Об оценке возмущений во вращательной динамике малых астероидов при сближении с Землей
- Authors: Лобанова К.С.1,2, Мельников А.В.1
-
Affiliations:
- Главная (Пулковская) астрономическая обсерватория РАН
- Санкт-Петербургский государственный университет
- Issue: Vol 59, No 1 (2025)
- Pages: 57-72
- Section: Articles
- URL: https://journal-vniispk.ru/0320-930X/article/view/289448
- DOI: https://doi.org/10.31857/S0320930X25010058
- EDN: https://elibrary.ru/LPTOWU
- ID: 289448
Cite item
Abstract
Путем численных экспериментов изучено влияние скорости собственного вращения, ориентации оси вращения и параметров фигуры астероида на величину возмущений в его вращательной динамике, возникающих при тесном сближении с Землей. Рассмотрена динамика трех астероидов: (99942) Апофис, (367943) Дуэнде и 2012 TC4. Установлено, что для астероидов с относительно медленным вращением (период P > 5 ч) характерны существенные возмущения: в случае Апофиса (P ≈ 30 ч) при сближении с Землей в 2029 г. изменения периода вращения могут достигать десятков часов, а отклонения в ориентации оси вращения – десяти градусов. В случае Дуэнде (P ≈ 8 ч) при сближении с Землей в 2013 г. изменение P не превышало нескольких часов, отклонения в ориентации оси вращения могли составить десятки градусов. Для астероидов с быстрым вращением (P < 1 ч) возмущения пренебрежимо малы: в случае астероида 2012 TC4 (P ≈ 12 мин.) при его сближении с Землей в 2017 г. изменения P не превышали 10–5 мин., отклонения оси вращения составляли менее 0.01°. Показано, что для астероидов с медленным вращением погрешности в определении параметров фигуры астероида могут приводить к заметным неточностям в оценке величин возмущений. Напротив, неопределенность знания фигуры астероида с быстрым вращением не влияет на оценку возмущений в его вращательной динамике. В случае Апофиса, возмущения во вращательном движении в ходе предстоящего в 2029 г. сближения с Землей могут привести к уменьшению величины параметра A2, характеризующего эффект Ярковского, до –2.4×10–14 а. е./сут.2 или к увеличению до –3.2×10–14 а. е./сут.2. Возмущения во вращательной динамике Дуэнде при сближении с Землей в 2013 г. и астероида 2012 TC4 при сближении с Землей в 2017 г. не оказали заметного влияния на их значения A2.
Full Text
ВВЕДЕНИЕ
В настоящей работе мы исследовали зависимость величин возмущений, возникающих во вращательной динамике астероидов при тесных сближениях с Землей, от скорости вращения, ориентации оси вращения и параметров, характеризующих фигуру астероида. Как показали различные исследования (см., например, Scheeres и др., 2000; 2004; Boldrin и др., 2020; Мельников, 2022), тесное сближение с планетой может существенным образом повлиять на вращательную динамику астероида.
Эмпирическая зависимость скорости собственного вращения астероида от его размера (среднего диаметра D), представленная, например, в (Hestroffer и др., 2019; Hu и др., 2021; Fenucci и др., 2024), показывает, что с уменьшением размера наблюдается увеличение скорости. Периоды вращения P астероидов с D < 100 м обычно имеют значения от нескольких часов до единиц–десятков минут. Минутные периоды обнаруживаются у астероидов с D ~ 10 м, вероятно, представляющих собой монолитные тела. Астероидам размером в сотни метров присуще вращение с P > 5 ч. Поскольку бóльшая часть астероидов, сближающихся с Землей, (АСЗ) представляет собой тела малых размеров, важно детально исследовать то, как сближение влияет на их вращательную динамику. Одной из целей настоящей работы было выявление отличий во влиянии сближения с Землей на вращательную динамику медленно вращающихся астероидов (D = 100–1000 м, P = 5–100 ч) и весьма малых астероидов с быстрым вращением (D ~ 10 м, P < 1 ч). Кроме того, для большинства астероидов имеется лишь оценка D, в то время как на величину возмущений, возникающих при сближении с Землей, существенным образом влияет фигура астероида (определяющая моменты инерции), которая обычно неизвестна. Еще одна цель работы заключалась в изучении влияния неопределенности знания фигуры астероида на оценки возмущений во вращательной динамике астероида, получаемых при численном моделировании его тесного сближения с Землей.
Негравитационные эффекты: давление солнечного излучения, эффект Ярковского (ЭЯ) и YORP-эффект (Yarkovsky–O’Keefe–Radzievskii–Paddack) играют заметную роль в долговременной динамике малых астероидов. Особенно важен учет этих эффектов при изучении динамики АСЗ. В частности, как показало изучение динамики астероида (99942) Апофис, вековое изменение его орбиты, вызванное действием ЭЯ, может увеличить риск катастрофического столкновения с Землей (Chesley, 2006; Giorgini и др., 2008; Соколов и др., 2012; Шор и др., 2012; Farnocchia и др., 2013a; 2013b). С уменьшением размера астероида значимость негравитационных эффектов возрастает. Влияние сближений с планетами для ряда астероидов (в том числе и с D < 100 м) на их вращательную динамику и величину ЭЯ было рассмотрено нами ранее в (Мельников, 2022; Мартюшева, Мельников, 2023). Было показано, что тесные сближения малых астероидов с планетами и возникающие возмущения во вращательном движении астероидов могут привести к изменению величины ЭЯ для них почти в два раза. Поэтому важно оценивать влияние возмущений во вращательной динамике астероида на величину ЭЯ.
Работа имеет следующую структуру. В первом разделе даны постановка задачи и краткая характеристика исследуемых астероидов. Второй раздел содержит краткое описание теории ЭЯ и определение одного из характеризующих его параметров A2. На основе изложенной методики определения ЭЯ и известных из анализа астрометрических наблюдений величин A2 уточнены параметры вращения ряда изучаемых астероидов. В третьем разделе описаны результаты численных экспериментов по моделированию тесных сближений астероидов с Землей. В четвертом разделе изучено влияние неопределенности знания фигуры астероида на оценку возмущений, возникающих при сближениях с Землей. В пятом разделе рассмотрено влияние возмущений на величину A2. В конце работы приведены основные результаты.
ПОСТАНОВКА ЗАДАЧИ И ПАРАМЕТРЫ ИССЛЕДУЕМЫХ АСТЕРОИДОВ
Мы рассмотрели и сопоставили вращательную динамику трех АСЗ в ходе тесного сближения с Землей: относительно крупного (D ≈ 340 м) астероида (99942) Апофис с медленным вращением (P ≈ 30 ч), весьма малого (D ~ 10 м) астероида 2012 TC4, обладающего быстрым вращением (P ≈ 12 мин.), и астероида (367943) Дуэнде (P ≈ 8 ч, D ≈ 30 м), представляющего собой промежуточный случай. Для Апофиса проводилось моделирование его сближения с Землей, предстоящее в 2029 г., для Дуэнде – сближения, имевшего место в 2013 г., а для 2012 TC4 рассматривалось сближение, произошедшее в 2017 г.
Потенциально опасный с точки зрения столкновения с Землей астероид Апофис (см. подробности, например, в Chesley, 2006; Giorgini и др., 2008; Соколов и др., 2008; 2012; Шор и др., 2012; Farnocchia и др., 2013b) был обнаружен 19 июня 2004 г. В 2029 г. произойдет очередное тесное сближение Апофиса с Землей на расстояние около 38000 км от геоцентра, что должно вызвать значительные возмущения в движении астероида. Вращательная динамика Апофиса ранее рассматривалась различными исследователями (Scheeres и др., 2005; Pravec и др., 2014; Souchay и др., 2014; 2018; Benson и др., 2023). В наших предыдущих работах (Лобанова, Мельников, 2023; Lobanova, Melnikov, 2024) путем численного моделирования изучались возмущения, которые будут иметь место во вращательном движении Апофиса при сближении с Землей в 2029 г. Было установлено, что период вращения Апофиса и ориентация оси вращения могут претерпеть существенные изменения, которые, в свою очередь, приведут к изменению величины ЭЯ.
