Relationship between Fecundity and the Number of Vertebrae in the Roach Rutilus rutilus of the Rybinsk Reservoir
- Authors: Komova N.I.1
-
Affiliations:
- Papanin Institute for Biology of Inland Waters, Russian Academy of Sciences
- Issue: No 4 (2023)
- Pages: 457-463
- Section: БИОЛОГИЯ, МОРФОЛОГИЯ И СИСТЕМАТИКА ГИДРОБИОНТОВ
- URL: https://journal-vniispk.ru/0320-9652/article/view/134904
- DOI: https://doi.org/10.31857/S0320965223040125
- EDN: https://elibrary.ru/RVVQDQ
- ID: 134904
Cite item
Full Text
Abstract
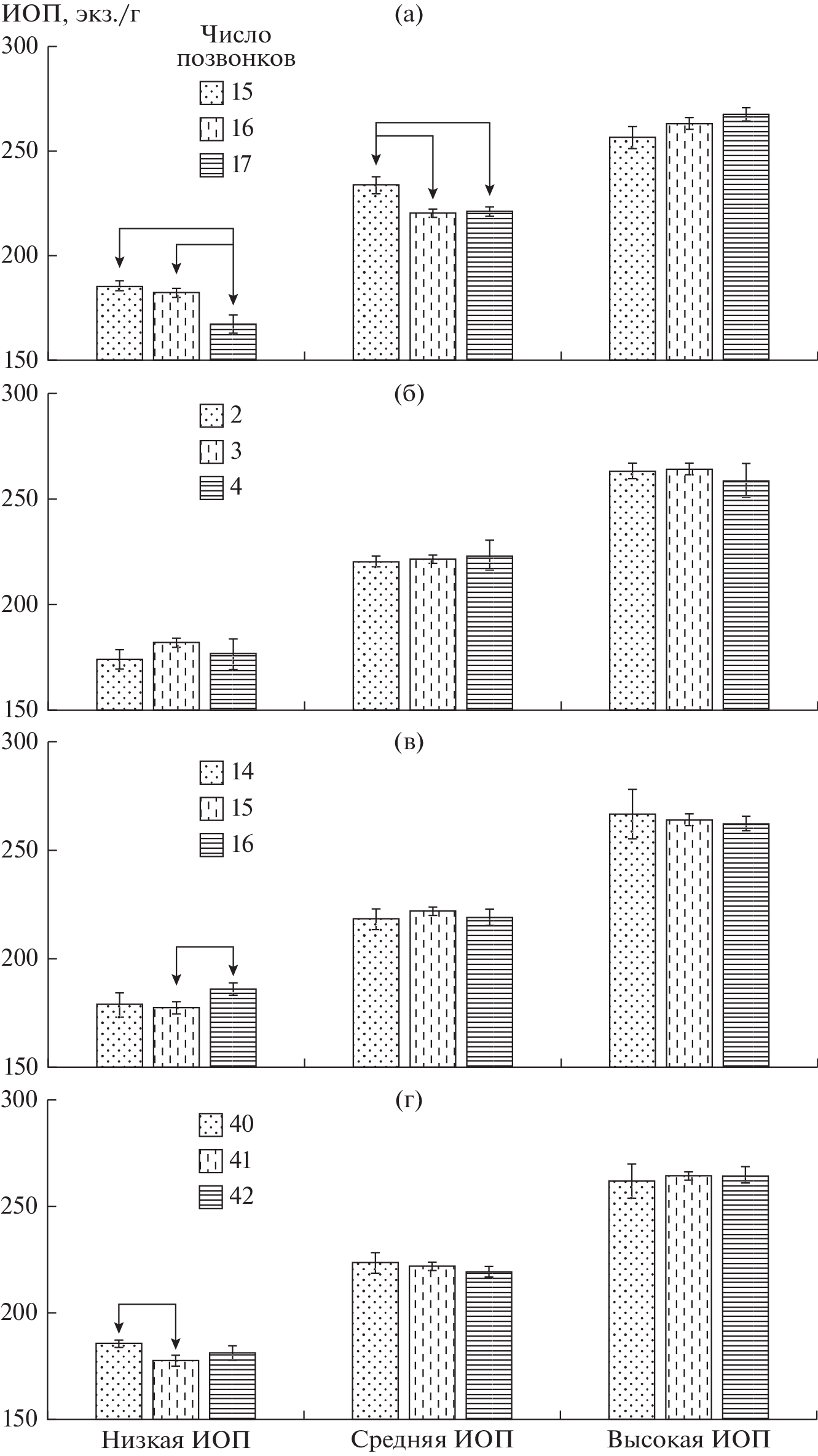
The data on the number of vertebrae in the vertebral column regions in different relative fecundity groups of roach are given. The average value of the number of vertebrae in the abdominal region turned out to be the smallest in low fecundity fishes. When comparing the average values of relative fecundity in females with different numbers of vertebrae in the vertebral column, a group of low fecundity fishes was identified. In it, individuals with 17 vertebrae in the abdominal region had a statistically significantly lower relative fecundity, and those with 16 in the caudal and a total of 40 vertebrae in the vertebral column had a significantly higher fecundity than individuals with a different number of vertebrae in these regions. In highly fecundity females, no differences in fecundity between fish with different numbers of vertebrae in regions were noted.
