater size-frequency determination in GIS environments – New software tool for ArcGIS // Planet. and Space Sci. 2011. V. 59. № 11. P. 1243–1254. https://doi.org/10.1016/j.pss.2010.03.015
- Kozlova E.A., Sitnikov B.D., Rodionova J.F., Shevchenko. V.V. Analysis of Mercurian craters by means of cartographic method // Proc. 22d Int. Cartograph. Conf. (ICC). A Coruña Spain 9–16 July 2005 “Mapping Approaches into a Changing World”. 2005. P. 9–16.
- Leake M.A. The intercrater plains of Mercury and the Moon: Their nature, origin, and role in terrestrial planet evolution // Advances in Planetary Geology. 1982. P. 477–488.
- Oberbeck V.R., Quaide W.L., Arvidson R.E., Aggarwal H.R. Comparative studies of lunar, Martian, and Mercurian craters and plains // J. Geophys. Res. 1977. V. 82. № 11. P. 1681–1698.
- Pike R.J. Geomorhology of impact craters on Mercury // Mercury / Eds: Vilas F., Chapman C.R., Matthews M.S. Tucson: Univ. Arizona Press, 1988. P. 165–273.
- Rodionova J.F., Dekchtyareva K.I., Khramchikhin A.A., Michael G.G., Ajukov S.V., Pugacheva S.G., Shevchenko V.V. Morphological catalogue of the craters of Mars / Eds: Shevchenko V.V., Chicarro A.F. Noordwijk: ESA/ESTEC, 2000. 158 p.
- Sitnikov B.D., Kozlova E.A., Rodionova J.F. A treatment of data bank of Morphological catalogue of Mercurian craters // Abstracts Brown University – Vernadsky Institute. 2004. V. 40. P. 78–79.
- Strom R.G., Banks M.E., Chapman C.R., Fassett C.I., Forde J.A., Head III J.W., Solomon S.C. Mercury crater statistics from MESSENGER flybys: Implications for stratigraphy and resurfacing history // Planet. and Space Sci. 2011. V. 59(15). P. 1960–1967. https://doi.org/10.1016/j.pss.2011.03.018
- Wood C.A., Head J.W., Cintala M.J. Crater degradation on Mercury and the moon-clues to surface evolution // Proc. (A78-41551 18-91) Lunar Sci. Conf. 8th, Houston, Tex., March 14–18, 1977. New York: Pergamon Press, Inc., 1977. V. 3. P. 3503–3520.
- http://selena.sai.msu.ru/Kozl/Publications/Mercury/Hermes.xls
- https://astrogeology.usgs.gov/search/map/Mercury/Messenger/Global/Mercury_MESSENGER_MDIS_Basemap_LOI_Mosaic_Global_166m
- http://messenger.jhuapl.edu/the_mission/mosaics.html
- https://messenger.jhuapl.edu/Explore/Images.html#of-mercury
- https://sci.esa.int/web/bepicolombo/
Дополнительные файлы