Вращательная динамика астероида Дуэнде при его тесном (расстояние около 27700 км) сближении с Землей в 2013 г. рассматривалась в работах (Devyatkin и др., 2016; Benson и др., 2020; Moskovitz и др., 2020; Мельников, 2022). Анализ имеющихся наблюдений показал, что скорость вращения Дуэнде из-за возмущений, вызванных сближением, могла измениться почти на 10%. Отметим, что вращательное состояние Дуэнде до момента сближения неизвестно. Результаты численного моделирования (Benson и др., 2020; Мельников, 2022) указывают, что возмущения в величине периода вращения Дуэнде могли достигать 30%.
Динамика астероида 2012 TC4 при его сближениях с Землей, имевших место в 2012 (расстояние около 95000 км) и 2017 (расстояние около 50000 км) годах, детально изучалась в работе (Lee и др., 2021). Посредством анализа и моделирования кривых блеска было установлено, что периоды вращения астероида в 2012 и 2017 гг. заметно отличались. В качестве одного из возможных объяснений в (Lee и др., 2021) было выдвинуто предположение о действии YORP-эффекта.
В наших предыдущих работах (Лобанова, Мельников, 2023; Lobanova, Melnikov, 2024), посвященных исследованию динамики Апофиса, для проведения численных экспериментов по моделированию вращательной динамики астероида был разработан программный комплекс на основе интегратора DOP853, реализующего явный метод Рунге–Кутты 8-го порядка. Концепция и возможности интегратора подробно описаны в (Hairer и др., 1993). Использовались следующие предположения: астероид представляет собой твердое тело, его фигура аппроксимируется трехосным эллипсоидом. Земля рассматривалась как гравитирующая точка. В начальный момент времени задавалось вращение астероида вокруг одной оси, совпадающей с осью максимального момента инерции. Ориентация оси вращения относительно нормали к плоскости орбиты определялась углом γ, принимающим значения от 0° до 180°. Посредством численного интегрирования уравнений движения (см. детали в (Lobanova, Melnikov, 2024)) исследовалась эволюция величины периода собственного вращения астероида P и угла γ.
Динамика астероида рассматривалась на участке его орбиты, ограниченном геоцентрической сферой радиусом 100 RE. Выбранный размер области, в которой исследуется динамика астероида, типичен для рассматриваемой задачи (см., например, Araujo, Winter, 2014; Richardson и др., 1998; Boldrin и др., 2020; Мельников, 2022). Проведенный в (Lobanova, Melnikov, 2024) анализ орбитальной динамики Апофиса показал, что его движение в окрестности точки сближения с Землей можно аппроксимировать невозмущенной гиперболической геоцентрической орбитой. В работе (Lobanova, Melnikov, 2024) дана методика построения такой орбиты на основе эфемерид NASA JPL (https://ssd.jpl.nasa.gov/horizons/). Для Дуэнде и 2012 TC4 можно построить орбиты такого же рода, причем параметры геоцентрических орбит для всех исследуемых астероидов в рассматриваемых событиях имеют близкие значения. Существенно отличаются лишь параметры, характеризующие вращение АСЗ и их фигуры.
Принятые при моделировании параметры орбит, инерционные параметры астероидов и параметры вращения, определенные на основе анализа наблюдений, указаны в табл. 1, а именно: величина эксцентриситета e и минимальное расстояние сближения d = a (e – 1) (перицентрическое расстояние), выраженное в средних радиусах Земли, RE = 6371 км; отношения главных центральных моментов инерции A/C и B/C (A < B < C); период вращения астероида P и угол γ между нормалью к плоскости орбиты и осью вращения. Отметим, что в случае Апофиса указанные в табл. 1 параметры орбиты отличаются от приведенных в (Lobanova, Melnikov, 2024), поскольку в настоящей работе мы использовали обновленные данные эфемериды NASA JPL.
Таблица 1. Принятые при моделировании орбитальные и физические параметры исследуемых астероидов
Астероид | d/RE | e | A/C | B/C | P, ч | γ, град |
(99942) Апофис | 5.96 | 4.26 | 0.73 | 0.95 | 30.60 | 140 |
(367943) Дуэнде | 5.34 | 4.22 | 0.25 | 0.85 | 8.72 | 27 (160) |
2012 TC4 | 7.86 | 6.36 | 0.42 | 0.81 | 0.20 | 105 (160) |
Примечание: данные о величинах моментов инерции, периоде вращения и наклоне оси вращения Апофиса взяты из (Pravec и др., 2014), Дуэнде – из (Benson и др., 2020), астероида 2012 TC4 – из (Lee и др., 2021). Значения d и e получены на основе эфемерид NASA JPL (https://ssd.jpl.nasa.gov/horizons/).
Ориентация вектора углового момента вращения астероида обычно определена с большой погрешностью. Поэтому задание реальной величины угла γ может быть затруднено. При проведении численных экспериментов и анализе их результатов в случае астероидов 2012 TC4 и Дуэнде мы рассматривали два возможных значения γ, а для Апофиса – одну величину γ. Далее будет дано объяснение такому подходу. Отметим, что угол γ можно оценить на основе величины ЭЯ, если она известна из анализа астрометрических наблюдений астероида. В связи с этим мы приводим далее теорию ЭЯ, необходимую для определения γ. Эта теория необходима и для последующей оценки влияния возмущений во вращательной динамике астероида на величину ЭЯ после сближения с Землей.
ЭФФЕКТ ЯРКОВСКОГО И ПАРАМЕТР A2
Эффект Ярковского (Ярковский, 1901; Радзиевский, 1952; Rubincam, 1995; 1998; 2000; Farinella и др., 1998; Vokrouhlický, 1999; Vokrouhlický и др., 2000; 2015a) играет существенную роль в вековой орбитальной динамике малых астероидов. Суть ЭЯ состоит в возникновении негравитационного ускорения в орбитальном движении, вызываемого анизотропным переизлучением солнечной радиации поверхностью вращающегося астероида. Одно из проявлений действия ЭЯ – вековое изменение большой полуоси астероида и соответствующее изменение величины среднего движения астероида. Далее на основе работы (Farinella и др., 1998) приведем краткую теорию, которую мы использовали для оценки величины ЭЯ.
Для вычисления скорости изменения величины большой полуоси астероида под влиянием ЭЯ необходимо знать касательную компоненту возмущающей силы fY. В предположении о близости орбиты к круговой формула для средней скорости будет иметь вид
(1)
где n – среднее движение астероида. Суммарная величина ЭЯ складывается из суточной и сезонной компонент. Рассмотрим, как вычисляется fY для сезонного и суточного ЭЯ. В обоих случаях мы будем иметь дело с выражением вида (Burns и др., 1979)
(2)
где ρ – плотность астероида, R – радиус однородного шара с объемом, равным объему астероида, ε – излучательная способность поверхности астероида, σ – постоянная Стефана–Больцмана, c – скорость света, ΔTν – разность температур между наиболее и наименее нагретой частями поверхности астероида, f (γ) – некоторая функция угла γ между осью вращения астероида и перпендикуляром к плоскости его орбиты, T – средняя температура астероида, вычисляемая по формуле T = (αS/(4εσ))1/4, где α – коэффициент поглощения на поверхности астероида, S = 1370 Вт/м2 (aE/a)2 – поток солнечной энергии для астероида с большой полуосью a, aE – большая полуось земной орбиты.