About the authors
N. I. Komova
Papanin Institute for Biology of Inland Waters, Russian Academy of Sciences
Author for correspondence.
Email: komovanadiv@yandex.ru
Russia, Nekouzskii raion, Yaroslavl oblast, Borok
References
- Анохина Л.Е. 1969. Закономерности изменения плодовитости рыб на примере весенне- и осенненерестующей салаки. М.: Наука.
- Баканов А.И., Кияшко В.И., Сметанин М.М., Стрельников А.С. 1987. Уровень развития кормовой базы и рост рыб // Вопр. ихтиологии. Т. 27. Вып. 4. С. 609.
- Володин В.М. 1963. Плодовитость плотвы Rutilus rutilus (L.) в Рыбинском водохранилище // Вопр. ихтиологии. Т. 3. Вып. 2(27). С. 266.
- Володин В.М. 1982. Плодовитость массовых видов рыб Рыбинского водохранилища. 3. Плодовитость плотвы // Биология внутренних вод: Информ. бюл. № 54. Л.: Наука. С. 47.
- Володин В.М. 1983. Некоторые аспекты изучения плодовитости рыб // Пресноводные гидробионты и их биология // Тр. ИБВВ АН СССР. Вып. 48(51). Л.: Наука. С. 151.
- Герасимов Ю.В., Столбунов И.А., Лeвин Б.А. и др. 2015. Плотва // Рыбы Рыбинского водохранилища: популяционная динамика и экология. Ярославль: Филигрань. С. 263.
- Зиновьев Е.А., Треногин А.С. 2005. Плодовитость плотвы Rutilus rutilus (L.) в бассейне р. Камы // Вестн. Пермского ун-та. Биология. Вып. 6. С. 86.
- Изюмов Ю.Г., Володин В.М., Касьянов А.Н., Яковлев В.Н. 1983. О наследственной обусловленности плодовитости плотвы Рыбинского водохранилища // Тр. ИБВВ АН СССР. Вып. 48(51). С. 163.
- Изюмов Ю.Г., Касьянов А.Н. 1995. О наследственной обусловленности числа позвонков у плотвы Rutilus rutilus // Вопр. ихтиологии. Т. 35. № 5. С. 594.
- Кирпичников В.С. 1987. Генетика и селекция рыб. Л.: Наука.
- Кожара А.В., Маврин А.С., Мироновский А.Н. 2020. Структура фенетического разнообразия и систематика красноперки Scardinius erythrophthalmus (Cypriniformes, Cyprinidae) водоемов и водотоков России и сопредельных стран // Биология внутр. вод. № 6. С. 538. https://www.doi.org/10.31857/S0320965220060121
- Комова Н.И. 2005. Внутривидовые особенности морфофункциональных и биохимических показателей фитофильных рыб Рыбинского водохранилища: Дис. … канд. биол. наук. Борок. 186 с. https://www.dissercat.com/content/vnutrividovye-osobennosti-morfofunktsionalnykh-i-biokhimicheskikh-pokazatelei-fitofilnykh-ry
- Комова Н.И. 2011. Динамика изменения диаметра ооцитов у плотвы Rutilus rutilus (Cyprinidae) в нерестовый период // Рыбн. хоз-во. № 5. С. 83.
- Мироновский А.Н. 1991. Особенности изменчивости и популяционной структуры некоторых карповых рыб Волго-Каспийского и сопредельных районов. 1. Популяционная подразделенность // Вопр. ихтиологии. Т. 31. Вып. 4. С. 576.