Суточный эффект Ярковского
Следуя (Peterson, 1976), в работе (Farinella и др., 1998) положено f (γ) = cosγ и дана следующая формула для температурного множителя:
(3)
где параметр
(4)
характеризует отношение времени температурной релаксации к рассматриваемому периоду времени (в случае суточного ЭЯ берется период вращения астероида P); C – удельная теплоемкость астероида, K – коэффициент теплопроводности, ω = 2π/P – частота вращения астероида. Таким образом, суточный ЭЯ будет приводить к da/dt > 0 для наклонов оси вращения 0° < γ < 90° (проградное движение: направления вращения и орбитального движения астероида совпадают) и da/dt < 0 для 90° < γ < 180° (ретроградное движение). Отметим, что для значений параметра Θω >> 1 (малых значений P) справедливо соотношение
и возмущающая сила стремится к нулю.
Сезонный эффект Ярковского
Согласно (Rubincam, 1995), f (γ) = –sin2γ и для сезонного эффекта da/dt ≤ 0 при любом значении γ. Температурный множитель в работе (Farinella и др., 1998) выведен на основе работ (Rubincam, 1987; 1998; Afonso и др., 1995). Он имеет вид
(5)
где τ = π ls Θn / (2 R), параметр Θn вычисляется по формуле (4) с заменой частоты ω на среднее движение астероида n, а величина представляет собой характерную глубину проникновения тепловой волны. Множитель An sin δn, где An – амплитуда, δn – фаза гармоники, соответствующей частоте ν = n из разложения в ряд Фурье решения уравнения теплопроводности, находится по формуле
где .
Суммарная величина ЭЯ вычисляется по формуле
(6)
где fY(d) и fY(s) определяются при помощи уравнения (2) с учетом выражений (3) и (5) для температурного множителя в случаях суточного и сезонного ЭЯ соответственно.
Параметр A2
Величину ускорения, вызванного действием ЭЯ, для астероидов часто приводят в обозначениях из работы (Marsden и др., 1973), а именно: указывают трансверсальную компоненту ускорения A2, поскольку ее удается оценить на основе анализа ряда астрометрических измерений (наземных, космических и радарных) в рамках процедуры улучшения орбиты. Далее перейдем от величины da/dt к параметру A2 в соответствии с формулой (Farnocchia и др., 2013a):
(7)
где g(r) – некоторая функция гелиоцентрического расстояния r. В работе (Farnocchia и др., 2013a) полагают g(r) = (r0/r)d, где r0 = 1 а. е. – нормализующий параметр, а значение показателя d для большинства АСЗ заключено в пределах от 2 до 3 и слабо влияет на величину da/dt. Обычно (см., например, Farnocchia и др., 2013b) принимают d = 2. Мы поступим так же. В случае круговой орбиты формула (7) принимает вид
а с учетом (1) получаем
(8)
Заметим, что параметр A2 является функцией физических параметров астероида (см. подробнее (Farnocchia и др., 2013b)) и не зависит от степени эксцентричности орбиты. Значение A2 для астероида, если оно определено, обычно приводится на сайте NASA JPL. Далее на основе известных величин A2 для исследуемых нами астероидов попытаемся оценить значение γ. Затем, после оценки величин возмущений во вращательной динамике астероидов при их тесных сближениях с Землей, рассмотрим влияние возмущений на A2.
Ориентация оси вращения исследуемых астероидов
Для Апофиса на основе радарных (Brozović и др., 2018) и фотометрических (Pravec и др., 2014) наблюдений были получены оценки ориентации вектора углового момента вращения в эклиптических координатах на эпоху J2000. На основе оценок долготы λ и широты β нами был рассчитан угол наклона γ оси вращения Апофиса относительно нормали к плоскости его орбиты. Результаты приведены в табл. 2. В случае астероида 2012 TC4 в работе (Lee и др., 2021) на основе фотометрических наблюдений установлено: λ = 103° и β = –88.5°, что, согласно нашим расчетам, соответствует γ = 160°.
Таблица 2. Оценка угла наклона оси вращения γ астероида Апофис относительно нормали к плоскости его орбиты по результатам наблюдений (Brozovic и др., 2018; Pravec и др., 2014)
Наблюдения | λ, град | β, град | γ, град |
фотометрические | 250 | –75 | 148 |
радарные | 247 | –9 | 132 |
Значение γ можно также оценить на основе величины A2, построив теоретическую зависимость A2(γ) и определив при помощи нее значение γ, соответствующее величине A2, известной из анализа наблюдательных данных (приведенных на сайте NASA JPL).
На рис. 1 представлены построенные нами зависимости A2(P) и A2(γ) для астероидов Апофис, 2012 TC4 и Дуэнде. В случае Апофиса схожие зависимости для величины da/dt представлены в работе (Лобанова, Мельников, 2023). Величина A2 определялась по формулам, приведенным в предыдущем разделе. Значения параметров α, ε, C и K, входящих в уравнения (2) и (4), плотности и диаметра для Апофиса брались из (Vokrouhlický и др., 2015b). Для 2012 ТС4 и Дуэнде использовались средние для АСЗ значения указанных параметров, приведенные в (Fenucci и др., 2024). Для 2012 ТС4 плотность и диаметр взяты из (Lee и др., 2021). Величина плотности для Дуэнде взята из (Devyatkin и др., 2016) в предположении, что астероид принадлежит спектральному классу L, а диаметр взят из (Moskovitz и др., 2020). Значения орбитального периода и большой полуоси для всех астероидов получены из NASA JPL.
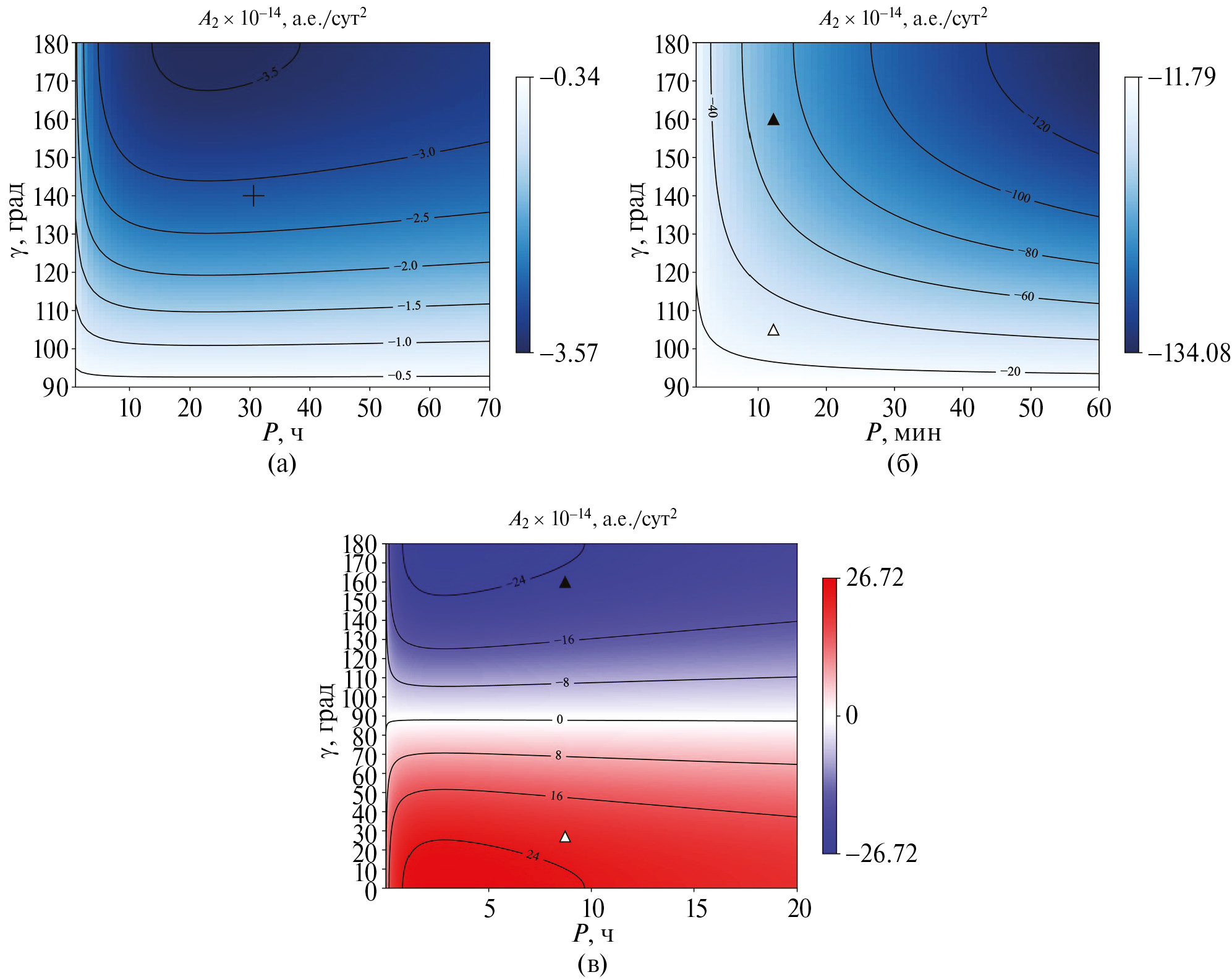
Рис. 1. Зависимость величины A2 от периода вращения P и угла наклона оси вращения γ: (а) – для Апофиса при γ = 140°; (б) – для Апофиса при P = 30.6 ч; (в) – для астероида 2012 TC4 при γ = 105° и 160°; (г) – для астероида 2012 TC4 при P = 12.25 мин; (д) – для Дуэнде при γ = 27° и 160°; (е) – для Дуэнде при P = 8.724 ч. Штриховые вертикальные линии (панели (а), (в) и (д)) соответствуют данным (Pravec и др., 2014; Lee и др., 2021; Benson и др., 2020), на панели (е) – принятым значениям γ для Дуэнде. Штриховые горизонтальные линии на панелях (б) и (г) соответствуют величинам A2, указанным на сайте NASA JPL.
Как видно из рис. 1б, для Апофиса величине A2, определенной на основе наблюдательных данных и представленной на сайте NASA JPL, соответствует значение γ ≈ 140°. Указанное значение γ попадает в интервал между точечными оценками, приведенными в табл. 2. Из-за большой неопределенности знания ориентации вектора кинетического момента мы далее полагали для Апофиса γ = 140°. В случае астероида 2012 TC4 принятая для него величина A2 = –26.8 × 10–14 а. е./сут.2 соответствует, согласно рис. 1г, γ = 105°. Для значения γ = 160°, определенного (Lee и др., 2021) на основе фотометрических наблюдений 2012 TC4, из рис. 1в следует A2 = –70 × 10–14 а. е./сут.2. Из-за такого существенного отличия оценок γ далее мы рассматривали для астероида 2012 TC4 оба возможных варианта. Для Дуэнде, судя по всему, нет астрометрических оценок A2. Однако в (Benson и др., 2020) построены две модели вращения Дуэнде при его сближении с Землей в 2013 г., на основе которых мы определили γ = 27° и γ = 160°. Теоретические зависимости A2(P) и A2(γ) для Дуэнде приведены на рис. 1. В первом случае для Дуэнде имеем A2 = 23 × 10–14 а. е./сут.2, во втором – A2 = –24 × 10–14 а. е./сут.2. Перейдем к оценкам величин возмущений во вращательной динамике астероидов при их сближениях с Землей.
ОЦЕНКА ВОЗМУЩЕНИЙ ВО ВРАЩАТЕЛЬНОЙ ДИНАМИКЕ
Для всех исследуемых астероидов на множестве (P0, γ0) возможных начальных (до сближения) значений P и γ были определены величины: ΔP = Pfin – P0 и Δγ = γfin – γ0, где нижний индекс “fin” соответствует величинам после момента сближения (при удалении астероида от геоцентра на расстояние 100 RE). Значения P0 и γ0 задавались на равномерной сетке, определенной следующим образом: 1) для Апофиса 15 мин. ≤ P0 ≤ 70 ч с шагом в 15 мин., 0° ≤ γ0 ≤180° с шагом в 0.5°; 2) для 2012 TC4 15 с ≤ P0 ≤ 60 мин. с шагом в 15 с, 0° ≤ γ0 ≤180° с шагом в 1.0°; 3) для Дуэнде 1 мин. ≤ P0 ≤ 20 ч с шагом в 1 мин., 0° ≤ γ0 ≤180° с шагом в 1.0°.
На рис. 2–4 представлены найденные изменения периода и ориентации оси вращения Апофиса, 2012 TC4 и Дуэнде из-за их сближений с Землей. Диаграммы для случая сближения Апофиса с Землей в 2029 г. были получены ранее в работах (Лобанова, Мельников, 2023; Lobanova, Melnikov, 2024). Для Дуэнде зависимость ΔP(P0, γ0) была построена в (Мельников, 2022). В настоящей работе все диаграммы построены с существенно более высоким разрешением и для орбит, основанных на современных данных с сайта NASA JPL. На всех диаграммах в соответствии с табл. 1 указаны положения астероидов. Для всех астероидов на диаграммах присутствуют чередующиеся при изменении P0 области, где происходит замедление (ΔP > 0), либо ускорение (ΔP < 0) вращения астероида и имеют место изменения γ. Обсуждение выявленных на диаграммах деталей проводилось в (Lobanova, Melnikov, 2024), где указано, что положения локальных максимумов и минимумов значений ΔP и Δγ определяются параметрами орбиты, инерционные параметры астероида определяют амплитуду экстремальных значений возмущений.
Рис. 2. Изменение вращательного состояния Апофиса из-за сближения с Землей в 2029 г. в зависимости от P0 и γ0: (а) – изменение ΔP периода вращения; (б) – изменение Δγ угла, характеризующего отклонение оси вращения Апофиса от нормали к плоскости орбиты. Крестиком указано положение Апофиса согласно данным из табл. 1.
Рис. 3. Изменение вращательного состояния астероида 2012 TC4 из-за сближения с Землей в 2017 г. в зависимости от P0 и γ0: (а) – изменение ΔP периода вращения; (б) – изменение Δγ угла, характеризующего отклонение оси вращения астероида от нормали к плоскости орбиты. Треугольниками указаны возможные положения астероида 2012 TC4 согласно данным из табл. 1.
Рис. 4. Изменение вращательного состояния астероида Дуэнде из-за сближения с Землей в 2013 г. в зависимости от P0 и γ0: (а) – изменение ΔP периода вращения; (б) – изменение Δγ угла, характеризующего отклонение оси вращения астероида от нормали к плоскости орбиты. Треугольниками указаны возможные положения Дуэнде согласно данным из табл. 1.