- Чеботарева Ю.В. 2018. Аномалии позвоночника и позвонковые фенотипы у сеголеток и двухлеток плотвы Rutilus rutilus (L.) (Cyprinidae, Cypriniformes), развившихся из одной выборки эмбрионов // Тр. ИБВВ РАН. Вып. 84(87). С. 58.https://doi.org/10.24411/0320-3557-2018-10019
- Чеботарева Ю.В., Изюмов Ю.Г. 2021. Межгодовая изменчивость морфологических признаков сеголеток плотвы Rutilus rutilus (Cyprinidae) из прибрежья Рыбинского водохранилища у поселка Борок (Ярославская область) // Вопр. ихтиологии. Т. 61. № 6. С. 635. https://doi.org/10.31857/S0042875221060059
- Шатуновский М.И. 2006. Некоторые закономерности возрастной и географической изменчивости плодовитости у рыб // Изв. РАН. Сер. Биол. № 2. С. 244.
- Шатуновский М.И., Рубан Г.И. 2009. Экологические аспекты возрастной динамики показателей воспроизводства рыб // Экология. № 5. С. 339.
- Aguirre W.E., Walker K., Gideon S. 2014. Tinkering with the axial skeleton: Vertebral number variation in ecologically divergent three spine stickleback populations // Biol. J. Lin. Soc. Lond. V. 113. Is.1. P. 204. https://doi.org/10.1111/bij.12316
- Ando D., Mano S., Koide N., Nakajima M. 2008. Estimation of heritability and genetic correlation of number of abdominal and caudal vertebrae in masu salmon // Fish. Sci. V. 74. Is. 2. P. 293. https://doi.org/10.1111/j.1444-2906.2008.01531.x
- De Clercq A., Perrott M.R., Davie P.S. et al. 2018. Temperature sensitive regions of the Chinook salmon vertebral column: Vestiges and meristic variation // J. Morphol. V. 279. Is. 9. P. 1301. https://doi.org/10.1002/jmor.20871
- Kiso S., Miyake T., Yamahira K. 2012. Heritability and genetic correlation of abdominal and caudal vertebral numbers in latitudinal populations of the medaka Oryzias latipes // Environ. Biol. Fish. V. 93. Is. 2. P. 185. https://doi.org/10.1007/s10641-011-9904-1
- Komova N.I. 2016. Comparative analysis of generative parameters of the roach Rutilus rutilus (L., 1758) in the Volga reach of the Rybinsk reservoir // Inland Water Biol. V. 9. № 3. P. 289. https://doi.org/10.1134/S1995082918030069
- Krylov V.V., Chebotareva Yu.V., Izyumov Yu. G. 2016. Delayed consequences of extremely low-frequency magnetic fields and the influence of adverse environmental conditions on roach Rutilus rutilus embryos // J. Fish Biol. V. 88. № 4. P. 1283. https://doi.org/10.1111/jfb.12869
- Lindsey C.C. 1988. Factors controlling meristic variation // Fish Physiol. V. XI B. San Diego: Academic Press. P. 197.
- Maxwell E.E., Wilson L.A.B. 2013. Regionalization of the axial skeleton in the ‘ambush predator’ guild – are there developmental rules underlying body shape evolution in ray-finned fishes? // BMC Evol. Biol. V. 13. № 265. P. 1. https://doi.org/10.1186/1471-2148-13-265
- Ward A.B., Mehta R.S. 2014. Differential occupation of axial morphospace // Zoology. V. 117. Is. 1. P. 70. https://doi.org/10.1016/j.zool.2013.10.006
- Witten P.E., Hall B.K. 2015. Teleost skeletal plasticity: mo-dulation, adaptation, and remodeling // Copeia. V. 103. № 4. P. 1. https://doi.org/10.1643/CG-14-140
- Wong S.F.L., Agarwal V., Mansfield J.H. et al. 2015. Independent regulation of vertebral number and vertebral identity by microRNA-196 paralogs // Proceedings of the National Academy of Sciences [PNAS]. V. 112. № 35. P. 1. https://doi.org/10.1073/pnas.1512655112
- Yamahira K., Nishida T. 2009. Latitudinal variation in axial patterning of the medaka (Actinopterygii: Adrianichthyidae): Jordan’s rule is substantiated by genetic variation in abdominal vertebral number // Biol. J. Lin. Soc. Lond. V. 96. P. 856.
- Yamahira K., Nishida T., Arakawa A., Iwaisaki H. 2009. Heritability and genetic correlation of abdominal versus caudal vertebral number in the medaka (Actinopterygii: Adrianichthyidae): genetic constraints on evolution of axial patterning? // Biol. J. Lin. Soc. Lond. V. 96. P. 867.
Supplementary files