Согласно (Лобанова, Мельников, 2023; Lobanova, Melnikov, 2024), период вращения Апофиса из-за сближения в 2029 г. может как уменьшиться на 20 ч, так и увеличиться на 40 ч относительно текущей величины P = 30.6 ч. Наиболее вероятным является изменение P на 10–15 ч, что согласуется с результатами, полученными в (Scheeres и др., 2000; 2004; Boldrin и др., 2020; Мельников, 2022) путем моделирования сближений различных астероидов с планетами. Представленные на рис. 2 результаты моделирования вращательной динамики Апофиса для других значений параметров орбиты и с большим разрешением по начальным данным согласуются с указанными выводами. Отметим, что изменение параметров орбиты (величины e) привело к уменьшению максимальной величины ΔP до 35 ч. Амплитуда Δγ возмущений в ориентации оси вращения Апофиса, согласно рис. 2, может достигать десяти градусов. Указанная оценка согласуется с результатами, полученными в (Souchay и др., 2014; 2018; Лобанова, Мельников, 2023). В ряде случаев (при значениях γ0, близких к 90°) наблюдается переход от проградного вращения к ретроградному и наоборот. Отметим, что такой переход приводит к смене знака величины суточного ЭЯ и суммарной величины ЭЯ, поскольку сезонная компонента ЭЯ всегда отрицательна и мала по сравнению с суточной.
В случае астероида 2012 TC4 при его сближении с Землей в 2017 г., согласно рис. 3, возмущения во вращательном движении были весьма малы: |ΔP | < 10–5 мин., |Δγ | < 0.01°. Таким образом, тесное сближение с Землей практически не оказало влияния на вращательную динамику астероида. В работе (Lee и др., 2021) указано, что периоды вращения 2012 TC4, определенные во время сближений в 2012 г. и 2017 г., отличались почти на 0.04 мин. Ускорение вращения астероида могло быть вызвано действием YORP-эффекта (см. обсуждение там же). Отметим, что, хотя возмущения во вращении 2012 TC4 из-за сближений с Землей невелики, их необходимо учитывать, поскольку они могут повлиять на корректную оценку величины YORP-эффекта.
Помимо 2012 TC4 мы также исследовали динамику астероида 2023 BU, имеющего схожие размеры, при его рекордно тесном (расстояние от геоцентра около 9900 км) сближении с Землей в 2023 г. (Мартюшева и др., 2023). Вращение 2023 BU является еще более быстрым (P < 2 мин.), чем у 2012 TC4. Характер полученных для 2023 BU диаграмм мало отличается от приведенных на рис. 3 для 2012 TC4. Величины возмущений во вращательной динамике 2023 BU имели тот же порядок, что и для 2012 TC4, и это, вероятно, типично для таких объектов.
Согласно нашим численным экспериментам (см. рис. 4), возмущения в случае сближения Дуэнде с Землей в 2013 г. должны были быть довольно заметными. Для значений, указанных в табл. 1, имеем: при прямом вращении Дуэнде ΔP ≈ 4.2 ч, Δγ ≈ 4.2°, при обратном – ΔP ≈ 0.1 ч, Δγ ≈ –1.1°. Следует обратить внимание на существенную разницу в величине ΔP для разных ориентаций оси вращения и большую амплитуду возможных вариаций γ, существенно превышающую значения Δγ, полученные для случая Апофиса (см. рис. 2б). В работе (Devyatkin и др., 2016) на основе моделирования кривых блеска и вращательной динамики Дуэнде сделан вывод об увеличении его периода вращения из-за сближения с Землей более чем на 1 ч. В работах (Benson и др., 2020; Moskovitz и др., 2020) анализ наблюдательных данных, полученных непосредственно после сближения, выявил изменение периода Дуэнде почти на 0.4 ч. Численные эксперименты (Мельников, 2022) по моделированию вращательной динамики Дуэнде показали, что ΔP < 2.4 ч. Во всех указанных работах выявлено заметное изменение вращения Дуэнде из-за сближения.
ВЛИЯНИЕ ПАРАМЕТРОВ ФИГУРЫ АСТЕРОИДА НА ΔP И Δγ
Фигуры астероидов обычно известны с большими погрешностями, а для малых астероидов часто имеются лишь оценки диаметра, полученные на основе абсолютной звездной величины астероида при определенных упрощениях. Для Апофиса и 2012 TC4 имеются радарные наблюдения и построены аппроксимации их фигур (см., Pravec и др., 2014; Lee и др., 2021). Для Дуэнде имеются только оценки параметров фигуры (Devyatkin и др., 2016; Benson и др., 2020; Moskovitz и др., 2020). Моменты инерции (значения A/C и B/C), знание которых необходимо для точного моделирования гравитационного взаимодействия астероида и планеты при тесном сближении, обычно определяются на основе построенных моделей фигур в предположении однородной плотности астероида. Поэтому погрешность в оценке A/C и B/C может быть существенной. Мы изучили влияние фигуры астероида, предполагая ее трехосным эллипсоидом с полуосями a > b > c, на оценки ΔP и Δγ. А именно для всех исследуемых астероидов были построены и проанализированы диаграммы ΔP(c/b, b/a) и Δγ(c/b, b/a) для значений 0 < c/b, b/a ≤ 1 и величин P и γ, указанных в табл. 1.
Для случая трехосного эллипсоида однородной плотности имеем следующее соотношение между его полуосями и моментами инерции (Куприянов, Шевченко, 2006):
Варьируя отношения c/b и b/a от 0 до 1, мы рассмотрим все возможные значения A/C и B/C.
На рис. 5 и 6 представлены диаграммы ΔP(c/b, b/a) и Δγ(c/b, b/a), построенные для Апофиса, 2012 TC4 и Дуэнде. Видно, что в случае Апофиса неопределенности в знании величин моментов инерции могут приводить к погрешностям в оценке ΔP, составляющим несколько часов. Отметим, что на диаграмме ΔP(c/b, b/a) нет явных максимумов и минимумов, а на диаграмме для Δγ они явно выражены. Погрешность оценки Δγ при численном моделировании сближения Апофиса с Землей, если его реальные моменты инерции заметно отличаются от определенных в (Pravec и др., 2014), может составлять десятки градусов. Например, при c/b = 0.5, b/a = 0.2, согласно рис. 5, имеем Δγ ≈ –25°, в то время как данным Pravec и др. (2014) соответствует Δγ ≈ –5°. Стоит ожидать, что поведение, аналогичное представленному на рис. 5, присуще и другим астероидам с относительно медленным вращением (период P > 5 ч), что подтверждают диаграммы для Дуэнде, приведенные на рис. 6. Особо стоит отметить, что возмущения для Дуэнде велики при прямом вращении (γ0 = 27°) – ΔP достигает 12 ч, –15° < Δγ < 20° – и заметно меньше при обратном вращении (γ0 = 160°) – ΔP < 0.15 ч, –2° < Δγ < 4°. Схожий вывод был сделан нами ранее при анализе диаграмм ΔP(P0, γ0) и Δγ(P0, γ0) для Дуэнде, представленных на рис. 4.
Рис. 5. Изменение вращательного состояния астероида в зависимости от параметров c/b и b/a, характеризующих фигуру астероида: (а) – изменение ΔP периода вращения и (б) – Δγ угла, характеризующего отклонение оси вращения астероида от нормали к плоскости орбиты Апофиса из-за сближения с Землей в 2029 г.; (в) – изменение ΔP и (г) – Δγ для астероида 2012 TC4 из-за сближения с Землей в 2017 г. Принятые параметры орбиты (e, d) и начальные параметры вращения астероидов (P0, γ0) приведены на рисунках. Крестиком указаны положения астероидов согласно (Pravec и др., 2014; Lee и др., 2021).
Рис. 6. Изменение вращательного состояния астероида Дуэнде из-за сближения с Землей в 2013 г. в зависимости от параметров c/b и b/a, характеризующих фигуру астероида: (а) – изменение ΔP периода вращения при γ0 = 27°; (б) – изменение Δγ угла, характеризующего отклонение оси вращения астероида от нормали к плоскости орбиты, при γ0 = 27°; (в) – изменение ΔP при γ0 = 160°; (г) – изменение Δγ при γ0 = 160°. Принятые параметры орбиты (e, d) и начальные параметры вращения астероида (P0, γ0) приведены на рисунках. Крестиком указано возможное положение Дуэнде (см. Мельников, 2022).
Для астероидов с быстрым вращением, примером которых является 2012 TC4, неопределенность в знании фигуры астероида не оказывает существенного влияния на оценки величин возмущений, возникающих во вращательной динамике. Согласно рис. 5, в случае 2012 TC4 допустимым (из-за погрешностей их определения) вариациям c/b и b/a соответствуют |ΔP | < 10–7 мин и | Δγ | < 0.001°. Указанные величины являются пренебрежимо малыми по сравнению с периодом вращения астероида P = 12.25 мин. и возмущениями во вращении, возникающими в ходе сближения с Землей (см. рис. 3). В случае 2012 TC4 приведены диаграммы только для γ0 = 160°, поскольку диаграммы, построенные в случае γ0 = 105°, имеют схожий характер, а амплитуда возмущений имеет тот же порядок. Отметим, что на полученных нами диаграммах ΔP(c/b, b/a) и Δγ(c/b, b/a) для схожего с 2012 TC4 астероида 2023 BU, которые здесь не приводятся, амплитуда возмущений была также весьма мала.
ВЛИЯНИЕ СБЛИЖЕНИЯ С ЗЕМЛЕЙ НА ВЕЛИЧИНУ ЭФФЕКТА ЯРКОВСКОГО
Как отмечалось ранее, возмущения, возникающие во вращательном движении астероидов из-за сближения с Землей, должны оказывать влияние на величину ЭЯ. Оценим изменение параметра A2 для исследуемых астероидов. Для этого посредством вычисления теоретической величины ЭЯ при помощи уравнений (2) и (8) были построены (см. рис. 7) диаграммы A2(P, γ); на них, согласно табл. 1, указаны положения астероидов. Анализ диаграмм показывает, что на величину A2 существенным образом влияет изменение наклона оси вращения. Возмущения периода в случае Апофиса и Дуэнде, даже если они велики (составляют несколько часов), практически не влияют на величину ЭЯ. Напротив, в случае быстрого вращения, что имеет место для 2012 TC4, даже небольшие возмущения P могут приводить к заметным изменениям A2. Однако, как показано нами выше, для астероидов с быстрым вращением возмущения из-за сближения с Землей весьма малы.
Рис. 7. Зависимость величины A2 от P и γ: (а) – для Апофиса. Крестиком указано современное положение Апофиса; (б) – для астероида 2012 TC4; (в) – для Дуэнде. Треугольниками указаны возможные положения астероидов (см. обсуждение в тексте). Линии уровня соответствуют указанным на них значениям A2.
Возмущения из-за сближения Апофиса с Землей в 2029 г., которым соответствует (Лобанова, Мельников, 2023; Lobanova, Melnikov, 2024) ΔP = 10–15 ч, приведут к изменениям A2 на несколько процентов (см. также (Benson и др., 2023)). Если предположить (см. рис. 2б), что |Δγ | = 10°, то изменения современной величины A2 = –2.9 × 10–14 а. е./сут.2 будут существенны: согласно рис. 7а, может произойти либо ее уменьшение до –2.4 × 10–14 а. е./сут.2, либо увеличение до –3.2 × 10–14 а. е./сут.2. Поскольку возмущения во вращательной динамике астероида 2012 TC4 при его сближении с Землей в 2017 г. весьма малы (см. выше), то они не оказали влияния на величину параметра A2. Для Дуэнде, как следует из рис. 4, существенные возмущения вращения в 2013 г. имели бы место лишь при его прямом вращении (γ0 = 27°), но поскольку они преобладали в скорости вращения (ΔP ≈ 4.2 ч), а не в γ (Δγ ≈ 4.2°), они также не сказались на величине A2.
ВЫВОДЫ
В настоящей работе путем численных экспериментов изучено влияние скорости собственного вращения и параметров фигуры астероида на величину возмущений в его вращательной динамике, возникающих при тесном сближении с Землей, и влияние возмущений на величину эффекта Ярковского. Для этого рассмотрена динамика астероидов (99942) Апофис, (367943) Дуэнде и 2012 TC4, обладающих как разными размерами (диаметры D = 10–340 м), так и заметно отличающимися периодами вращения (P = 12 мин. – 30 ч).
Установлено, что в случае Апофиса (P ≈ 30 ч) при сближении с Землей в 2029 г. изменения периода вращения ΔP могут достигать десятков часов, а отклонения Δγ в ориентации оси вращения – десяти градусов. Схожие результаты были получены нами ранее (Лобанова, Мельников, 2023; Lobanova, Melnikov, 2024) для других орбитальных параметров Апофиса. Для астероида Дуэнде (P ≈ 8 ч) при сближении с Землей в 2013 г. величина ΔP не превышала нескольких часов. Отклонения в ориентации оси вращения Дуэнде могли составить десятки градусов. Указанные выше значения ΔP и Δγ, вероятно, характерны для астероидов с относительно медленным вращением (P > 5 ч) при тесных (на расстояние в несколько земных радиусов) сближениях с Землей, что согласуется с результатами других модельных численных экспериментов (Scheeres и др., 2000; 2004; Boldrin и др., 2020; Мельников, 2022; Лобанова, Мельников, 2023; Lobanova, Melnikov, 2024).
Для астероидов с быстрым вращением (P < 1 ч) возмущения будут весьма малы (см. также обсуждение в (Lee и др., 2021)). Например, в случае астероида 2012 TC4 (P ≈ 12 мин.) при его сближении с Землей в 2017 г. проведенные нами численные эксперименты показали: |ΔP | < 10–5 мин., |Δγ| < 0.01°. Аналогичные оценки получены и для астероида 2023 BU (D ~ 10 м, P < 2 мин.) при анализе его вращательной динамики в ходе весьма тесного (около 9900 км) сближения с Землей в 2023 г. Отметим, что астероиды с быстрым вращением представляют собой, очевидно, монолитные тела. Более крупные тела, а также астероиды типа “rubble pile” разрушаются при достижении критической отметки, соответствующей P ≈ 2.2 ч (см. подробнее (Pravec, Harris, 2000; Hu и др., 2021)).
Обычно, параметры фигур малых астероидов и, соответственно, моменты инерции неизвестны или определены с существенной погрешностью. Нами рассмотрено влияние неопределенности знания моментов инерции на оценки ΔP и Δγ. Установлено, что в случае Апофиса неопределенности в знании величин моментов инерции при численном моделировании его сближения с Землей в 2029 г. могут приводить к погрешности в оценке ΔP, достигающей нескольких часов, а в оценке Δγ – десятков градусов. Аналогичный вывод сделан нами для Дуэнде при моделировании его сближения с Землей в 2013 г. Стоит ожидать, что существенное влияние погрешностей в знании моментов инерции на оценки ΔP и Δγ имеет место и для других астероидов с относительно медленным вращением (P > 5 ч). Напротив, для астероидов с весьма быстрым вращением, как показано нами в случае 2012 TC4, неопределенность в знании моментов инерции не оказывает существенного влияния на оценки величин возмущений во вращательной динамике, возникающих из-за сближения.
Рассмотрено влияние возмущений во вращательном движении астероидов на величину ЭЯ. Проведенный анализ теоретических зависимостей параметра A2 от P и γ, построенных для всех исследуемых астероидов, показал, что возмущения периода в случае Апофиса и Дуэнде практически не влияют на величину ЭЯ, заметные изменения A2 могут произойти лишь при существенном изменении γ. Для астероидов с быстрым вращением, таких как 2012 TC4, возмущения как в скорости вращения, так и в ориентации оси вращения заметно влияют на величину A2. В случае Апофиса из-за сближения с Землей в 2029 г. может произойти как уменьшение, так и увеличение величины A2 в пределах от – 2.4 × 10–14 а. е./сут.2 до –3.2 × 10–14 а. е./сут.2. Предполагаемое изменение величины A2 окажет заметное влияние на эволюцию орбиты Апофиса после сближения. Для Дуэнде возмущения вращательного движения, имевшие место в 2013 г., вероятно, не сказались на величине A2. Поскольку возмущения во вращательной динамике астероида 2012 TC4 при его сближении с Землей в 2017 г. были весьма малы, они не оказали влияния на величину параметра A2.
Итак, на основе численного моделирования динамики ряда астероидов мы рассмотрели возмущения в их вращательном движении при тесных сближениях с Землей и их влияние на величину ЭЯ. Посредством дополнительных численных экспериментов по моделированию динамики различных АСЗ, обладающих медленным (P > 5 ч) и быстрым (P < 1 ч) вращением, можно обобщить полученные в настоящей работе выводы на указанные два типа астероидов. А именно для астероидов с медленным вращением характерны значительные возмущения во вращательном движении при тесном сближении с Землей, также при оценке величин возмущений следует учитывать неточность в знании реальных значений моментов инерции астероида. Существенное влияние на величину ЭЯ для астероидов с медленным вращением оказывает изменение ориентации оси вращения из-за сближения. Напротив, для астероидов, обладающих быстрым вращением, возмущения малы и их можно не учитывать при моделировании динамики астероида после сближения. Однако для быстровращающихся астероидов следует учитывать возможность существенного изменения величины ЭЯ из-за возмущений иного рода, приводящих как к смещению оси вращения, так и к изменению скорости вращения астероида. Такие изменения могут быть вызваны, например, внешним физическим воздействием на астероид (Bottke и др., 2020; Daly и др., 2023).
Авторы благодарны рецензенту за ценные замечания.
Исследование выполнено за счет гранта Российского научного фонда № 23-22-00306, https://rscf.ru/project/23-22-00306/
About the authors
К. С. Лобанова
Главная (Пулковская) астрономическая обсерватория РАН; Санкт-Петербургский государственный университет
Author for correspondence.
Email: melnikov@gaoran.ru
Russian Federation, Санкт-Петербург; Санкт-Петербург
А. В. Мельников
Главная (Пулковская) астрономическая обсерватория РАН
Email: melnikov@gaoran.ru
Russian Federation, Санкт-Петербург
References
- Куприянов В.В., Шевченко И.И. О форме и вращательной динамике малых спутников планет // Астрон. вестн. 2006. Т. 40. № 5. С. 428–435. (Kouprianov V.V., Shevchenko I.I. The shapes and rotational dynamics of minor planetary satellites // Sol. Syst. Res. 2006. V. 40. № 5. P. 393–399.) https://doi.org/10.1134/S0038094606050042
- Лобанова К.С., Мельников А.В. Об эффекте Ярковского в динамике астероида (99942) Апофис // Изв. Гл. астрон. обсерв. в Пулкове. 2023. № 231. С. 21–30.
- Мартюшева А.А., Девяткин А.В., Львов В.Н., Горшанов Д.Л., Русов С.А. Исследование орбитальной динамики астероида 2023 BU, совершившего рекордное сближение с Землей // Журн. технич. физики. 2023. Т. 93. Вып. 12. С. 1756–1758.
- Мартюшева А.А., Мельников А.В. О влиянии сближений с планетами на величину эффекта Ярковского в динамике астероидов // Астрон. вестн. 2023. Т. 57. № 5. С. 1–9. (Martyusheva A.A., Melnikov A.V. Influence of planetary encounters on the magnitude of the Yarkovsky effect in asteroid dynamics // Sol. Syst. Res. 2023. V. 57. № 5. P. 486–494.) https://doi.org/10.31857/S0320930X23050055 https://doi.org/10.1134/S0038094623050052
- Мельников А.В. Вращательная динамика сближающихся с планетами астероидов // Астрон. вестн. 2022. Т. 56. № 4. С. 254–265. (Melnikov A.V. Rotational dynamics of asteroids approaching planets // Sol. Syst. Res. 2022. V. 56. № 4. P. 241–251.) https://doi.org/10.31857/S0320930X22040065 https://doi.org/10.1134/S0038094622040062
- Радзиевский В.В. Механизм разрушения астероидов и метеоритов // Астрон. журн. 1952. Т. 29. С. 162–170.
- Соколов Л.Л., Башаков А.А., Борисова Т.П., Петров Н.А., Питьев Н.П., Шайдулин В.Ш. Траектории соударения астероида Апофис с Землей в XXI веке // Астрон. вестн. 2012. Т. 46. № 4. С. 311–320. (Sokolov L.L., Bashakov A.A., Borisova T.P., Petrov N.A., Pitjev N.P., Shaidulin V.S. Impact trajectories of the asteroid Apophis in the 21st century // Sol. Syst. Res. 2012. V. 46. № 4. P. 291—300.) https://doi.org/10.1134/S0038094612040077
- Соколов Л.Л., Башаков А.А., Питьев Н.П. Особенности движения астероида 99942 Апофис // Астрон. вестн. 2008. Т. 42. № 1. С. 20–29. (Sokolov L.L., Bashakov A.A., Pitjev N.P. Peculiarities of the motion of asteroid 99942 Apophis // Sol. Syst. Res. 2008. V. 42. № 1. P. 18–27.) https://doi.org/10.1134/S0038094608010036
- Шор В.А., Чернетенко Ю.А., Кочетова О.М., Железнов Н.Б. О влиянии эффекта Ярковского на орбиту Апофиса // Астрон. вестн. 2012. Т. 46. № 2. С. 131–142. (Shor V.A., Chernetenko Yu.A., Kochetova O.M., Zheleznov N.B. On the impact on the Yarkovsky effect on Apophis’ orbit // Sol. Syst. Res. 2012. V. 46. № 2. Р. 119–129.)
- Ярковский И.О. Плотность светового эфира и оказываемое им сопротивление движению. Брянск: Тип. Юдина, 1901. (17 с.)
- Afonso G.B., Gomes R.S., Florczak M.A. Asteroid fragments in Earth-crossing orbits // Planet. and Space Sci. 1995. V. 43. № 6. Р. 787–795.
- Araujo R.A.N., Winter O.C. Near-Earth asteroid binaries in close encounters with the Earth // Astron. and Astrophys. 2014. V. 566. Id. A23.
- Bottke W.F., Moorhead A.V., Connolly H.C., Hergenrother C.W., Molaro J.L., Michel P., Nolan M.C., Schwartz S.R., Vokrouhlický D., Walsh K.J., Lauretta D.S. Meteoroid impacts as a source of Bennu's particle ejection events // J. Geophys. Res.: Planets. 2020. V. 125. № 8. Id. E06282.
- Chesley S.R. Potential impact detection for Near-Earth asteroids: the case of 99942 Apophis (2004 MN 4) // Asteroids, Comets, Meteors / Eds: Lazzaro D., Ferraz-Mello S., Fernández J.A. 2006. V. 229. Р. 215–228.
- Daly R.T., Ernst C.M., Barnouin O.S., Chabot N.L., Rivkin A.S., Cheng A.F., Adams E.Y., Agrusa H.F., Abel E.D., Alford A.L., Asphaug E.I., Atchison J.A., Badger A.R., Baki P., and 75 co-authors. Successful kinetic impact into an asteroid for planetary defence // Nature. 2023. V. 616. Р. 443–447.
- Devyatkin A.V., Gorshanov D.L., Yershov V.N., Melnikov A.V., Martyusheva A.A., Petrova S.N., L'vov V.N., Tsekmeister S.D., Naumov K.N. A study of the asteroid (367943) Duende at Pulkovo Observatory // Mon. Notic. Roy. Astron. Soc. 2016. V. 459. № 4. P. 3986–3997.
- Benson C.J., Scheeres D.J., Moskovitz N.A. Spin state evolution of asteroid (367943) Duende during its 2013 Earth flyby // Icarus. 2020. V. 340. Id. 113518.
- Benson C.J., Scheeres D.J., Brozović M., Chesley S.R., Pravec P., Scheirich P. Spin state evolution of (99942) Apophis during its 2029 Earth encounter // Icarus. 2023. V. 390. Id. 115324.
- Boldrin L.A.G., Araujo R.A.N., Winter O.C. On the rotational motion of NEAs during close encounters with the Earth // European Phys. J. – Special Topics. 2020. V. 229. № 8. P. 1391–1403.
- Brozović M., Benner L.A.M., McMichael J.G., Giorgini J.D., Pravec P., Scheirich P., Magri C., Busch M.W., Jao J.S., Lee C.G. and 8 co-authors. Goldstone and Arecibo radar observations of (99942) Apophis in 2012-2013 // Icarus. 2018. V. 300. P. 115–128.
- Burns J.A., Lamy P.L., Soter S. Radiation forces on small particles in the Solar system // Icarus. 1979. V. 40. № 1. P. 1–48.
- Farinella P., Vokrouhlický D., Hartmann W.K. Meteorite Delivery via Yarkovsky orbital drift // Icarus. 1998. V. 132. № 2. P. 378–387.
- Farnocchia D., Chesley S.R., Chodas P.W., Micheli M., Tholen D.J., Milani A., Elliott G.T., Bernardi F. Yarkovsky-driven impact risk analysis for asteroid (99942) Apophis // Icarus. 2013b. V. 224. № 1. P. 192–200.
- Farnocchia D., Chesley S.R., Vokrouhlický D., Milani A., Spoto F., Bottke W.F. Near Earth asteroids with measurable Yarkovsky effect // Icarus. 2013a. V. 224. № 1. P. 1–13.
- Fenucci M., Micheli M., Gianotto F., Faggioli L., Oliviero D., Porru A., Rudawska R., Cano J.L., Conversi L., Moissl R. An automated procedure for the detection of the Yarkovsky effect and results from the ESA NEO Coordination Centre // Astron. and Astrophys. 2024. V. 682. Id. A29.
- Giorgini J.D., Benner L.A.M., Ostro S.J., Nolan M.C., Busch M.W. Predicting the Earth encounters of (99942) Apophis // Icarus. 2008. V. 193. № 1. P. 1–19.
- Hairer E., Nørsett S.P., Wanner G. Solving Ordinary Differential Equations I: Nonstiff Problems. Springer Verlag, 1993. 528p.
- Hestroffer D., Sánchez P., Staron L., Bagatin A.C., Eggl S., Losert W., Murdoch N., Opsomer E., Radjai F., Richardson D.C., and 5 co-authors. Small Solar System Bodies as granular media // Astron. and Astrophys. Rev. 2019. V. 27. № 1. Id. 6.
- Hu S., Richardson D.C., Zhang Y., Ji J. Critical spin periods of sub-km-sized cohesive rubble-pile asteroids: dependences on material parameters // Mon. Notic. Roy. Astron. Soc. 2021. V. 502. № 4. P. 5277–5291.
- Lee H.-J., Ďurech J., Vokrouhlický D., Pravec P., Moon H.-K., Ryan W., Kim M.-J., Kim Chun-H., Choi Y.-J., Bacci P., Pollock J., Apitzsch R. Spin change of asteroid 2012 TC4 probably by radiation torques // Astron. J. 2021. V. 161. № 3. Id. 112.
- Lobanova K.S., Melnikov А.V. Disturbances in the rotational dynamics of asteroid (99942) Apophis at its approach to the Earth in 2029 // Sol. Syst. Res. 2024. V. 58. № 2. P. 208–219. https://doi.org/10.1134/S0038094623700107
- Marsden B.G., Sekanina Z., Yeomans D.K. Comets and nongravitational forces. V // Astron. J. 1973. V. 78. № 2. P. 211–225.
- Moskovitz N.A., Benson C.J., Scheeres D., Endicott T., Polishook D., Binzel R., DeMeo F., Ryan W., Ryan E., Willman M., and 13 co-authors. Observational investigation of the 2013 near-Earth encounter by asteroid (367943) Duende // Icarus. 2020. V. 340. Id. 113519.
- Peterson C.A Source mechanism for meteorites controlled by the Yarkovsky effect // Icarus. 1976. V. 29. № 1. P. 91–111.
- Pravec P., Harris A.W. Fast and slow rotation of asteroids // Icarus. 2000. V. 148. № 1. P. 12–20.
- Pravec P., Scheirich P., Ďurech J., Pollock J., Kušnirák P., Hornoch K., Galád A., Vokrouhlický D., Harris A.W., Jehin E., and 10 co-authors. The tumbling spin state of (99942) Apophis // Icarus. 2014. V. 233. P. 48–60.
- Richardson D.C., Bottke W.F., Love S.G. Tidal distortion and disruption of Earth-crossing asteroids // Icarus. 1998 V. 134. P. 47–76.
- Rubincam D.P. LAGEOS orbit decay due to infrared radiation from Earth // J. Geophys. Res. 1987. V. 92. P. 1287–1294.
- Rubincam D.P. Asteroid orbit evolution due to thermal drag // J. Geophys. Res. 1995. V. 100. № E1. P. 1585–1594.
- Rubincam D.P. Yarkovsky thermal drag on small asteroids and Mars-Earth delivery // J. Geophys. Res. 1998. V. 103. № E1. P. 1725–1732.
- Rubincam D.P. Radiative spin-up and spin-down of small asteroids // Icarus. 2000. V. 148. P. 2–11.
- Scheeres D.J., Benner L.A.M., Ostro S.J., Rossi A., Marzari F., Washabaugh P. Abrupt alteration of asteroid 2004 MN4's spin state during its 2029 Earth flyby // Icarus. 2005. V. 178. № 1. P. 281–283.
- Scheeres D.J., Marzari F., Rossi A. Evolution of NEO rotation rates due to close encounters with Earth and Venus // Icarus. 2004. V. 170. P. 312–323.
- Scheeres D.J., Ostro S.J., Werner R.A., Asphaug E., Hudson R.S. Effects of gravitational interactions on asteroid spin states // Icarus. 2000. V. 147. P. 106–118.
- Souchay J., Lhotka C., Heron G., Hervé Y., Puente V., Folgueira Lopez M. Changes of spin axis and rate of the asteroid (99942) Apophis during the 2029 close encounter with Earth: A constrained model // Astron. and Astrophys. 2018. V. 617. Id. A74.
- Souchay J., Souami D., Lhotka C., Puente V., Folgueira M. Rotational changes of the asteroid 99942 Apophis during the 2029 close encounter with Earth // Astron. and Astrophys. 2014. V. 563. Id. A24.
- Vokrouhlický D. A complete linear model for the Yarkovsky thermal force on spherical asteroid fragments // Astron. and Astrophys. 1999. V. 344. P. 362–366.
- Vokrouhlický D., Bottke W.F., Chesley S.R., Scheeres D.J., Statler T.S. The Yarkovsky and YORP effects // Asteroids IV. Tucson, AZ: Univ. Arizona Press, 2015a. P. 509–532.
- Vokrouhlický D., Farnocchia D., Čapek D., Chesley S.R. Pravec P., Scheirich P., Műller T.G. The Yarkovsky effect for 99942 Apophis // Icarus. 2015b. V. 252. P. 277–283.
- Vokrouhlický D., Milani A., Chesley S.R. Yarkovsky effect on small near-Earth asteroids: Mathematical formulation and examples // Icarus. 2000. V. 148. P. 118–138.
Supplementary files









